Submitted:
21 February 2026
Posted:
26 February 2026
You are already at the latest version
Abstract
Keywords:
1. Introduction
2. Configuration and Methods
3. Results
3.1. Spectral Characteristics and Algorithm-Driven Optimization of Magneto-Optical Polarization
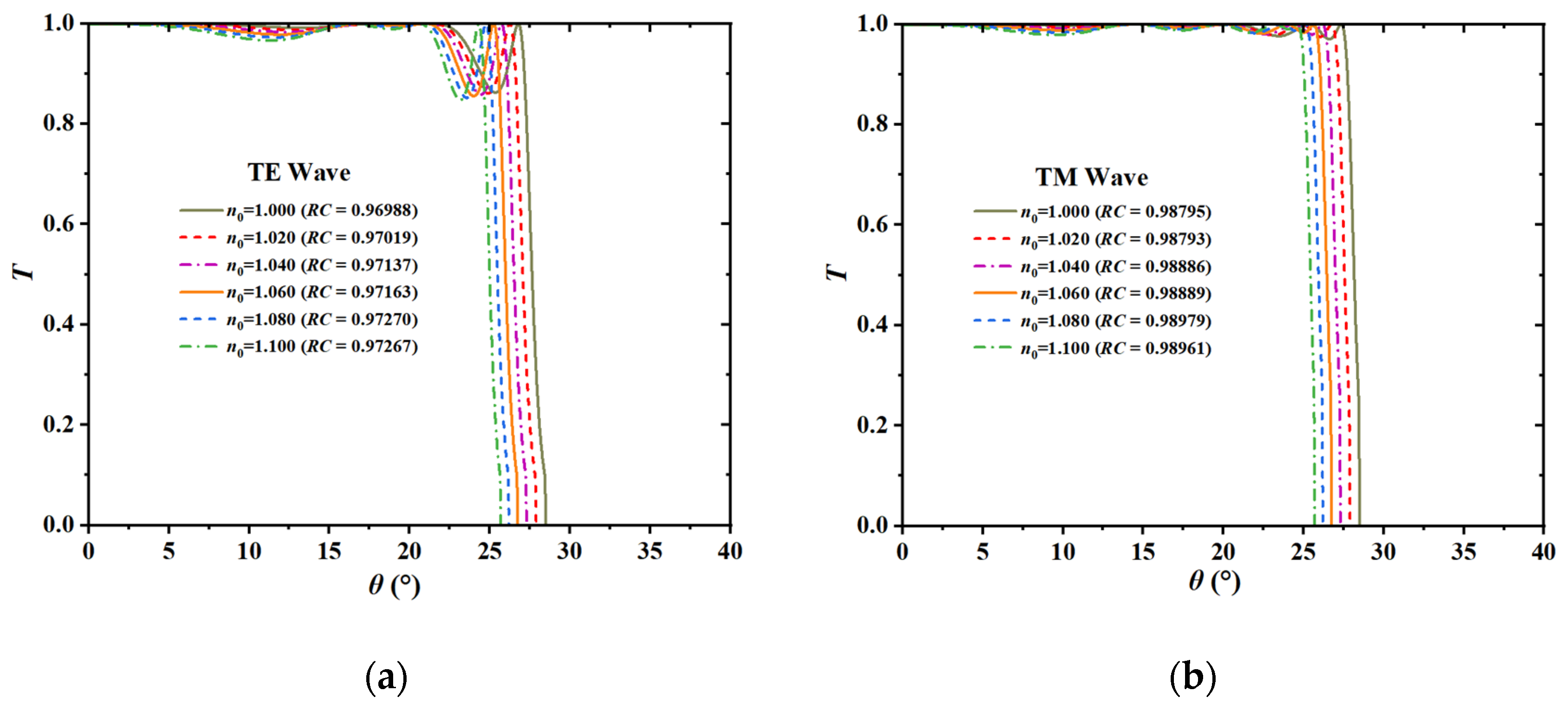
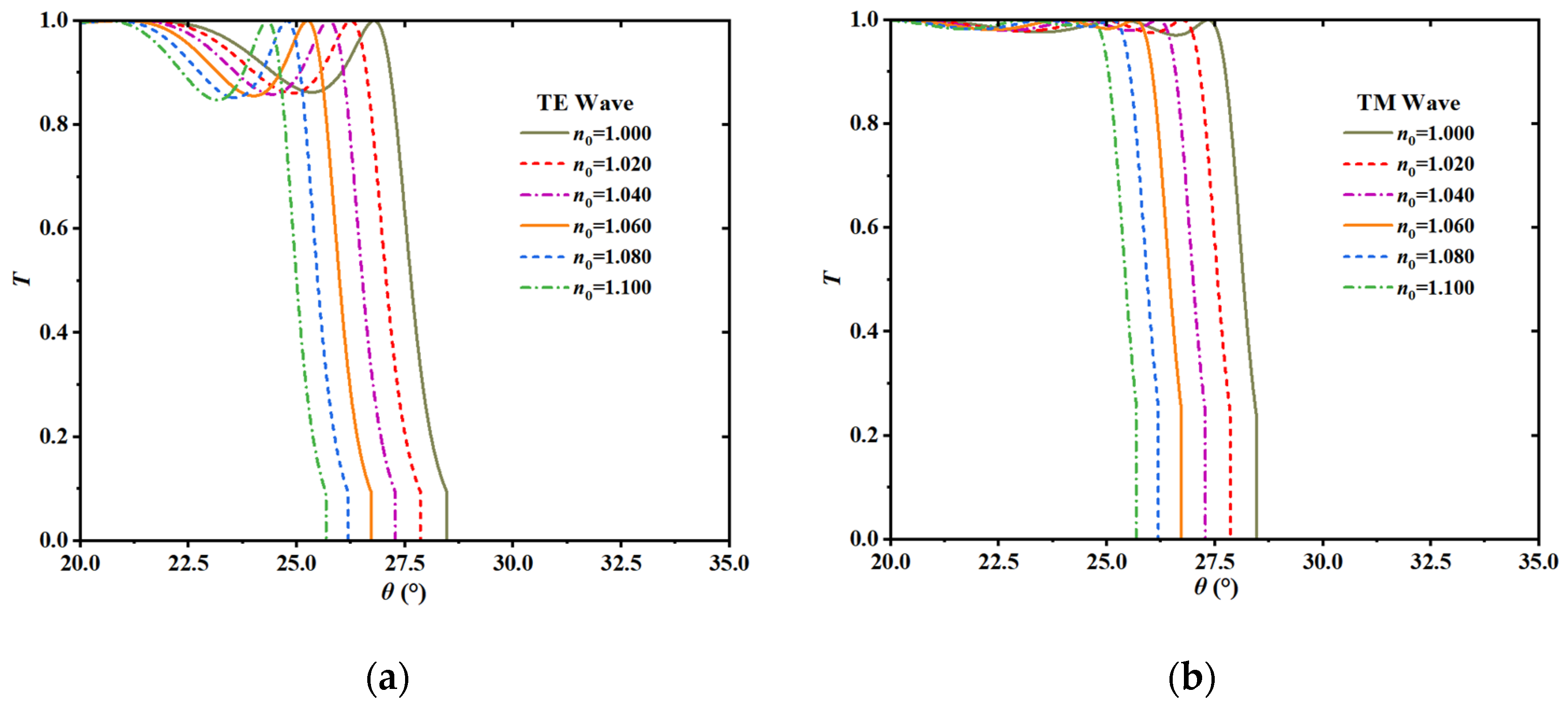
3.2. Refractive Index Sensing Response and Sensitivity Analysis
3.3. Differential Detection Strategy and Comprehensive Performance Evaluation
3.4. Temperature Cross-Sensitivity and Environmental Stability Analysis
4. Conclusion
Author Contributions
Funding
Institutional Review Board Statement
Informed Consent Statement
Data Availability Statement
Acknowledgments
Conflicts of Interest
References
- Waleed, D.; Mustafa, S.H.; Mukhopadhyay, S.; Abdel-Hafez, M.F.; Jaradat, M.A.K.; Dias, K.R.; Arif, F.; Ahmed, J.I. An In-Pipe Leak Detection Robot With a Neural-Network-Based Leak Verification System. IEEE Sens. J. 2019, 19, 1153–1165. [Google Scholar] [CrossRef]
- Jackson, R.B.; Down, A.; Phillips, N.G.; Ackley, R.C.; Cook, C.W.; Plata, D.L.; Zhao, K. Natural Gas Pipeline Leaks Across Washington, DC. Environ. Sci. Technol. 2014, 48, 2051–2058. [Google Scholar] [CrossRef] [PubMed]
- Wan, B.F.; Wang, Q.Y.; Peng, H.M.; Ye, H.N.; Zhang, H.F. A late-model optical biochemical sensor based on OTS for methane gas and glucose solution concentration detection. IEEE Sens. J. 2021, 21, 21465–21472. [Google Scholar] [CrossRef]
- Zhao, Y.; Lei, M.; Liu, S.X.; Zhao, Q. Smart hydrogel-based optical fiber SPR sensor for pH measurements. Sens. Actuators, B 2018, 261, 226–232. [Google Scholar] [CrossRef]
- Sheng, G.; She, K.; Shan, Z.P.; Liu, E.X.; Peng, Y.C.; Liu, J.J. Topologically-protected dual-parameter Valley Hall photonic crystal sensor. Opt. Express 2025, 33, 25558–25569. [Google Scholar] [CrossRef]
- Wilson, G.S.; Gifford, R. Biosensors for real-time in vivo measurements. Biosens. Bioelectron. 2005, 20, 2388–2403. [Google Scholar] [CrossRef]
- Samavati, Z.; Samavati, A.; Ismail, A.F.; Yahya, N.; Othman, M.H.D.; Rahman, M.A. Modified polymer optical fiber sensors for crude oil refractive index monitoring. J. Mater. Sci.: Mater. Electron. 2020, 31, 12089–12100. [Google Scholar] [CrossRef]
- Shakya, A.K.; Singh, S. Novel Merger of spectroscopy and refractive index sensing for modelling hyper sensitive hexa-slotted plasmonic sensor for transformer oil monitoring in near-infrared region. Opt. Quantum Electron. 2023, 55, 764. [Google Scholar] [CrossRef]
- Pulikottil, S.; Kasztelanic, R.; Stepniewski, G.; Baltuška, A.; Buczynski, R.; Bugár, I. Refractive index sensor based on the natural roughness of a directly fabricated D-shape fiber for biological and environmental monitoring purposes. Opt. Fiber Technol. 2024, 88, 104036. [Google Scholar] [CrossRef]
- Huang, C.H.; He, J.; Austin, E.; Seto, E.; Novosselov, I. Assessing the value of complex refractive index and particle density for calibration of low-cost particle matter sensor for size-resolved particle count and PM2.5 measurements. Plos One 2021, 16, e0259745. [Google Scholar] [CrossRef]
- Butt, M.A.; Imran Akca, B.; Mateos, X. Integrated Photonic Biosensors: Enabling Next-Generation Lab-on-a-Chip Platforms. Nanomaterials 2025, 15, 731. [Google Scholar] [CrossRef]
- Fuentes Pérez, J.F.; Martínez Miguel, M.; García Vega, A.; Bravo Córdoba, F.J.; Sanz Ronda, F.J. Design and Initial Validation of an Infrared Beam-Break Fish Counter (‘Fish Tracker’) for Fish Passage Monitoring. Sensors 2025, 25, 4112. [Google Scholar] [CrossRef] [PubMed]
- Karapateas, L.; Leonidas, E.; Meng, X.F.; Lai, Y.F.; Zhang, Y.; Willmott, J.R.; Hobbs, M.J. InAsSb Photodiode-Based Infrared Radiation Thermometer for the Investigation of Droplet Surface Temperature Dynamics Within an Enclosed Combustion Chamber. Sensors 2025, 25, 5780. [Google Scholar] [CrossRef] [PubMed]
- Santos, J.L. Optical Sensors for Industry 4.0. IEEE J. Sel. Top. Quantum Electron. 2021, 27, 1–11. [Google Scholar] [CrossRef]
- Hu, P.; Xie, C.W.; Song, Q.J.; Chen, A.; Xiang, H.; Han, D.Z.; Zi, J. Bound states in the continuum based on the total internal reflection of Bloch waves. Natl. Sci. Rev. 2023, 10, nwac043. [Google Scholar] [CrossRef]
- Yablonovitch, E.; Gmitter, T.J. Photonic band structure: The face-centered-cubic case. Phys. Rev. Lett. 1989, 63, 1950–1953. [Google Scholar] [CrossRef]
- Nishijima, Y.; Ueno, K.; Juodkazis, S.; Mizeikis, V.; Misawa, H.; Tanimura, T.; Maeda, K. Inverse silica opal photonic crystals for optical sensing applications. Opt. Express 2007, 15, 12979–12988. [Google Scholar] [CrossRef]
- Viphavakit, C.; Keeffe, S.O.; Yang, M.; Andersson-Engels, S.; Lewis, E. Gold Enhanced Hemoglobin Interaction in a Fabry–Pérot Based Optical Fiber Sensor for Measurement of Blood Refractive Index. J. Lightwave Technol. 2018, 36, 1118–1124. [Google Scholar] [CrossRef]
- Li, W.W.; Chen, W.P.; Wang, D.N.; Wang, Z.K.; Xu, B. Fiber inline Mach-Zehnder interferometer based on femtosecond laser inscribed waveguides. Opt. Lett. 2017, 42, 4438–4441. [Google Scholar] [CrossRef]
- Ivanov, I.; Skryshevsky, V.; Belarouci, A. Porous silicon photonic crystal-based interferometric chemical sensor. Opt. Express 2025, 33, 40891–40901. [Google Scholar] [CrossRef]
- Ullah, S.; Chen, H.L.; Guo, P.X.; Song, M.S.; Zhang, S.; Hu, L.C.; Li, S.G. A Highly Sensitive D-Shaped PCF-SPR Sensor for Refractive Index and Temperature Detection. Sensors 2024, 24, 5582. [Google Scholar] [CrossRef] [PubMed]
- Ehiabhili, J.; Prabhu, R.; Kannan, S. Design and Numerical Analysis of an Ultra-Sensitive π-Configuration Fibre Optic-Based SPR Sensor: Dual Plasmonic Enhancement for Low-Refractive-Index Biomolecular Detection. Photonics 2026, 13, 147. [Google Scholar] [CrossRef]
- Hasan, A.; Chowdhury, A.; Adib, A.; Das, D.; Ferdous, A.H.M.I.; Mitul, A.F.; Akhtar, J.; Reja, M.I. An Ultra-Sensitive Bimetallic-Coated PCF-Based Surface Plasmon Resonance Sensor for Waterborne Pathogen Detection. Photonics 2025, 12, 1240. [Google Scholar] [CrossRef]
- Liang, G.L.; Zhao, Z.J.; Wei, Y.; Liu, K.P.; Hou, W.Q.; Duan, Y.X. Plasma enhanced label-free immunoassay for alpha-fetoprotein based on a U-bend fiber-optic LSPR biosensor. RSC Advances 2015, 5, 23990–23998. [Google Scholar] [CrossRef]
- Zaky, Z.A.; Ahmed, A.M.; Shalaby, A.S.; Aly, A.H. Refractive index gas sensor based on the Tamm state in a one-dimensional photonic crystal: Theoretical optimisation. Sci. Rep. 2020, 10, 9736. [Google Scholar] [CrossRef]
- Shokrekhodaei, M.; Cistola, D.P.; Roberts, R.C.; Quinones, S. Non-Invasive Glucose Monitoring Using Optical Sensor and Machine Learning Techniques for Diabetes Applications. IEEE Access 2021, 9, 73029–73045. [Google Scholar] [CrossRef]
- Zhou, G.L.; Li, L.Y.; Zhou, Y.; Chen, X.Y. Measurement Error Analysis of Seawater Refractive Index: A Measurement Sensor Based on a Position-Sensitive Detector. Sensors 2024, 24, 4564. [Google Scholar] [CrossRef]
- Shen, W.M.; Norrie, D.H. Agent-Based Systems for Intelligent Manufacturing: A State-of-the-Art Survey. Knowl. Inf. Syst. 1999, 1, 129–156. [Google Scholar] [CrossRef]
- Tavana, S.; Bahadori Haghighi, S.; Ye, W.N. Tunable and ultra-narrowband multifunctional terahertz devices using anisotropic graphene based hyperbolic metamaterials. Sci. Rep. 2024, 14, 31303. [Google Scholar] [CrossRef]
- Tian, H.S.; Wang, H.B.; Zhang, J.K.; Sun, G. Controllable Goos-Hänchen Shift in Photonic Crystal Heterostructure Containing Anisotropic Graphene. Coatings 2024, 14, 1092. [Google Scholar] [CrossRef]
- Qing, Y.M.; Ma, H.F.; Wu, L.W.; Cui, T.J. Manipulating the light-matter interaction in a topological photonic crystal heterostructure. Opt. Express 2020, 28, 34904–34915. [Google Scholar] [CrossRef]
- Yablonovitch, E. Inhibited Spontaneous Emission in Solid-State Physics and Electronics. Phys. Rev. Lett. 1987, 58, 2059–2062. [Google Scholar] [CrossRef]
- Qi, X.; Wu, J.J.; Wu, F.; Ren, M.N.; Wei, Q.; Guo, Z.W.; Jiang, H.T.; Chen, Y.G.; Yang, Y.P.; Chen, H. Topologically enabled giant angle-insensitive Goos-Hänchen shift by tunable merging bound states in the continuum of a quasiflat band. Phys. Rev. B 2024, 110, 035420. [Google Scholar] [CrossRef]
- Li, M.Y.; Luo, Z.W.; Zhou, X.; Zhang, Z.X.; Wang, M.M.; Chen, B.; Xiao, L.; Duan, Y.X.; Li, L.Y. Core–Shell Structure of AuNPs@PDMS Nanoparticle-Modified Silver Film on Bent Optical Fiber to Design a SPR Sensor for Synchronous Detection of Temperature and Refractive Index. Plasmonics 2025, 20, 10547–10558. [Google Scholar] [CrossRef]
- Dong, R.Y.; Sui, J.Y.; Li, Z.J.; Zhang, H.F. The terahertz isolator and switch based on the nonreciprocal feature of magnetized InSb layered photonic structure. Opt. Laser Technol. 2024, 169, 110004. [Google Scholar] [CrossRef]
- Li, C.Y.; Xie, Y.J.; Wu, P.Y.; Chen, S. Nonreciprocal Terahertz Propagation via InSb Topological Photonic Crystals. Adv. Photonics Res. 2026, 7, e202500253. [Google Scholar] [CrossRef]
- Tan, Z.Y.; Fan, F.; Dong, X.P.; Cheng, J.R.; Chang, S.J. Nonreciprocal terahertz beam steering based on magneto-optic metagratings. Sci. Rep. 2019, 9, 20210. [Google Scholar] [CrossRef]
- Wan, B.F.; Xu, Y.; Zhou, Z.W.; Zhang, D.; Zhang, H.F. Theoretical Investigation of a Sensor Based on One-Dimensional Photonic Crystals to Measure Four Physical Quantities. IEEE Sens. J. 2021, 21, 2846–2853. [Google Scholar] [CrossRef]
- Suzuki, R. Fabrication of a porous SiO2 thin film with an ultralow refractive index for anti-reflective coatings. J. Sol-Gel Sci. Technol. 2023, 106, 860–868. [Google Scholar] [CrossRef]
- Wu, Y.H.; Shang, Z.H.; Li, Z.R.; Zhu, W.L.; Nie, L.F.; Liu, J.C. Porous SiO2 antireflection film with high UV resistance. Opt. Mater. 2024, 153, 115603. [Google Scholar] [CrossRef]
- Kim, J.; Kim, J.Y.; Kim, J.; Hyeong, Y.; Neseli, B.; You, J.B.; Shim, J.; Shin, J.; Park, H.H.; Kurt, H. Inverse design of nanophotonic devices enabled by optimization algorithms and deep learning: recent achievements and future prospects. Nanophotonics 2025, 14, 121–151. [Google Scholar] [CrossRef]
- Yang, D.; Huang, J.; Xu, B.; Lv, G.; Li, Y.J.; Cheng, T.L. Design of high-performance photonic crystal fiber polarization filter by Grey Wolf Optimizer with convolutional neural network. Optik 2023, 283, 170925. [Google Scholar] [CrossRef]
- Sebek, M.; Thanh, N.T.K.; Su, X.D.; Teng, J.H. A Genetic Algorithm for Universal Optimization of Ultrasensitive Surface Plasmon Resonance Sensors with 2D Materials. ACS Omega 2023, 8, 20792–20800. [Google Scholar] [CrossRef] [PubMed]
- Mirjalili, S. Dragonfly algorithm: a new meta-heuristic optimization technique for solving single-objective, discrete, and multi-objective problems. Neural Comput. Appl. 2016, 27, 1053–1073. [Google Scholar] [CrossRef]
- Rodríguez Suné, L.; Scalora, M.; Johnson, A.S.; Cojocaru, C.; Akozbek, N.; Coppens, Z.J.; Perez Salinas, D.; Wall, S.; Trull, J. Study of second and third harmonic generation from an indium tin oxide nanolayer: Influence of nonlocal effects and hot electrons. APL Photonics 2020, 5. [Google Scholar] [CrossRef]
- Moras, A.L.; Silva, V.; Souza, M.C.M.M.; Cirino, G.A.; Zuben, A.A.G.V.; Barea, L.A.M.; Frateschi, N.C. Integrated Photonic Platform for Robust Differential Refractive Index Sensor. IEEE Photonics J. 2020, 12, 1–10. [Google Scholar] [CrossRef]
- Yang, Q.; Gao, L.X.; Zou, C.W.; Xie, W.; Tian, C.X.; Wang, Z.S.; Liang, F.; Ke, Y.H.; Zhou, X.M.; Li, S.Q. Differential Refractive Index Sensor Based on Coupled Plasmon Waveguide Resonance in the C-Band. Sensors 2021, 21, 7984. [Google Scholar] [CrossRef]
- Wang, H.; Luo, J.; Dai, W.; Chen, S.; Fu, H. A Differential Intensity-Modulated Refractive Index Sensor Using a Droplet-Like Fiber Cascaded With FBGs. J. Lightwave Technol. 2022, 40, 3098–3103. [Google Scholar] [CrossRef]
- Mathew, J.; Schneller, O.; Polyzos, D.; Havermann, D.; Carter, R.M.; MacPherson, W.N.; Hand, D.P.; Maier, R.R.J. In-Fiber Fabry–Perot Cavity Sensor for High-Temperature Applications. J. Lightwave Technol. 2015, 33, 2419–2425. [Google Scholar] [CrossRef]
- Wan, B.F.; Ye, H.N.; Zhang, H.F. Multi-channel angular selective window based on the epsilon-near-zero features of YaBa2Cu3O7 material and photonic crystals ceramic structure of extremely small dispersion edge regions. Ceram. Int. 2023, 49, 34814–34825. [Google Scholar] [CrossRef]
- Shayegan, K.J.; Biswas, S.; Zhao, B.; Fan, S.H.; Atwater, H.A. Direct observation of the violation of Kirchhoff’s law of thermal radiation. Nat. Photonics 2023, 17, 891–896. [Google Scholar] [CrossRef]
- Ali, S.; Stanca, S.E.; Vegesna, S.V.; Schmidl, G.; Diegel, M.; Dellith, J.; Müller, R.; Wondraczek, K.; Plentz, J.; Krüger, H. Indium-tin-oxide thin films with real-epsilon-near-zero properties. Phys. B Condens. Matter 2025, 417652. [Google Scholar] [CrossRef]
- Huang, X.J.; Yang, H.L.; Wang, D.Q.; Yu, S.Q.; Lou, Y.C.; Guo, L. Calculations of a wideband metamaterial absorber using equivalent medium theory. J. Phys. D: Appl. Phys. 2016, 49, 325101. [Google Scholar] [CrossRef]
- Wang, T.; Chen, G.; Zhu, J.H.; Gong, H.; Zhang, L.M.; Wu, H.J. Deep understanding of impedance matching and quarter wavelength theory in electromagnetic wave absorption. J. Colloid Interface Sci. 2021, 595, 1–5. [Google Scholar] [CrossRef]
- Liang, Y.; Pakniyat, S.; Xiang, Y.x.; Shi, F.; Hanson, G.W.; Cen, C. Temperature-dependent transverse-field magneto-plasmons properties in InSb. Opt. Mater. 2021, 112, 110831. [Google Scholar] [CrossRef]
- He, X.F.; Zhang, H.F. Absorption and polarization based on metastructures: a review. Phys. Chem. Chem. Phys. 2025, 27, 25720–25742. [Google Scholar] [CrossRef]
- Dai, X.Y.; Xiang, Y.J.; Wen, S.C.; He, H.Y. Thermally tunable and omnidirectional terahertz photonic bandgap in the one-dimensional photonic crystals containing semiconductor InSb. J. Appl. Phys. 2011, 109. [Google Scholar] [CrossRef]
- Wan, B.F.; Ye, H.N.; Zhang, H.F. Ultra-Wideband Polarization Insensitive Angle Filter Based on ENZ Characteristics and Dynamic Antireflection Structures. Photonics 2022, 9, 854. [Google Scholar] [CrossRef]
- Qi, L.; Yang, Z.; Lan, F.; Gao, X.; Shi, Z. Properties of obliquely incident electromagnetic wave in one-dimensional magnetized plasma photonic crystals. Phys. Plasmas 2010, 17. [Google Scholar] [CrossRef]
- Iizuka, H.; Engheta, N.; Sugiura, S. Extremely small wavevector regime in a one-dimensional photonic crystal heterostructure for angular transmission filtering. Opt. Lett. 2016, 41, 3829–3832. [Google Scholar] [CrossRef]
- Aly, A.; Abdel Ghany, S.E.S.; Kamal, B.; D., V. Theoretical studies of hybrid multifunctional YaBa2Cu3O7 photonic crystals within visible and infra-red regions. Ceram. Int. 2019, 46. [Google Scholar] [CrossRef]
- Hu, P.; Xie, C.W.; Song, Q.J.; Chen, A.; Xiang, H.; Han, D.Z.; Zi, J. Bound states in the continuum based on the total internal reflection of Bloch waves. Natl. Sci. Rev. 2022, 10. [Google Scholar] [CrossRef]
- Notomi, M. Theory of light propagation in strongly modulated photonic crystals: Refractionlike behavior in the vicinity of the photonic band gap. Phys. Rev. B 2000, 62, 10696. [Google Scholar] [CrossRef]
- Li, Z.Y.; Gu, B.Y.; Yang, G.Z. Large absolute band gap in 2D anisotropic photonic crystals. Phys. Rev. Lett. 1998, 81, 2574. [Google Scholar] [CrossRef]
- Cheng, R.; Chrostowski, L. Apodization of Silicon Integrated Bragg Gratings Through Periodic Phase Modulation. IEEE J. Sel. Top. Quantum Electron. 2020, 26, 1–15. [Google Scholar] [CrossRef]
- Sharif, V.; Saberi, H.; Pakarzadeh, H. Designing a terahertz optical sensor based on helically twisted photonic crystal fiber for toxic gas sensing. Sci. Rep. 2025, 15, 2268. [Google Scholar] [CrossRef]
- Mohebbi, M. Refractive index sensing of gases based on a one-dimensional photonic crystal nanocavity. J. Sens. Sens. Syst. 2015, 4, 209–215. [Google Scholar] [CrossRef]









| Algorithm: Multi-Objective Dragonfly Algorithm for Magnetic Field Optimization |
| Initialize population: |
| for i = 1 to N do | Magnetic field range: Xi = range(Bmin, Bmax) // Magnetic field initialization |
| end |
| Archive is empty Iteration M: |
|
for n = 1 to Mmax do | Update adaptive parameters: w, s, a, c, f and e // Update Pareto |
| | Update archive and select food/enemy position // Minimize objectives |
| | for i = 1 to N do |
|
| | Separation: Si ← -sum(Xj) - Xj // Update positions | | Alignment: Ai ← mean(ΔXj) |
|
| | Cohesion: Ci ← mean(Xj) - Xi | | Food: Fi ← Food position - Xi | | Enemy:Ei ← Enemy position + Xi |
| | | Calculate step vectors and position vectors |
| | | ΔXi+1 = s×Si + a×Ai + c×Ci + f×Fi + e×Ei + w×ΔXi |
| | | Xi+1 = Xi+ ΔXi+1 |
| | | Update results |
| | end |
| end |
| return Archive_X, Archive_F // Output results |
| Refs. | Detection range | Gas types |
| [25] | RI: 1.00026 ~ 1.00046 (RIU) | N2O, CO2 |
| [66] | RI: 1.00 ~ 1.08 (RIU) | SOx, NOx, CO |
| [67] | RI: 1.000265 ~ 1.000407 (RIU) | Air, N2, He, CO2 |
| Our work | RI: 1.000 ~ 1.100 (RIU) | CH4 (n = 1.000444) CO (n = 1.000297) SO2 (n = 1.000683) NOx (n ≈ 1.0002 ~ 1.0008) Air (n = 1.000293) Industrial volatile gases (VOCs):Heavy chemical vapors(n ≈ 1.010 ~ 1.100) |
| Category | Parameter | Description | Value/Range |
| Ⅰ. Global Algorithmic Configurations | N | Population size | 30 |
| Mmax | Maximum iterations | 50 | |
| Narchive | Maximum capacity of Pareto archive | 100 | |
| Ⅱ. Dynamic Swarming Dynamics | r | Dynamic neighborhood radius | Non-linear expansion: 0.25Δ → 2.25Δ |
| s, a, c | Separation, Alignment, and Cohesion factors |
Adaptive decay proportional to 1/M | |
| f, e | Food attraction, and Enemy distraction |
Stochastic and iteration-dependence | |
| Ⅲ. Physical Boundaries & Objective Functions | Bsearch | Search space for external magnetic field | 0.001 ~ 0.0035 (T) |
| θscan | Angular interrogation range and resolution | -90°~90° | |
| Obj1 | Primary objective function | Min{-(CountTE - CountTM)} | |
| Obj2 | Secondary objective function | Min{-CountTE} |
Disclaimer/Publisher’s Note: The statements, opinions and data contained in all publications are solely those of the individual author(s) and contributor(s) and not of MDPI and/or the editor(s). MDPI and/or the editor(s) disclaim responsibility for any injury to people or property resulting from any ideas, methods, instructions or products referred to in the content. |
© 2026 by the authors. Licensee MDPI, Basel, Switzerland. This article is an open access article distributed under the terms and conditions of the Creative Commons Attribution (CC BY) license (http://creativecommons.org/licenses/by/4.0/).