Submitted:
16 February 2026
Posted:
18 February 2026
You are already at the latest version
Abstract
Keywords:
1. Introduction
2. Materials and Methods
2.1. Production of Fermented Longa Peel
2.1.1. Sample Preparation
2.1.2. Pretreatment Process
2.1.3. Enzymatic Hydrolysis
2.1.4. Preparation of Starter Cultures for Fermentation
2.1.5. Production of Fermented Longan Peel
2.2. Experiment Diets
2.3. Experiment Design
2.4. Biofloc Water Preparation and Management
2.5. Growth Performance Measurements
2.6. In Vitro Digestibility and Digestive Enzyme Activity
2.6.1. Crude Enzyme Extraction
2.6.2. Digestive Enzyme Assays
2.6.3. In Vitro Digestibility
2.7. Intestinal Morphology
2.8. Evaluation of Innate Immune Responses
2.8.1. Sample Preparation
2.8.2. Lysozyme Activity
2.8.3. Peroxidase Activity
2.8.4. Alternative Complement Pathway Activity (ACH50)
2.9. Genes Expression Analysis
2.10. Statistical Analysis
3. Results
3.1. Growth Parameters
3.2. In Vitro Digestibility
3.3. Digestive Enzyme Activity
3.4. Intestinal Morphology
3.5. Innate Immune Response
3.5.1. Mucosal Immune Response
3.5.2. Serum Immune Responses
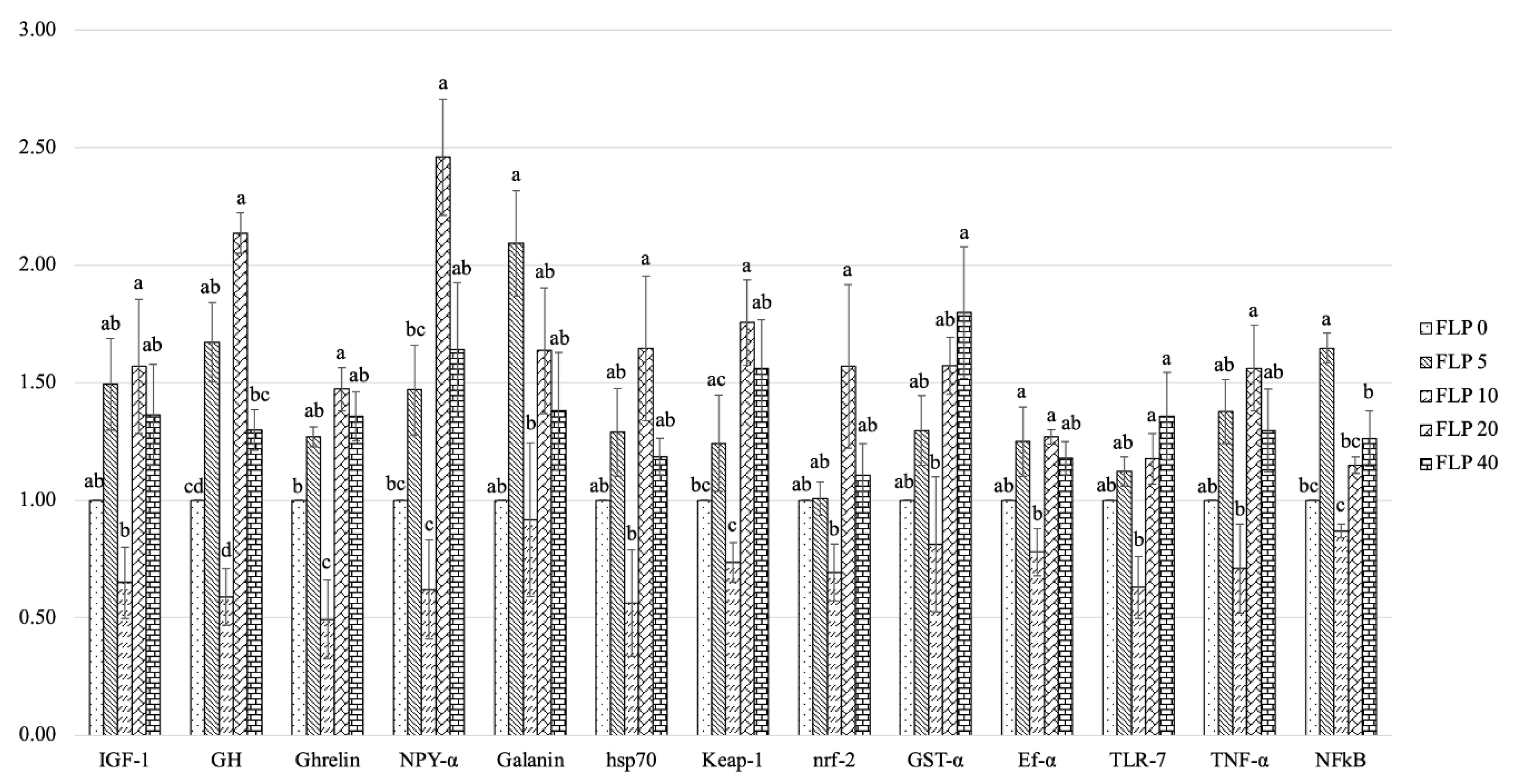
3.6. Intestinal Growth, Immune, and Antioxidant-Related Gene Expression
4. Discussion
5. Conclusions
Author Contributions
Institutional Review Board Statement
Data Availability Statement
Acknowledgments
Conflicts of Interest
References
- X. Jiang, P. Zheng, I. Soto, F.J. Oficialdegui, D. Gu, P.J. Haubrock, Z. Sun, J. Wang, L. Ren, L. Ji, Global economic costs of invasions related to aquaculture: Addressing knowledge gaps and underestimated expenses, Aquaculture 611 (2026) 743028.
- N. Xia, Adapting legal regimes: Ensuring access, equity, and protection of genetic resources in Chinese aquaculture, Aquaculture 600 (2025) 742245.
- M.-S. Vidza, M. Budka, W.K. Chai, M. Thrush, M. Teixeira Alves, The applications of complex network analysis in aquaculture and capture fisheries: a systematic review of trends, challenges, and future directions, Sustainable Futures 10 (2025) 101382.
- M. Sabaghi, M.M. Seyedalmoosavi, Applications of sustainable proteins in food and feed, and perspectives on health and circular bioeconomy, International Journal of Biological Macromolecules 309 (2025) 143193.
- W. Emam, H. Lambert, C. Brown, The welfare of farmed Nile tilapia: a review, Frontiers in Veterinary Science Volume 12 - 2025 (2025).
- A.-F.M. El-Sayed, K. Fitzsimmons, From Africa to the world—The journey of Nile tilapia, Reviews in Aquaculture 15(S1) (2023) 6-21.
- Z. Abdul Kari, Abiotic and biotic factors affecting the immune system of aquatic species: A review, Comparative Immunology Reports 9 (2025) 200230.
- Y. Hu, X. Zhang, D. Li, C. Ma, L. Dong, Y. Luo, X. Hu, F. Chen, A review on the chemical composition, biological activity, and potential health benefits applications of Longan (Dimocarpus longan Lour.), Food Chemistry 493 (2025) 145985.
- T. Sarkar, M. Salauddin, A. Roy, N. Sharma, A. Sharma, S. Yadav, V. Jha, M. Rebezov, M. Khayrullin, M. Thiruvengadam, Minor tropical fruits as a potential source of bioactive and functional foods, Critical Reviews in Food Science and Nutrition 63(23) (2023) 6491-6535.
- S. Zeng, K. Wang, X. Liu, Z. Hu, L. Zhao, Potential of longan (Dimocarpus longan Lour.) in functional food: A review of molecular mechanism-directing health benefit properties, Food Chemistry 437 (2024) 137812.
- S. Sruamsiri, P. Silman, Chemical composition and in vitro digestibility of by-products from longan production, J. Agric. Res. Ext. 32(2) (2015) 50-58.
- Y.-C. Chung, H.-C. Chiang, H. Chang, C.-C. Lin, L.-T. Lo, A.-Y. Wang, K.-F. Chou, C.-P. Hsu, Longan flower proanthocyanidins induce apoptosis in HT-29 colorectal carcinoma spheroids, Journal of Cancer Research and Therapeutics 14(Suppl 2) (2018) S388-S393.
- P. Paul, P. Biswas, D. Dey, A.S.M. Saikat, M.A. Islam, M. Sohel, R. Hossain, A.A. Mamun, M.A. Rahman, M.N. Hasan, Exhaustive plant profile of “dimocarpus longan lour” with significant phytomedicinal properties: a literature based-review, Processes 9(10) (2021) 1803.
- K. Rakariyatham, D. Zhou, N. Rakariyatham, F. Shahidi, Sapindaceae (Dimocarpus longan and Nephelium lappaceum) seed and peel by-products: Potential sources for phenolic compounds and use as functional ingredients in food and health applications, Journal of Functional Foods 67 (2020) 103846.
- S. Wannavijit, P. Outama, C. Le Xuan, C.M. Fontana, M. Paolucci, M.A. Ahmed Sumon, E. El-Haroun, H. Van Doan, Evaluation of longan (Dimocarpus longan) peel powder as fruit by-product additive in Nile tilapia (Oreochromis niloticus) feed: Effects on growth, immunity, and immune-antioxidant gene expressions, Heliyon (2025) e41609.
- E.D. Khosroshahi, S.H. Razavi, M. Salami, A. Ubeyitogullari, Recent advances in bioprocessing of medicinal plants through fermentation: A promising approach to maximize nutritional/functional value, bioactive potential, and health benefits, Food Bioscience 70 (2025) 107045.
- J.A. Valerozo, D. Rice, D.S. Bucao, R.J.D. Ramil, S.C. Agrupis, A.K. Anal, Integrative approaches in microbial fermentation of underutilized crops for enhanced nutritional and bioactive functionalities, Food Bioscience 69 (2025) 106941.
- Z. Chi, Y. Feng, J. Wang, G. Lv, X. Fang, T. Teng, B. Shi, Enhancing small peptide content and improving the microbial community and metabolites in corn gluten meal with solid-state fermentation using keratinase-producing Bacillus strains, International Journal of Food Microbiology 441 (2025) 111320.
- S. Fitsum, G. Gebreyohannes, D.B. Sbhatu, Bioactive compounds in fermented foods: Health benefits, safety, and future perspectives, Applied Food Research 5(2) (2025) 101097.
- G.-L. Lai, Y.-R. Lin, T.-J. Yang, Y.-T. Chu, F.-H. Nan, Y.-F. Hu, Effects of feed supplementation with fermented Broussonetia papyrifera leaves on non-specific immune responses, resistance to Vibrio parahaemolyticus, growth, intestinal histology, and microbiota of white shrimp (Penaeus vannamei), Fish & Shellfish Immunology 167 (2025) 110901.
- M. Radwan, A.E. Mekky, M.A. Moussa, M. Fares, W.M. Al-Otaibi, Potential effects of dietary fermented Sargassum muticum on growth performance, intestinal health, immune-antioxidant related gene responses, and resistance to bacterial infection in Nile tilapia, Fish & Shellfish Immunology 167 (2025) 110695.
- H. Van Doan, S. Wannavijit, K. Tayyamath, T.T.D. Quynh, P. Ninyamasiri, N.V. Linh, S. Wongmaneeprateep, C. Rodkhum, P. Seesuriyachan, Y. Phimolsiripol, S.H. Hoseinifar, Effects of fermented corn cob on growth performance, digestive enzyme, immune response, and gene expression of nile tilapia (Oreochromis niloticus) raised in biofloc system, Fish & Shellfish Immunology 163 (2025) 110413.
- U.M. Padeniya, D.A. Davis, D.E. Wells, C.E. Harrison, B.R. LaFrentz, B.H. Beck, L.A. Roy, M. Farmer, T.J. Bruce, Influence of dietary fermented yeast products (Saccharomyces cerevisiae) on performance, health and microbiome of Nile tilapia (Oreochromis niloticus) and the influence of discharge water in the production of romaine lettuce (Lactuca sativa), Animal Feed Science and Technology 325 (2025) 116348.
- B. Li, A. Boukhennou, J. Shao, L. Miao, Y. Du, J. Chen, Application status and development prospect of fermented ingredients in aquaculture, Aquaculture Reports 42 (2025) 102842.
- H. Van Doan, S. Wannavijit, K. Tayyamath, T.T.D. Quynh, M.A.A. Sumon, N.V. Linh, P. Seesuriyachan, Y. Phimolsiripol, M.Á. Esteban, E. Gisbert, Partial replacement of soybean meal with fermented corn husk enhances growth, digestive enzymes, immune response, and growth-, immune-, and antioxidant-related gene expression in Nile tilapia (Oreochromis niloticus) reared in biofloc system, Aquaculture 611 (2026) 743032.
- M.A. Halim, D. Aziz, A. Arshad, N.L. W. S. Wong, M.M. Nabi, M.A. Islam, F. Syukri, A systematic analysis of recirculating aquaculture systems (RAS) and biofloc technology (BFT) for white leg shrimp (Litopenaeus vannamei) in the indoor farming system, Aquacultural Engineering 110 (2025) 102544.
- N. Rai, A. Panigrahi, J.M. Julka, F.-H. Nan, S.P. Das, Biofloc technology for sustainable aquaculture: Microbial regulation, nutrient dynamics, and integrated system approaches, Journal of Water Process Engineering 78 (2025) 108730.
- P. Sahare, R. Singh, R.S. Laxman, M. Rao, Effect of Alkali Pretreatment on the Structural Properties and Enzymatic Hydrolysis of Corn Cob, Applied Biochemistry and Biotechnology 168(7) (2012) 1806-1819.
- W. Sun, X. Li, J. Zhao, Y. Qin, Pretreatment Strategies to Enhance Enzymatic Hydrolysis and Cellulosic Ethanol Production for Biorefinery of Corn Stover, International Journal of Molecular Sciences 23(21) (2022) 13163.
- Kawee-ai, P. Seesuriyachan, Optimization of fermented Perilla frutescens seeds for enhancement of gamma-aminobutyric acid and bioactive compounds by Lactobacillus casei TISTR 1500, Preparative Biochemistry & Biotechnology 49(10) (2019) 997-1009.
- AOAC, Official methods of analysis, Association of Official Analytical Chemists, Arlington, 1998.
- T. Dhanani, S. Shah, S. Kumar, A validated high-performance liquid chromatography method for determination of tannin-related marker constituents gallic acid, corilagin, chebulagic acid, ellagic acid and chebulinic Acid in four Terminalia species from India, J Chromatogr Sci 53(4) (2015) 625-32.
- V. Pereira, J.S. Câmara, J. Cacho, J.C. Marques, HPLC-DAD methodology for the quantification of organic acids, furans and polyphenols by direct injection of wine samples, J Sep Sci 33(9) (2010) 1204-15.
- P. Khamphasan, K. Lomthaisong, B. Harakotr, D. Ketthaisong, M.P. Scott, K. Lertrat, B. Suriharn, Genotypic variation in anthocyanins, phenolic compounds, and antioxidant activity in cob and husk of purple field corn, Agronomy 8(11) (2018) 271.
- J. Dong, L. Cai, X. Zhu, X. Huang, T. Yin, H. Fang, Z. Ding, Antioxidant activities and phenolic compounds of cornhusk, corncob and Stigma maydis, Journal of the Brazilian Chemical Society 25 (2014) 1956-1964.
- S. Wannavijit, P. Outama, C. Le Xuan, C. Lumsangkul, P. Lengkidworraphiphat, S. Tongsiri, C. Chitmanat, H.V. Doan, Modulatory effects of longan seed powder on growth performance, immune response, and immune-antioxidant related gene expression in Nile tilapia (Oreochromis niloticus) raised under biofloc system, Fish & Shellfish Immunology 123 (2022) 460-468.
- Y. Avnimelech, Biofloc technology: a practical guide book, World Aquaculture Society2009.
- E. Cardona, B. Lorgeoux, L. Chim, J. Goguenheim, H. Le Delliou, C. Cahu, Biofloc contribution to antioxidant defence status, lipid nutrition and reproductive performance of broodstock of the shrimp Litopenaeus stylirostris: Consequences for the quality of eggs and larvae, Aquaculture 452 (2016) 252-262.
- K. Rungruangsak-Torrissen, Digestive efficiency, growth and qualities of muscle and oocyte in Atlantic salmon (Salmo salar L.) fed on diets with krill meal as an alternative protein source, Journal of Food Biochemistry 31(4) (2007) 509-540.
- J. Keereelang, K. Mangumphan, C. Chitmanat, S. Tongsiri, N. Vu Linh, H. Van Doan, Dietary effect of Lactobacillus plantarum (TISTR 912) on digestive enzyme activity, growth performance, immune response, and disease resistance of black sharkminnow (Labeo chrysophekadion) against Aeromonas hydrophila infection, Aquaculture Reports 27 (2022) 101409.
- M. Areekijseree, A. Engkagul, U. Kovitvadhi, A. Thongpan, M. Mingmuang, P. Pakkong, K. Rungruangsak-Torrissen, Temperature and pH characteristics of amylase and proteinase of adult freshwater pearl mussel, Hyriopsis (Hyriopsis) bialatus Simpson 1900, Aquaculture 234(1-4) (2004) 575-587.
- K. Rungruangsak-Torrissen, A. Rustad, J. Sunde, S.A. Eiane, H.B. Jensen, J. Opstvedt, E. Nygård, T.A. Samuelsen, H. Mundheim, U. Luzzana, In vitro digestibility based on fish crude enzyme extract for prediction of feed quality in growth trials, Journal of the Science of Food and Agriculture 82(6) (2002) 644-654.
- K. Thongprajukaew, U. Kovitvadhi, S. Kovitvadhi, P. Somsueb, K. Rungruangsak-Torrissen, Effects of different modified diets on growth, digestive enzyme activities and muscle compositions in juvenile Siamese fighting fish (Betta splendens Regan, 1910), Aquaculture 322 (2011) 1-9.
- P. Srinual, P. Chotipuntu, C. Tantikitti, N. Areechon, Histological changes and intestinal morphology of Nile tilapia (Oreochromis niloticus) fed diets supplemented with probiotics, Songklanakarin Journal of Science and Technology 41(2) (2019) 245-252.
- M.J. Quade, J.A. Roth, A rapid, direct assay to measure degranulation of bovine neutrophil primary granules, Veterinary Immunology and Immunopathology 58(3-4) (1997) 239-48.
- H. Van Doan, S.H. Hoseinifar, W. Naraballobh, M. Paolucci, S. Wongmaneeprateep, S. Charoenwattanasak, M.A.O. Dawood, M. Abdel-Tawwab, Dietary inclusion of watermelon rind powder and Lactobacillus plantarum: Effects on Nile tilapia’s growth, skin mucus and serum immunities, and disease resistance, Fish & Shellfish Immunology 116 (2021) 107-114.
- R.M. Parry Jr, R.C. Chandan, K.M. Shahani, A rapid and sensitive assay of muramidase, Proceedings of the Society for Experimental Biology and Medicine 119(2) (1965) 384-386.
- M.J. Quade, J.A. Roth, A rapid, direct assay to measure degranulation of bovine neutrophil primary granules, Veterinary immunology and immunopathology 58(3-4) (1997) 239-248.
- T. Yano, Y. Ando, M. Nakao, A simple and rapid hemolytic complement assay for the alternative pathway activity in the serum of teleosts, Bulletin of the Japanese Society of Scientific Fisheries 54(5) (1988) 869-872.
- H. Le Xuan, N. Vu Linh, P. Wannavijit, V. Outama, E. Lubis, C. Machimbirike, Y. Chromkaew, Y. Phimolsiripol, H. Van Doan, Dietary supplementation strategies to enhance immune response in Nile tilapia (Oreochromis niloticus), Aquaculture Reports 23 (2022) 101046.
- K.J. Livak, T.D. Schmittgen, Analysis of Relative Gene Expression Data Using Real-Time Quantitative PCR and the 2−ΔΔCT Method, Methods 25(4) (2001) 402-408.
- K.C. Abeysinghe, A.G.P.T. Weerarathne, D.K.C. Colonne, B.K.A. Bellanthudawa, Sustainable development goals (SDGs), climate change, and the development of aquaculture and fisheries industries, Environmental Reviews 33 (2025) 1-24.
- G. Li, A. Ji, E. Yilmaz, Q. Wang, J. Tong, X. Liu, Molecular approaches for enhancing fermented bamboo-derived feed additives: A sustainable nutritional innovation for poultry, Poultry Science 104(11) (2025) 105766.
- Y. Dai, Y. Wang, Y. Dai, J. Tang, Q. Xu, N. Xie, The influence of different aquaculture systems on growth performance, morphological characteristics, texture profile and nutritional components of Genetically Improved Farmed Tilapia (GIFT), Aquaculture Reports 42 (2025) 102859.
- Y. Feng, H. Cai, X. Liu, C. Zhang, Y. Yang, M. Wen, Effects of fermented sweet potato residue on growth performance, immune organ morphology, antioxidant capacity and nonspecific immunity in common carp (Cyprinus carpio), Aquaculture Reports 36 (2024) 102153.
- T. Estevão-Rodrigues, H. Fernandes, S. Moutinho, M. Ferreira, C. Castro, I. Belo, J.M. Salgado, A. Oliva-Teles, H. Peres, Effect of Solid-Fermented Brewer’s Spent Grain on Growth, Metabolism, and Oxidative Status of European Seabass (Dicentrarchus labrax), Fishes 10(2) (2025) 49.
- M. Phinyo, P. Khlaithim, T. Boonsrangsom, P. Pongpadung, S. Janpoom, S. Klinbunga, K. Sujipuli, Improved growth and immunity in Nile tilapia Oreochromis niloticus fed a fermented rice bran supplement, Animal Feed Science and Technology 319 (2025) 116160.
- B.-Y. Zhang, Z.-H. Yuan, H.-X. Yu, H.-L. Yang, G.-H. Cai, C.-X. Zhang, J. Su, Y.-Z. Sun, Functional potential of compound probiotics fermented soybean meal partially replacing fish meal in spotted seabass (Lateolabrax maculatus): Insights through growth, immunity, antioxidant capacity and intestinal health, Aquaculture 598 (2025) 742021.
- J.A.C. Bento, M.F. Rossetti Rogerio, P.Z. Bassinello, B.D. Oomah, The use of fermentation in the valorization of pulses by-products, Trends in Food Science & Technology 159 (2025) 104957.
- M.A.B. Siddik, B.B. Julien, S.M.M. Islam, D.S. Francis, Fermentation in aquafeed processing: Achieving sustainability in feeds for global aquaculture production, Reviews in Aquaculture 16(3) (2024) 1244-1265.
- Q. Huang, J. Xing, F. Tang, J. Ren, C. Wang, F. Xue, Recombinant Lactiplantibacilllus plantarum modulate gut microbial diversity and function, BMC Microbiol 24(1) (2024) 423.
- Y. Jiao, W. Huang, Q. Zhang, L. Liu, J. Zhao, Y. Chen, Inactivated Lactiplantibacillus plantarum Ps-8 enhances growth performance and intestinal health in broiler chickens via gut microbiota and serum metabolite modulation, Poultry Science 104(10) (2025) 105611.
- A.M. El-Sayed, M.S. Fagnon, A.M. Hamdan, T. Chabrillat, S. Kerros, S.M.S. Zeid, Dietary Plant-Based Mixture Improves Feed Efficiency, Gross Profit, Physiological Performance, Gene Expression and Gut Health of Nile Tilapia (Oreochromis niloticus), Biology (Basel) 14(2) (2025).
- J. Wang, L. Deng, M. Chen, Y. Che, L. Li, L. Zhu, G. Chen, T. Feng, Phytogenic feed additives as natural antibiotic alternatives in animal health and production: A review of the literature of the last decade, Animal Nutrition 17 (2024) 244-264.
- N.V. Kanimozhi, M. Sukumar, Harnessing probiotic fermentation to enhance the bioavailability and health impact of dietary phytochemicals, Food Wellness 1(1) (2025) 100018.
- Z. Zhang, H. Niu, Q. Qu, D. Guo, X. Wan, Q. Yang, Z. Mo, S. Tan, Q. Xiang, X. Tian, H. Yang, Z. Liu, Advancements in Lactiplantibacillus plantarum: probiotic characteristics, gene editing technologies and applications, Critical Reviews in Food Science and Nutrition 65(29) (2025) 6623-6644.
- N. Garcia-Gonzalez, N. Battista, R. Prete, A. Corsetti, Health-Promoting Role of Lactiplantibacillus plantarum Isolated from Fermented Foods, Microorganisms 9(2) (2021).
- Y. Bai, Y. Zhou, X. Li, R. Zhang, F. Huang, B. Fan, L. Tong, F. Wang, M. Zhang, Longan pulp polysaccharides regulate gut microbiota and metabolites to protect intestinal epithelial barrier, Food Chemistry 422 (2023) 136225.
- C. Xia, X. Xu, R. Zhang, D. Su, X. Jia, M. Deng, Y.-K. Lee, M. Zhang, F. Huang, Effects of molecular weight on simulated digestion and fecal fermentation of polysaccharides from longan pulp in vitro, International Journal of Biological Macromolecules 306 (2025) 141711.
- J. Wang, Y. Wu, T. Zhou, Y. Feng, L.A. Li, Common factors and nutrients affecting intestinal villus height-A review, Anim Biosci 38(8) (2025) 1557-1569.
- T. Xia, T. Wang, J. Zhang, H. Li, J. Sun, S. Liu, F. Yun, K. Teng, S. Jin, S. Wang, Z. Fu, J. Zhong, In-depth proteomic analysis of alfalfa silage inoculated with Lactiplantibacillus plantarum reveals protein transformation mechanisms and optimizes dietary nitrogen utilization, International Journal of Biological Macromolecules 309 (2025) 142638.
- S. Perveen, S. Akhtar, M. Qamar, W. Saeed, R. Suleman, M. Younis, T. Ismail, T. Esatbeyoglu, The effect of Lactiplantibacillus plantarum fermentation and blanching on microbial population, nutrients, anti-nutrients and antioxidant properties of fresh and dried mature Moringa oleifera leaves, Journal of Agriculture and Food Research 18 (2024) 101366.
- S. Jawhara, How Do Polyphenol-Rich Foods Prevent Oxidative Stress and Maintain Gut Health?, Microorganisms 12(8) (2024).
- K. Jomova, S.Y. Alomar, R. Valko, J. Liska, E. Nepovimova, K. Kuca, M. Valko, Flavonoids and their role in oxidative stress, inflammation, and human diseases, Chemico-Biological Interactions 413 (2025) 111489.
- N.A. Roslan, S.A.M. Sukri, L.S. Wei, M. Shahjahan, M.F. Rohani, C.S. Yea, M.A. Kabir, A. Guru, K.W. Goh, P. Kallem, Z. Abdul Kari, Replacement of fishmeal by fermented spent coffee ground: Effects on growth performance, feed stability, blood biochemistry, liver, and intestinal morphology of African catfish (Clarias gariepinus), Aquaculture Reports 36 (2024) 102073.
- M.S. El-Ghafloul, M.A. Ibrahim, I.M. Abd El-Razek, S.E. Abdo, A.A. Amer, A.I. Zaineldin, M.S. Gewaily, M.A.O. Dawood, The growth performance, feed efficiency, intestinal histo-morphological indices, antioxidat ive status, and related genes of Nile tilapia (Oreochromis niloticus) fed fermented rice hulls, Aquaculture 606 (2025) 742586.
- Tolas, Z. Zhou, Z. Zhang, T. Teame, R.E. Olsen, E. Ringø, I. Rønnestad, A fishy gut feeling – current knowledge on gut microbiota in teleosts, Frontiers in Marine Science Volume 11 - 2024 (2025).
- J.-M. Zhang, P. Li, C.-Z. Chen, L. Liu, Z.-H. Li, Toxic effects of emerging pollutants on mucosal organs of teleost fish: A review focusing on mucosal microbiota, physical barrier and immune barrier, Science of The Total Environment 978 (2025) 179431.
- S.L. Semple, G. Heath, T. Rodríguez-Ramos, J.L. Betancourt, B. Dixon, The Immune System of Bony Fish, in: P.M. Kaye (Ed.), Encyclopedia of Immunobiology (Second Edition), Academic Press, Oxford, 2026, pp. 897-907.
- S. Vijayaram, E. Ringø, A. Zuorro, H. van Doan, Y. Sun, Beneficial roles of nutrients as immunostimulants in aquaculture: A review, Aquaculture and Fisheries 9(5) (2024) 707-720.
- M.S. Banu, N.K. Yadav, H. Saha, A.B. Patel, Culinary Spices as Functional Feed Additives in Aquaculture: Growth, Immunity, and Health Perspectives, Comparative Immunology Reports (2025) 200256.
- J.-M. Xu, Z.-Z. Zhao, P. Liang, Z. Chen, G.-H. Cai, H.-L. Yang, K.-L. Lu, J.-B. Lin, Y.-Z. Sun, Pomelo (Citrus grandis) peel and soybean meal co-fermented protein improved immune response and intestinal health, but not growth performance in largemouth bass (Micropterus salmoides), Aquaculture Reports 41 (2025) 102660.
- M. Khan, M. Mushtaq, M. Usman, M.A.U. Rahman, G. Quan, Oxidative stress-induced cytotoxicity and the role of dietary antioxidants in farm animals: A review, Advances in Redox Research 16 (2025) 100138.
- H. Zhu, L. Guo, D. Yu, X. Du, New insights into immunomodulatory properties of lactic acid bacteria fermented herbal medicines, Front Microbiol Volume 13 - 2022 (2022).
- L. Chen, D. Wang, W. Liu, S. Zhou, Q. Gu, T. Zhou, Immunomodulation of exopolysaccharide produced by Lacticaseibacillus rhamnosus ZFM216 in cyclophosphamide-induced immunosuppressed mice by modulating gut microbiota, International Journal of Biological Macromolecules 283 (2024) 137619.
- S. Liang, X. Wang, C. Li, L. Liu, Biological Activity of Lactic Acid Bacteria Exopolysaccharides and Their Applications in the Food and Pharmaceutical Industries, Foods 13(11) (2024).
- F. Gao, G. Mu, Y. Tuo, Lactiplantibacillus plantarum Y44 Complex Fermented Milk Regulates Lipid Metabolism in Mice Fed with High-Fat Diet by Modulating Gut Microbiota, Journal of Agricultural and Food Chemistry 72(46) (2024) 25767-25781.
- Ferrocino, I. Biasato, S. Dabbou, E. Colombino, K. Rantsiou, S. Squara, M. Gariglio, M.T. Capucchio, L. Gasco, C.E. Cordero, E. Liberto, A. Schiavone, L. Cocolin, Lactiplantibacillus plantarum, lactiplantibacillus pentosus and inulin meal inclusion boost the metagenomic function of broiler chickens, Animal Microbiome 5(1) (2023) 36.
- X.F. Liu, J.H. Shao, Y.T. Liao, L.N. Wang, Y. Jia, P.J. Dong, Z.Z. Liu, D.D. He, C. Li, X. Zhang, Regulation of short-chain fatty acids in the immune system, Front Immunol 14 (2023) 1186892.
- S. Qian, Y. Zhao, F. Liu, L. Liu, Q. Zhou, S. Zhang, Y. Cao, Identification of key genes for fish adaptation to freshwater and seawater based on attention mechanism, BMC Genomics 26(1) (2025) 875.
- J. Pérez-Sánchez, P. Simó-Mirabet, F. Naya-Català, J.A. Martos-Sitcha, E. Perera, A. Bermejo-Nogales, L. Benedito-Palos, J.A. Calduch-Giner, Somatotropic Axis Regulation Unravels the Differential Effects of Nutritional and Environmental Factors in Growth Performance of Marine Farmed Fishes, Front Endocrinol (Lausanne) 9 (2018) 687.
- C.B. Ndandala, M. Dai, U.F. Mustapha, X. Li, J. Liu, H. Huang, G. Li, H. Chen, Current research and future perspectives of GH and IGFs family genes in somatic growth and reproduction of teleost fish, Aquaculture Reports 26 (2022) 101289.
- M. Caputo, S. Pigni, E. Agosti, T. Daffara, A. Ferrero, N. Filigheddu, F. Prodam, Regulation of GH and GH Signaling by Nutrients, Cells 10(6) (2021).
- N.A. Roslan, Z.A. Kari, S.A.M. Sukri, M.I. Khoo, N.I.M. Sani, R. Rashid, M.A. Kabir, S.K. Nandi, N.N.A. Zakaria, K. Ghosh, H.C. Harun, E.-S.H. Eissa, Fermented spent coffee ground in African catfish (Clarias gariepinus) diets: Effects on growth performance, digestive enzyme, protein digestibility, amino acid profile, and immune-related gene, Aquaculture 603 (2025) 742383.
- R. Banerjee, M. Samanta, S. Das, NF-κB signaling induces inductive expression of the downstream molecules and IgD gene in the freshwater carp, Catla catla, 3 Biotech 10(10) (2020) 445.
- M.U. Ghani, J. Chen, Z. Khosravi, Q. Wu, Y. Liu, J. Zhou, L. Zhong, H. Cui, Unveiling the multifaceted role of toll-like receptors in immunity of aquatic animals: pioneering strategies for disease management, Front Immunol Volume 15 - 2024 (2024).
- B.A. Pudota, N. Tambireddy, R. Chennu, L. Chethurajupalli, H. Shaik, R.K. Nadella, N.S. Chatterjee, A.P. Paturi, Exploring the perspectives of phytobiotics and their role in aquaculture: Present status and future trends, The Microbe 8 (2025) 100496.
- D.D. Bian, X. Zhang, X.R. Zhu, W.H. Tang, Q. Peng, Y.H. Chen, G. Wang, D.Z. Zhang, B.P. Tang, Q.N. Liu, The Nrf2-Keap1/ARE signaling pathway in aquatic animals, Int J Biol Macromol 308(Pt 3) (2025) 142595.



| Parameter | FLP |
| Moisture (%) | 8.2 |
| Protein (%) | 12.4 |
| Fat (%) | 1.19 |
| Fiber (%) | 48.3 |
| Ash (%) | 9.64 |
| Compound | Results | Methods |
| Gallic acid | 29.57 | HPLC-PDA |
| Rosmarinic acid | 11.07 | HPLC-PDA |
| O-coumaric acid | 8.52 | HPLC-PDA |
| Quercetin | 10.19 | HPLC-PDA |
| FLP 0 | FLP 5 | FLP 10 | FLP 20 | FLP 40 | ||
| Fish meal | 150 | 150 | 150 | 150 | 150 | |
| Corn meal | 200 | 200 | 200 | 200 | 200 | |
| Soybean meal | 390 | 390 | 390 | 390 | 390 | |
| Wheat flour | 70 | 70 | 70 | 70 | 70 | |
| Rice bran | 150 | 145 | 140 | 130 | 110 | |
| FLP | 0 | 5 | 10 | 20 | 40 | |
| Binder | 20 | 20 | 20 | 20 | 20 | |
| Soybean oil | 2 | 2 | 2 | 2 | 2 | |
| Premix1 | 10 | 10 | 10 | 10 | 10 | |
| Vitamin C2 | 8 | 8 | 8 | 8 | 8 | |
| Proximate composition of the experimental diets (% of dry matter basis) | ||||||
| Dry matter | 94.18 | 93.99 | 94.19 | 94.18 | 93.79 | |
| Crude protein | 31.39 | 32.01 | 31.32 | 31.56 | 31.23 | |
| Crude lipid | 1.49 | 1.51 | 1.40 | 1.59 | 1.52 | |
| Ash | 8.67 | 8.41 | 8.52 | 8.48 | 8.14 | |
| Fiber | 4.32 | 4.67 | 4.75 | 5.34 | 5.93 | |
| GE (kcal/g)3 | 4.03 | 4.04 | 4.02 | 4.03 | 4.01 | |
| Gene | Sequence | Accession Number |
| Beta-actin |
F: CAGCAAGCAGGAGTACGATGAG R: TGTGTGGTGTGTGGTTGTTTTG |
XM_003443127.4 |
| IGF-I: Insulin-growth factor 1 |
F: GTCTGTGGAGAGCGAGGCTTT
R: CACGTGACCGCCTTGCA |
NM_001279503 |
| GH: Growth hormone |
F: TCGGTTGTGTGTTTGGGCGTCTC
R: GTGCAGGTGCGTGACTCTGTTGA |
XM_003442542 |
| Ghrelin |
F: GTGGTGCAAGTCAACCAGTG
R: CATGGCTTGGCGACCAATTC |
AB104859.1 |
| NPY-α F |
F: TCTCGCTCACTGCTGTCCC
R: CAGAGGCGTGGTGTTCGTT |
XM_003448854.5 |
| Galanin | F: TGTTAGGGCCCCATGGACTA R: GAAGTCCTCCTCCTGGCCTA |
XM_003453581.5 |
| HSP70 = Heat Shock Protein 70 | F: TTCAAGGTGATTTCAGACGGAG R: CTTCATCTTCACCAGGACCATG |
XM_019357557.1 |
| keap1 |
F: CTTCGCCATCATGAACGAGC
R: CACCAACTCCATACCGCACT |
XM_003447926.3 |
| Nrf2 |
F: CTGCCGTAAACGCAAGATGG
R: ATCCGTTGACTGCTGAAGGG |
XM_003447296.4 |
| GST-a |
F: ACTGCACACTCATGGGAACA
R: TTAAAAGCCAGCGGATTGAC |
XM_019350598.2 |
| EF-α |
F: CTACAGCCAGGCTCGTTTCG
R: CTTGTCACTGGTCTCCAGCA |
AB075952 |
| keap1 |
F: CTTCGCCATCATGAACGAGC
R: CACCAACTCCATACCGCACT |
XM_003447926.3 |
| Nrf2 |
F: CTGCCGTAAACGCAAGATGG
R: ATCCGTTGACTGCTGAAGGG |
XM_003447296.4 |
| TLR-7 |
F: TCAGCAGGGTGAGAGCATAC
R: ACATATCCCAGCCGTAGAGG |
XM_005477981.1 |
| TNFɑ |
F: CCAGAAGCACTAAAGGCGAAGA
R: CCTTGGCTTTGCTGCTGATC |
NM_001279533.1 |
| nf-κB | F: GAACATCAGACCGACGACCA R: TCTCCGCCAGTTTCTTCCA |
XM_003457469.4 |
| FLP 0 | FLP 5 | FLP 10 | FLP 20 | FLP 40 | |
| IW (g) | 15.08±0.02a | 15.05±0.03a | 15.00 ± 0.00a | 15.02±0.02a | 15.02±0.02a |
| FW (g) | |||||
| 4 weeks | 30.72±1.05a | 32.53±0.32a | 30.95±0.93a | 31.97±0.88a | 29.9±2.06a |
| 8 weeks | 56.87±0.94b | 58.19±0.58ab | 58.29±1.34ab | 61.53±0.55a | 57.63±0.73ab |
| WG (g) | |||||
| 4 weeks | 15.63±1.05a | 17.48±0.30a | 15.95±0.93a | 16.95±0.88a | 14.88±2.07a |
| 8 weeks | 41.78±0.92b | 43.14±0.61ab | 43.29±1.34ab | 46.52±0.55a | 42.61±0.73ab |
| SGR (%/day) | |||||
| 4 weeks | 2.37±0.11a | 2.57±0.03a | 2.41±0.10a | 2.52±0.09a | 2.28±0.24a |
| 8 weeks | 2.21±0.02b | 2.25±0.02ab | 2.26±0.04ab | 2.35±0.01a | 2.24±0.02b |
| FCR | |||||
| 4 weeks | 0.72±0.02a | 0.66±0.02a | 0.66±0.00a | 0.64±0.03a | 0.68±0.04a |
| 8 weeks | 1.09±0.02a | 1.10±0.03a | 1.06±0.02a | 1.05±0.02a | 1.10±0.05a |
| SR (%) | |||||
| 4 weeks | 93.33±1.67a | 91.67±3.33a | 96.67±3.33a | 96.67±1.67a | 96.67±1.67a |
| 8 weeks | 95.00±2.89a | 91.67±3.33a | 96.67±3.33a | 93.33±3.33a | 93.33±6.67a |
| FLP 0 | FLP 5 | FLP 10 | FLP 20 | FLP 40 | |
| Carbohydrate | 2.35±0.05c | 2.69±0.05b | 2.39±0.03c | 2.91±0.03a | 2.72±0.05ab |
| Protein | 23.54±0.13c | 26.8±0.26ab | 25.49±0.44bc | 28.62±1.10a | 28.07±0.72ab |
| FLP 0 | FLP 5 | FLP 10 | FLP 20 | FLP 40 | |
| Amylase activity | 48.05±2.22b | 54.85±2.52ab | 51.98±1.32ab | 57.15±1.88a | 54.77±1.35ab |
| Lipase activity | 0.15±0.01a | 0.14±0.00a | 0.13±0.01a | 0.13±0.01a | 0.14±0.01a |
| Protease activity | 2.77±0.08bc | 2.73±0.14bc | 2.58±0.03c | 3.24±0.06a | 3.06±0.06ab |
| Trypsin activity | 8.31±0.14b | 8.48±0.11b | 8.30±0.20b | 9.58±0.06a | 8.46±0.09b |
| FLP 0 | FLP 5 | FLP 10 | FLP 20 | FLP 40 | |
| VH (μm) | 445.40±13.29b | 485.80±11.37ab | 449.40±25.36b | 500.60±3.50ab | 523.60±14.62a |
| VW (μm) | 88.51±0.57b | 92.88±0.63ab | 90.81±1.84ab | 93.73±0.65a | 93.05±1.01ab |
| CD (μm) | 33.74±0.92a | 30.08±3.15a | 31.39±2.85a | 28.11±1.28a | 30.32±0.79a |
| VH:CD | 13.34±0.68b | 16.53±1.36ab | 14.5±0.60ab | 18.06±1.06a | 17.53±0.12a |
| FLP 0 | FLP 5 | FLP 10 | FLP 20 | FLP 40 | ||
| 4 weeks | SMLA | 12.47±1.13a | 11.27±1.56a | 9.99±0.66a | 11.38±0.99a | 11.72±1.36a |
| SMPA | 0.29±0.03a | 0.25±0.04a | 0.32±0.03a | 0.38±0.04a | 0.33±0.05a | |
| 8 weeks | SMLA | 12.03±0.33b | 11.62±1.29b | 13.67±1.39ab | 13.29±1.30ab | 17.32±0.62a |
| SMPA | 0.25±0.02b | 0.44±0.07ab | 0.32±0.08ab | 0.52±0.02a | 0.39±0.04ab |
| FLP 0 | FLP 5 | FLP 10 | FLP 20 | FLP 40 | ||
| 4 weeks | SLA | 6.68±0.65b | 7.88±0.2ab | 7.69±0.36ab | 8.46±0.33ab | 9.15±0.73a |
| SPA | 0.12±0.04b | 0.37±0.07ab | 0.33±0.07ab | 0.43±0.04a | 0.29±0.10ab | |
| ACH50 | 282.60±22.20bc | 253.60±44.57c | 306.70±49.20ab | 446.10±12.97a | 423.10±23.74ab | |
| 8 weeks | SLA | 5.65±0.21b | 7.12±0.39ab | 6.97±0.17ab | 7.46±0.43a | 7.13±0.22a |
| SPA | 0.12±0.05b | 0.49±0.02a | 0.35±0.13ab | 0.44±0.02ab | 0.18±0.09ab | |
| ACH50 | 280.90±27.92b | 357.70±15.59ab | 300.90±39.71b | 491.50±26.94a | 354.00±34.93ab |
Disclaimer/Publisher’s Note: The statements, opinions and data contained in all publications are solely those of the individual author(s) and contributor(s) and not of MDPI and/or the editor(s). MDPI and/or the editor(s) disclaim responsibility for any injury to people or property resulting from any ideas, methods, instructions or products referred to in the content. |
© 2026 by the authors. Licensee MDPI, Basel, Switzerland. This article is an open access article distributed under the terms and conditions of the Creative Commons Attribution (CC BY) license (http://creativecommons.org/licenses/by/4.0/).
