Preprint
Article

This version is not peer-reviewed.

Alternative MEMS Navigation During GNSS/Starlink Outages

Submitted:

11 February 2026

Posted:

12 February 2026

You are already at the latest version

Abstract
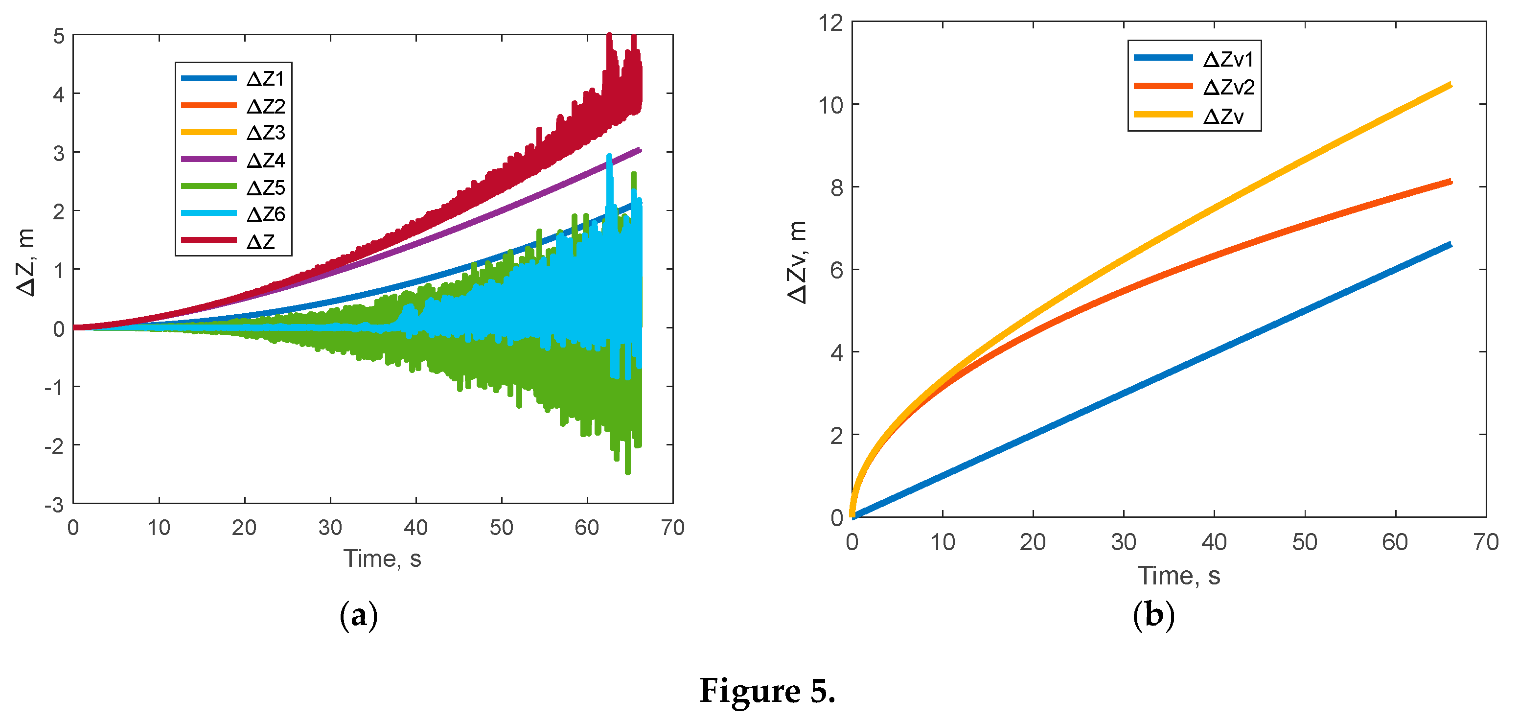
An alternative MEMS navigation method for determining latitude, longitude, and altitude is proposed, based on Velocity-Aided Navigation, when global navigation satellite system (GNSS) or Starlink signals are unavailable for various reasons. Currently, GNSS receivers are the primary navigation systems that meet consumer demand for location accuracy. However, GNSS receivers are not autonomous and are susceptible to jamming and spoofing. Strapdown inertial navigation systems (SINS), unlike GNSS, are autonomous. Their operating principle is based on double integration of accelerometer output signals. However, they have a significant drawback: SINS errors increase significantly over time. Two approaches are used to improve accuracy. The first involves using expensive, high-precision gyroscopes and accelerometers. The other involves correcting the SINS by integrating it with navigation systems built on physical principles different from those of the SINS. An alternative method based on MEMS IMU for determining navigation parameters is proposed that does not require double integration of accelerometer output signals. Analytical expressions for the errors of the new method are derived. Calculations showed that the errors of the new method are significantly smaller than those of the SINS. Experimental testing confirmed the calculation results and demonstrated that the errors of the new method are comparable to those of the SINS integrated with GNSS and a Kalman filter. The proposed alternative NEMS navigation method for determining latitude, longitude, and altitude can be used independently, as an alternative to GNSS for integration with the SINS, and can also serve as a backup navigation system.
Keywords: 
;  ;  ;  ;  ;  ;  ;  ;  ;  
Copyright: This open access article is published under a Creative Commons CC BY 4.0 license, which permit the free download, distribution, and reuse, provided that the author and preprint are cited in any reuse.
Prerpints.org logo

Preprints.org is a free preprint server supported by MDPI in Basel, Switzerland.

Subscribe

Disclaimer

Terms of Use

Privacy Policy

Privacy Settings

© 2026 MDPI (Basel, Switzerland) unless otherwise stated