Preprint
Article

This version is not peer-reviewed.

Employ Machine Learning Tools in Reverse-Engineering Processes to Obtain Printing Parameters for Parts Manufactured via FDM

Submitted:

10 February 2026

Posted:

11 February 2026

You are already at the latest version

Abstract
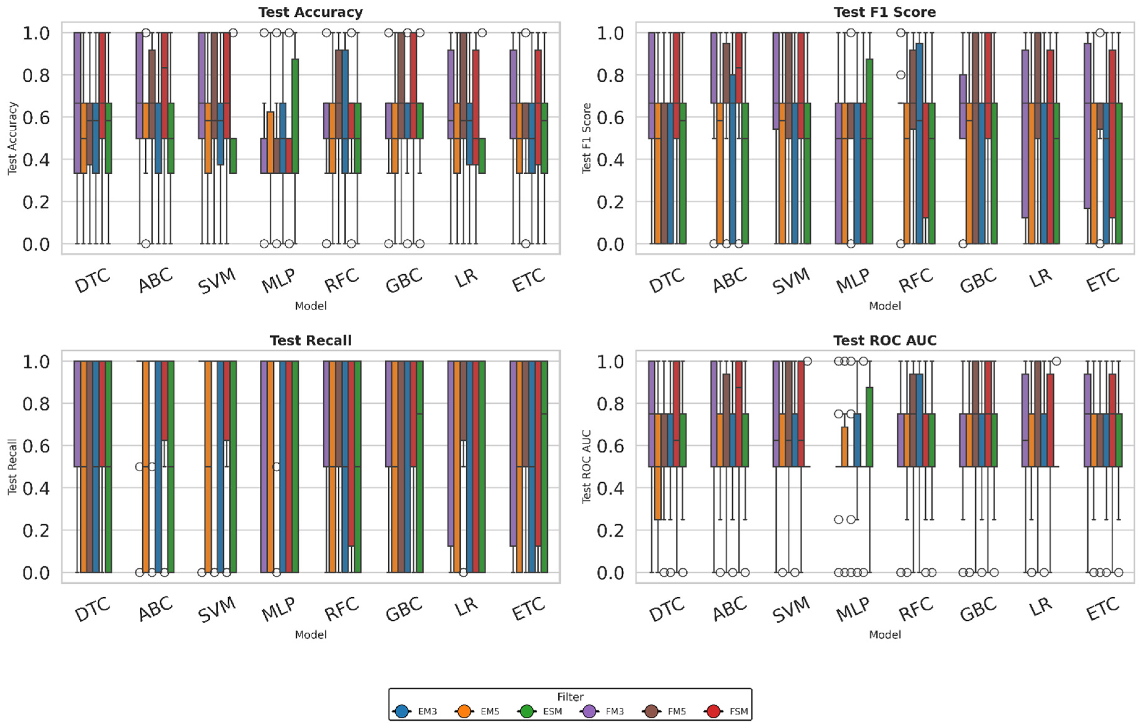
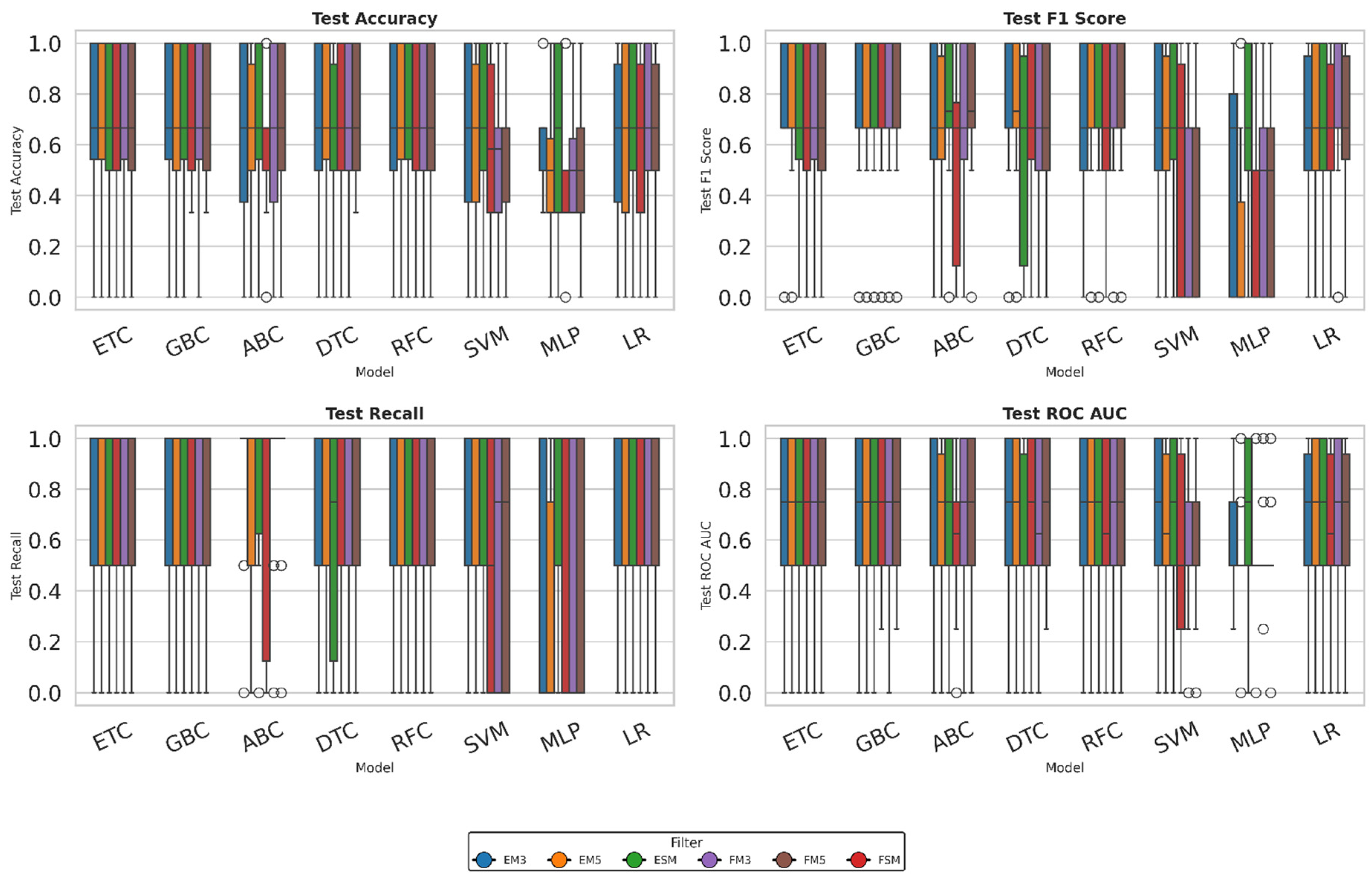
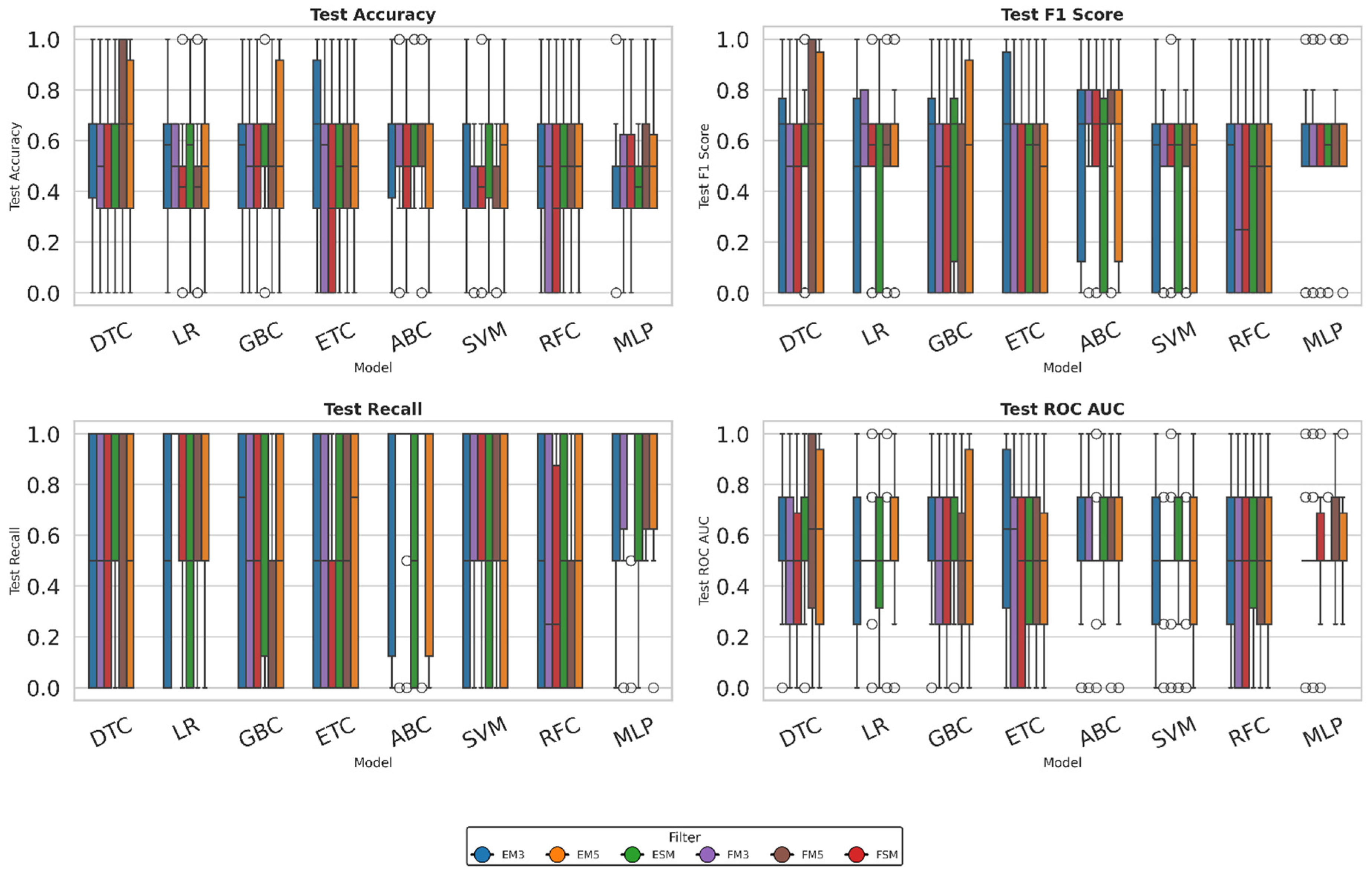
Fused Deposition Modeling (FDM) components require accurate identification of printing parameters to support reliable quality assessment and scalable reverse‑engineering workflows. This study evaluates whether mechanical response curves can be used to infer critical manufacturing parameters—specifically build direction, layer thickness, and infill density. Force–displacement and stress–strain data obtained from tensile tests were converted into image‑based representations and classified using individual and ensemble machine learning models. The influence of applying a moving‑average filter to smooth the curve‑derived images was also examined. Ensemble approaches, particularly AdaBoost, achieved higher accuracy and robustness across the evaluated variables, with the best results obtained from unfiltered stress–strain images. Under limited‑data conditions, ensemble models generally outperformed individual classifiers, while Multilayer Perceptron and Support Vector Machine models showed more stable but less accurate behavior. Overall, the findings demonstrate the feasibility of predicting FDM printing parameters directly from mechanical‑curve‑derived images, enabling a non‑destructive approach suitable for scalable reverse‑engineering and improved traceability within additive manufacturing processes.
Keywords: 
;  ;  ;  ;  ;  
Copyright: This open access article is published under a Creative Commons CC BY 4.0 license, which permit the free download, distribution, and reuse, provided that the author and preprint are cited in any reuse.
Prerpints.org logo

Preprints.org is a free preprint server supported by MDPI in Basel, Switzerland.

Subscribe

Disclaimer

Terms of Use

Privacy Policy

Privacy Settings

© 2026 MDPI (Basel, Switzerland) unless otherwise stated