Preprint
Article

This version is not peer-reviewed.

Compact AMC-Backed Flexible UHF RFID Tag Antenna for On-Body Biomedical Applications

Submitted:

09 February 2026

Posted:

11 February 2026

You are already at the latest version

Abstract
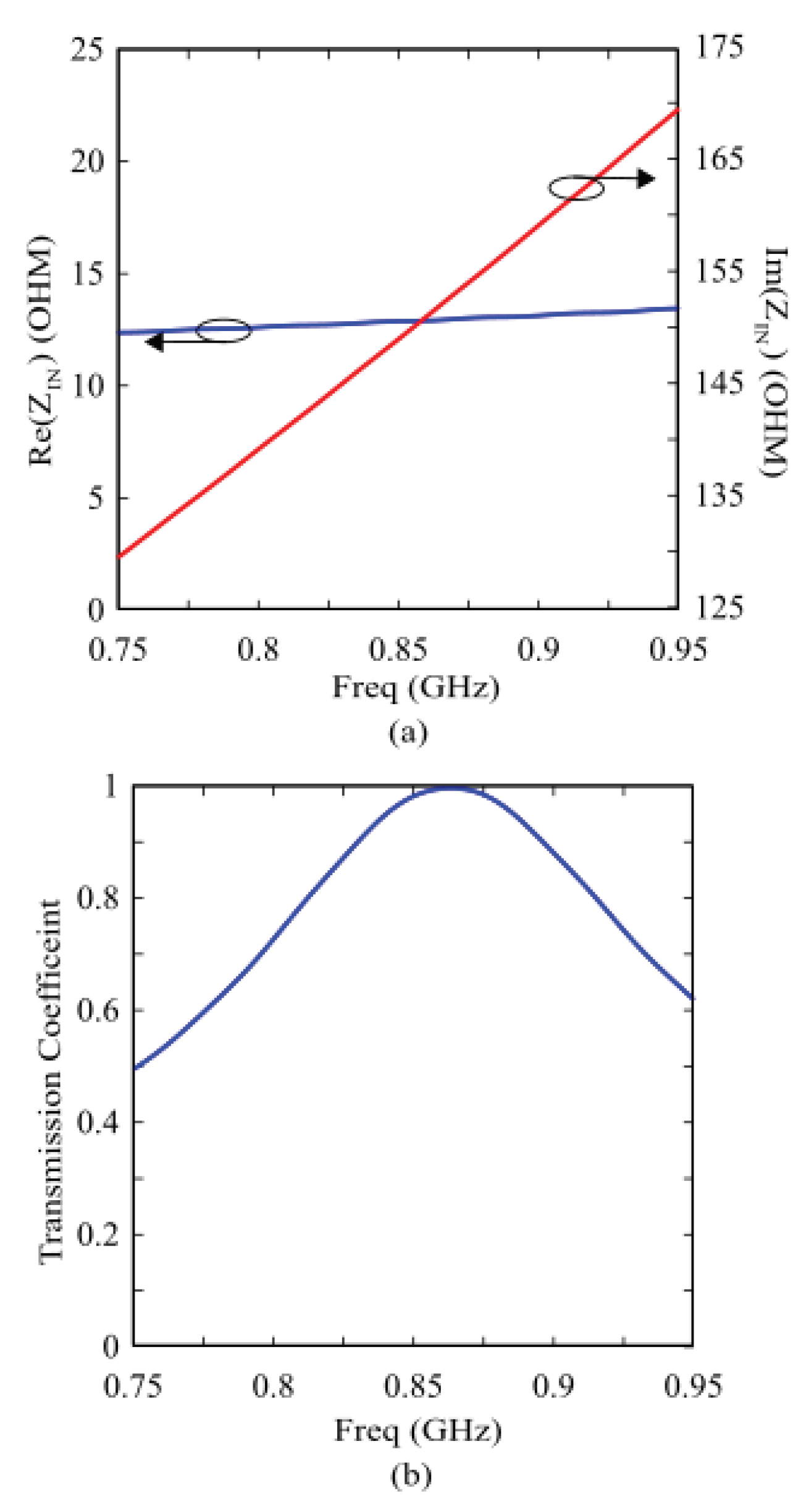
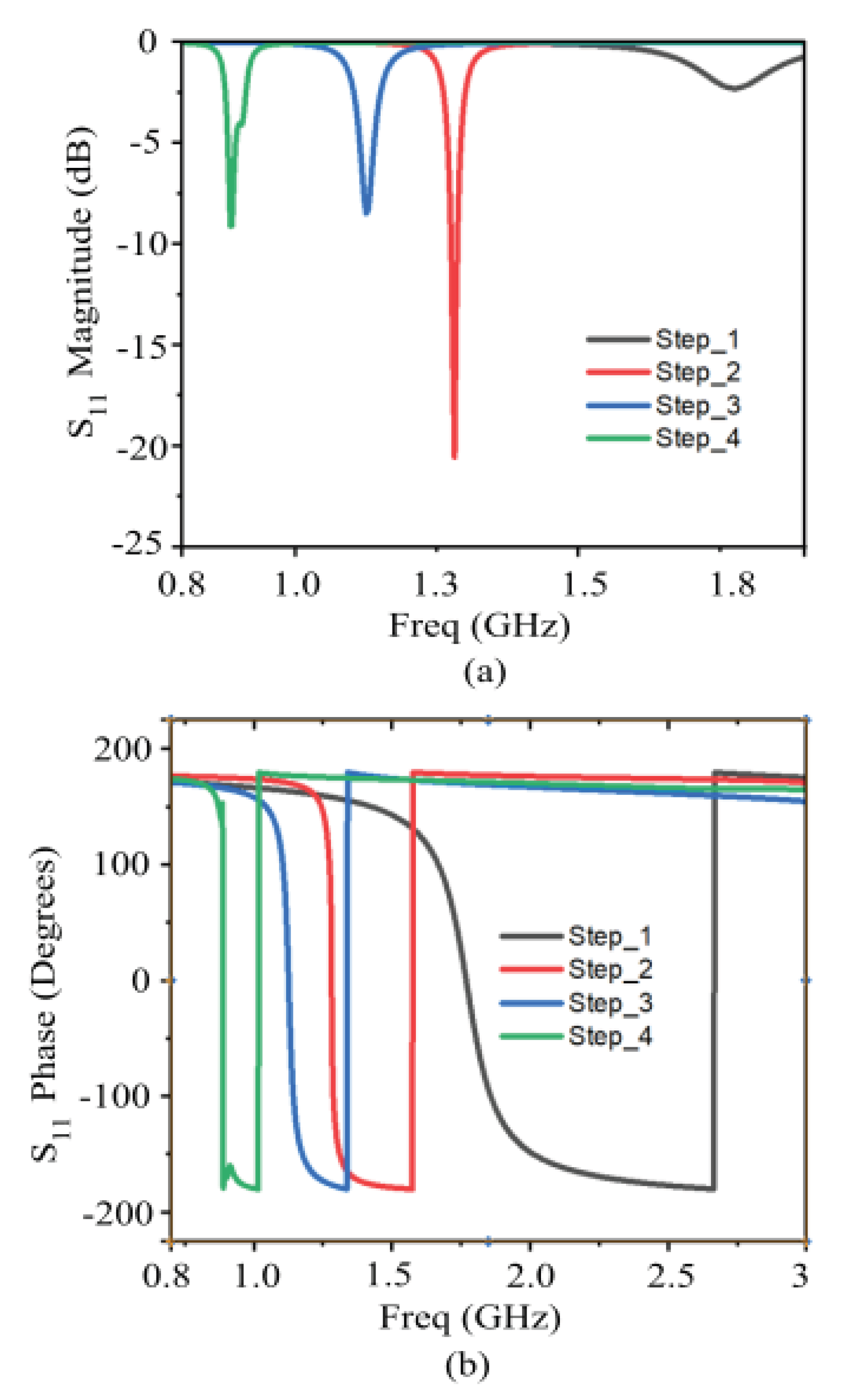
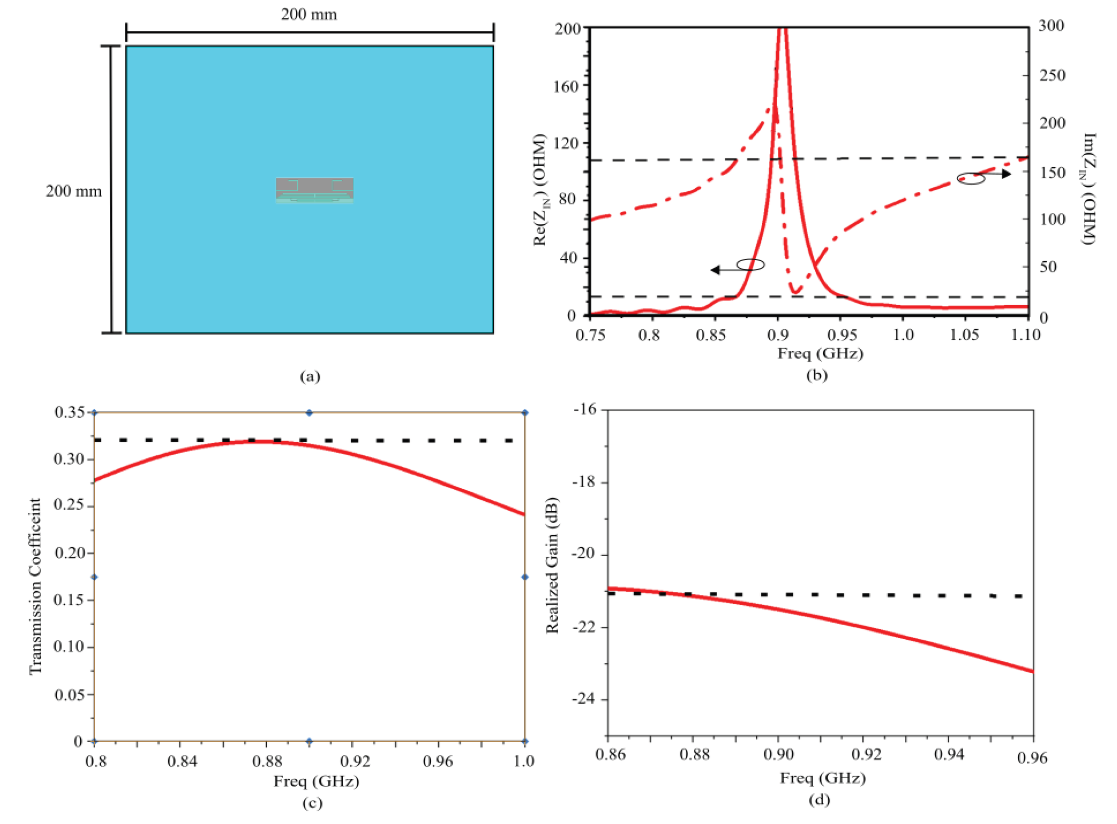
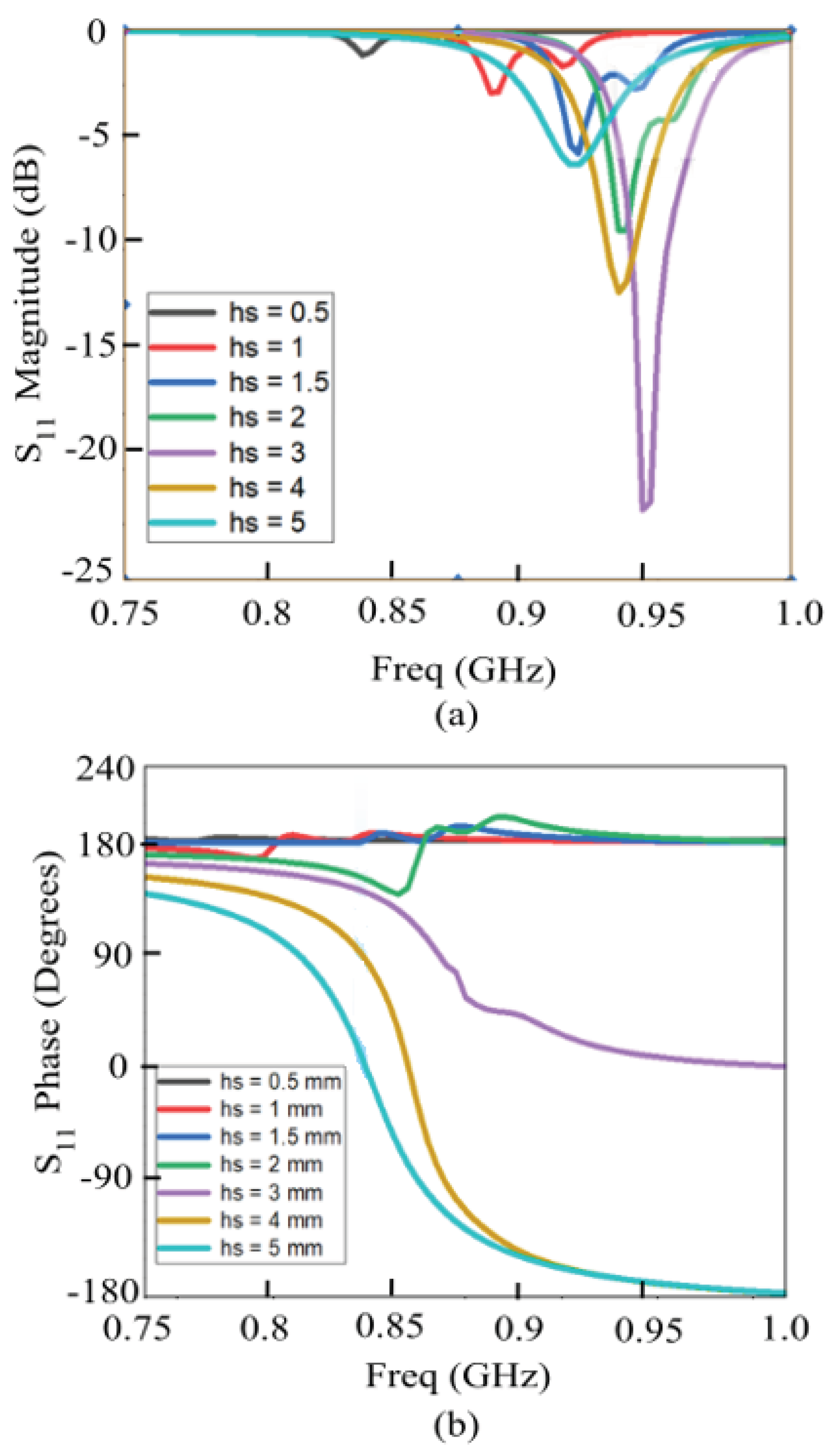
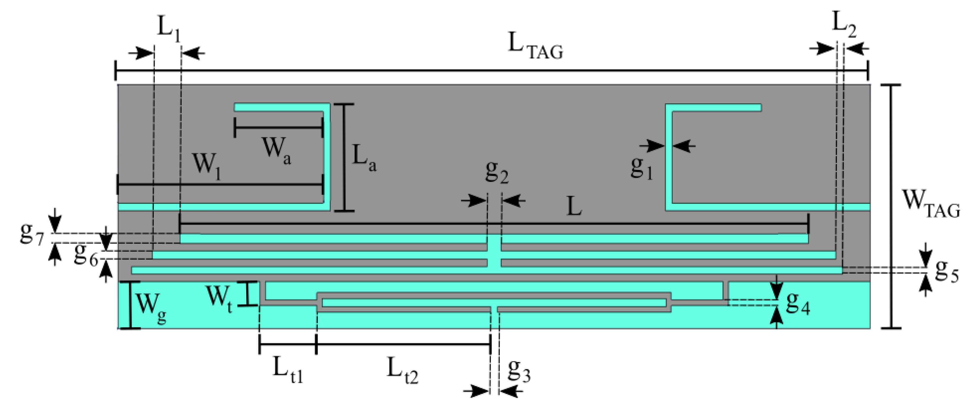
This paper presents the design, modeling, and numerical validation of a compact artificial magnetic conductor (AMC)–backed flexible UHF RFID tag antenna intended for on-body biomedical and wearable sensing applications. Human tissue proximity typically causes severe detuning, radiation efficiency degradation, and increased specific absorption rate (SAR) for conventional RFID tag antennas. To address these limitations, a miniaturized AMC metasurface based on a modified Jerusalem-cross geometry with meandered and interdigitated features is developed on a high-permittivity biocompatible substrate using CST Studio Software. Full-wave simulations demonstrate that the proposed design, with an ultra-compact footprint of 0.0246 λ2 (32.12 mm × 64.24 mm), functions as an effective shielding element, significantly enhancing the tag antenna gain and reading range by an order of magnitude compared to conventional on-body tags, while simultaneously reducing backward radiation and SAR. The antenna demonstrates robust platform tolerance and excellent isolation from the human body, ensuring high reliability. Fabricated on a thin, flexible, biocompatible, silicon-doped dielectric substrate, this device also functions as an epidermal antenna for on-skin health parameter sampling. This research paves the way for advanced, non-invasive wearable medical devices with superior performance.
Keywords: 
;  ;  ;  ;  
Copyright: This open access article is published under a Creative Commons CC BY 4.0 license, which permit the free download, distribution, and reuse, provided that the author and preprint are cited in any reuse.
Prerpints.org logo

Preprints.org is a free preprint server supported by MDPI in Basel, Switzerland.

Subscribe

Disclaimer

Terms of Use

Privacy Policy

Privacy Settings

© 2026 MDPI (Basel, Switzerland) unless otherwise stated