Preprint
Article

This version is not peer-reviewed.

Directivity Maximization of Difference Patterns for Monopulse Microstrip Patch Arrays with Sidelobe Constraints

Submitted:

09 February 2026

Posted:

10 February 2026

You are already at the latest version

Abstract
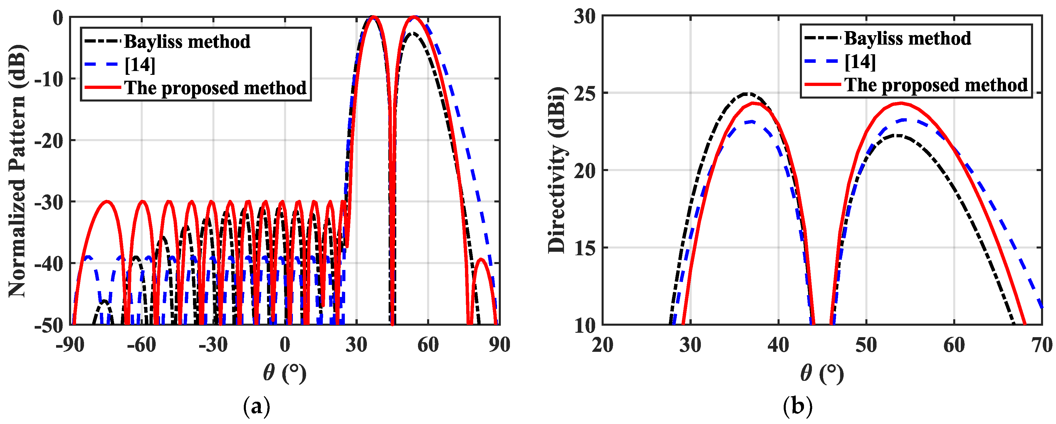
High-performance difference patterns (DPs) are critical for compact and inte-grated microwave array systems, particularly in monopulse tracking and beam-scanning applications. However, the design of monopulse phased arrays with steep slopes, high directivity, low sidelobes, and symmetric main lobes remains challenging due to con-straints imposed by the array aperture and radome structure. In this paper, a novel design method is proposed to maximize the DP directivities for monopulse linear and planar phased arrays composed of microstrip patch antennas. The DP synthesis problem is first formulated as a nonconvex optimization model for directivity maximization. By fixing the reference phase of the DP slope and applying a first-order Taylor expansion of the quad-ratic function, the original problem is decomposed into a sequence of convex subproblems that can be solved efficiently. The proposed method fully exploits the flexibility of the phased array feed network, enabling directivity enhancement without altering the geo-metric configuration of the monopulse array. Finally, two numerical examples employing a radome-enclosed linear phased array and a uniform planar phased array are presented to demonstrate effectiveness of the proposed method in achieving the monopluse array DP synthesis with high directivity and symmetric main-lobes.
Keywords: 
;  ;  ;  ;  ;  ;  
Copyright: This open access article is published under a Creative Commons CC BY 4.0 license, which permit the free download, distribution, and reuse, provided that the author and preprint are cited in any reuse.
Prerpints.org logo

Preprints.org is a free preprint server supported by MDPI in Basel, Switzerland.

Subscribe

Disclaimer

Terms of Use

Privacy Policy

Privacy Settings

© 2026 MDPI (Basel, Switzerland) unless otherwise stated