Submitted:
30 January 2026
Posted:
30 January 2026
You are already at the latest version
Abstract
Keywords:
1. Introduction
2. Materials and Methods
2.1. Population
2.2. Measures
2.3. Data Analysis
3. Results
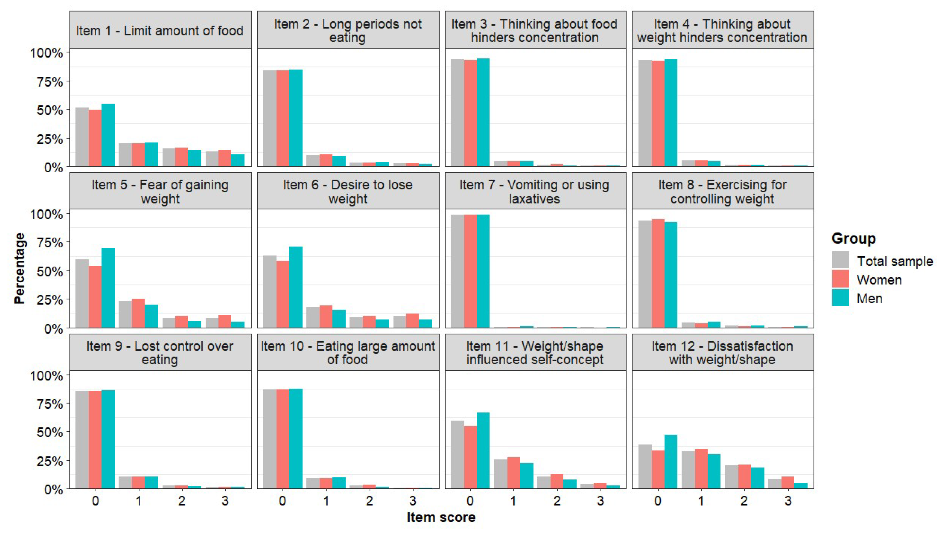
3.1. Frequency Distribution of EDE-QS
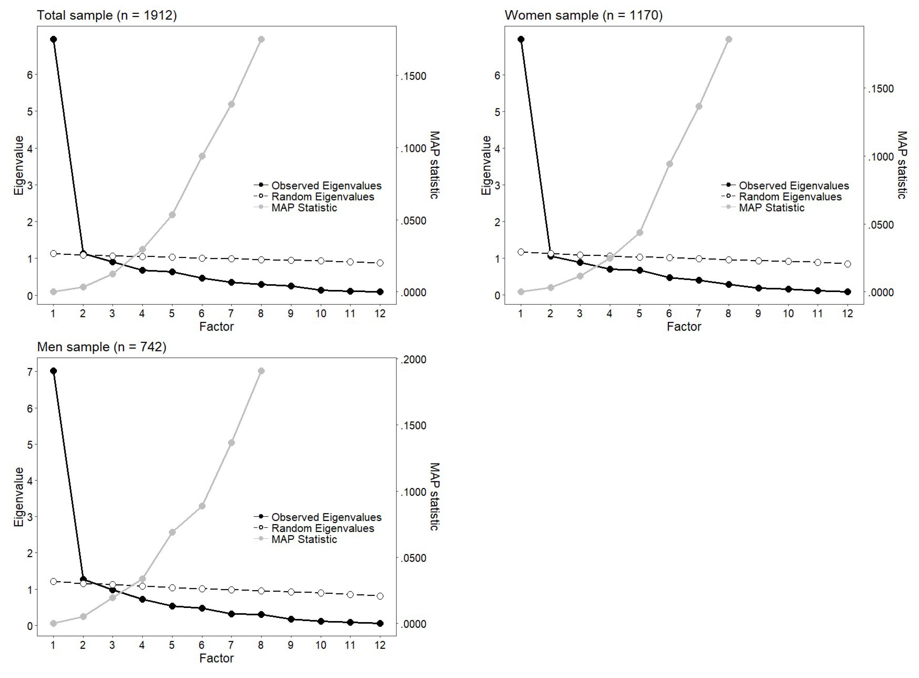
3.2. EDE-QS Dimensionality and Measurement Model
3.3. EDE-QS Invariance Across Gender
3.4. Correlates of EDE-QS Across Gender
4. Discussion
5. Conclusions
Supplementary Materials
Author Contributions
Funding
Institutional Review Board Statement
Informed Consent Statement
Data Availability Statement
Conflicts of Interest
Abbreviations
| 1-PL | One-parameter logistic model |
| −2LL | −2 log likelihood |
| 2-PL | Two-parameter logistic model |
| AIC | Akaike Information Criterion |
| AN | Anorexia nervosa |
| ANOVA | Analysis of variance |
| BED | Binge eating disorder |
| BIC | Bayesian Information Criterion |
| BMI | Body mass index |
| BN | Bulimia nervosa |
| CFI | Comparative fit index |
| CI | Confidence interval |
| df | Degrees of freedom |
| DHDLS | Digital Healthy Diet Literacy survey |
| DIF | Differential item functioning |
| DSM-5-TR | Diagnostic and Statistical Manual of Mental Disorders, 5th edition, Text Revision |
| ED | Eating disorder |
| EDE | Eating Disorder Examination |
| EDE-Q | Eating Disorder Examination - Questionnaire |
| EDE-QS | Eating Disorder Examination – Questionnaire short form |
| ERI | Effort-Reward Imbalance questionnaire |
| ESSD | Expected Score Standardized Difference |
| FSD | Factor score determinacy |
| GADS | Goldberg Depression/Anxiety Scale |
| GOF | Goodness of fit |
| GRM | Graded response model |
| HLS-EU-Q47 | European Health Literacy Questionnaire |
| HLS-SF12 | Health Literacy Scale-Short Form |
| ICD-11 | International Classification of Diseases, 11th edition |
| IRT | Item Response Theory |
| LRT | Likelihood ratio test |
| MAP | Velicer’s minimum average partial correlation statistic |
| PA | Parallel analysis |
| PSQI | Pittsburgh Sleep Quality Index |
| RMSEA | Root mean square error of approximation |
| SABIC | sample size-adjusted Bayesian Information Criterion |
| SEM | Structural equation modeling |
| SM | Supplementary material |
| TLI | Tucker-Lewis index |
| VIF | Violent Incident Form |
| WHO | World Health Organization |
References
- Abbott, S., Dindol, N., Tahrani, A. A., & Piya, M. K. (2018). Binge eating disorder and night eating syndrome in adults with type 2 diabetes: A systematic review. Journal of Eating Disorders, 6(1), 36. [CrossRef]
- Abdel-Khalek, A. M. (2006). Measuring happiness with a single-item scale. Social Behavior and Personality, 34(2), 139–150. [CrossRef]
- Agriopoulou, S., & Koutelekos, I. (2020). The impact of mediterranean diet in perioperative nurses’ health. Health & Research Journal, 6(1), 21. [CrossRef]
- Ahmed, M., Islam, M. D., Aouad, P., Miskovic-Wheatley, J., Touyz, S., Maguire, S., & Cunich, M. (2025). Global and regional economic burden of eating disorders: A systematic review and critique of methods. International Journal of Eating Disorders, 58(1), 91–116. [CrossRef]
- Akaike, H. (1974). A new look at the statistical model identification. IEEE Transactions on Automatic Control, 19(6), 716–723. [CrossRef]
- Alcaraz-Ibáñez, M., Paterna, A., & Griffiths, M. D. (2023). Social physical anxiety and eating disorders: A systematic review and meta-analysis. Body Image, 45, 133–141. [CrossRef]
- Alhaj, O. A., Fekih-Romdhane, F., Sweidan, D. H., Saif, Z., Khudhair, M. F., Ghazzawi, H., Nadar, M. Sh., Alhajeri, S. S., Levine, M. P., & Jahrami, H. (2022). The prevalence and risk factors of screen-based disordered eating among university students: A global systematic review, meta-analysis, and meta-regression. Eating and Weight Disorders, 27(8), 3215–3243. [CrossRef]
- American Psychiatric Association. (2022). Diagnostic and statistical manual of mental disorders (5th ed., text rev.). [CrossRef]
- Amicis, R. D., Galasso, L., Cavallaro, R., Mambrini, S. P., Castelli, L., Montaruli, A., Roveda, E., Esposito, F., Leone, A., Foppiani, A., Battezzati, A., & Bertoli, S. (2023). Sex differences in the relationship between chronotype and eating behaviour: A focus on binge eating and food addiction. Nutrients, 15(21), 4580. [CrossRef]
- Amiri, S., & Ab Khan, M. (2025). Is eating disorders a risk agent for all-cause mortality: A meta-analysis. Eating Disorders, 33(5), 602–636. [CrossRef]
- Arcelus, J., Mitchell, A. J., Wales, J., & Nielsen, S. (2011). Mortality rates in patients with anorexia nervosa and other eating disorders:. A meta-analysis of 36 studies. Archives of General Psychiatry, 68(7), 724. [CrossRef]
- Arnetz, J. E. (1998). The Violent Incident Form (VIF): A practical instrument for the registration of violent incidents in the health care workplace. Work & Stress, 12(1), 17–28. [CrossRef]
- Baker, F. B. (2001). The basics of item response theory (2nd ed.). ERIC Clearinghouse on Assessment and Evaluation.
- Baker, J. H., Johnson, N. K., Munn-Chernoff, M. A., Lichtenstein, P., Larsson, H., Maes, H. H., & Kendler, K. S. (2018). Illicit drug use, cigarette smoking, and eating disorder symptoms: Associations in an adolescent twin sample. Journal of Studies on Alcohol and Drugs, 79(5), 720–724. [CrossRef]
- Baker, J. H., Mitchell, K. S., Neale, M. C., & Kendler, K. S. (2010). Eating disorder symptomatology and substance use disorders: Prevalence and shared risk in a population based twin sample. International Journal of Eating Disorders, 43(7), 648–658. [CrossRef]
- Baker, J. H., & Runfola, C. D. (2016). Eating disorders in midlife women: A perimenopausal eating disorder? Maturitas, 85, 112–116. [CrossRef]
- Barakat, S., McLean, S. A., Bryant, E., Le, A., Marks, P., National Eating Disorder Research Consortium, Aouad, P., Barakat, S., Boakes, R., Brennan, L., Bryant, E., Byrne, S., Caldwell, B., Calvert, S., Carroll, B., Castle, D., Caterson, I., Chelius, B., Chiem, L., … Maguire, S. (2023). Risk factors for eating disorders: Findings from a rapid review. Journal of Eating Disorders, 11(1), 8. [CrossRef]
- Baranauskas, M., Kupčiūnaitė, I., & Stukas, R. (2022). Potential triggers for risking the development of eating disorders in non-clinical higher-education students in emerging adulthood. Nutrients, 14(11), 2293. [CrossRef]
- Baroni, D., Caccico, L., Ciandri, S., Di Gesto, C., Di Leonardo, L., Fiesoli, A., Grassi, E., Lauretta, F., Lebruto, A., Marsigli, N., Policardo, G. R., Rosadoni, M., & Chiorri, C. (2022). Measurement invariance of the Liebowitz Social Anxiety Scale-Self-Report. Journal of Clinical Psychology. [CrossRef]
- Bartlett, B. A., & Mitchell, K. S. (2015). Eating disorders in military and veteran men and women: A systematic review. International Journal of Eating Disorders, 48(8), 1057–1069. [CrossRef]
- Benjamini, Y., & Hochberg, Y. (2000). On the adaptive control of the false discovery rate in multiple testing with independent statistics. Journal of Educational and Behavioral Statistics, 25(1), 60–83. [CrossRef]
- Ben-Shachar, M., Lüdecke, D., & Makowski, D. (2020). effectsize: Estimation of effect size indices and standardized parameters. Journal of Open Source Software, 5(56), 2815. [CrossRef]
- Bentler, P. M. (2007). Covariance structure models for maximal reliability of unit-weighted composites. In S. Lee (A c. Di), Handbook of computing and statistics with applications: Vol. 1 (pp. 1–19). Elsevier.
- Berg, K. C., Peterson, C. B., Frazier, P., & Crow, S. J. (2012). Psychometric evaluation of the Eating Disorder Examination and Eating Disorder Examination-Questionnaire: A systematic review of the literature. International Journal of Eating Disorders, 45(3), 428–438. [CrossRef]
- Birnbaum, A. (1968). Some latent trait models and their use in inferring an examinee’s ability. In F. M. Lord & M. R. Novick (A c. Di), Statistical theories of mental test scores. Addison-Wesley.
- Brady, S. S. (2008). Lifetime family violence exposure is associated with current symptoms of eating disorders among both young men and women. Journal of Traumatic Stress, 21(3), 347–351. [CrossRef]
- Brasil, K. M., Mims, C. E., McDermott, R. C., & Pritchard, M. E. (2023). Checking the scales: A psychometric evaluation of the Weight Concerns Scale in a sample of college-aged cisgender men from the United States. Psychological Assessment, 35(3), 218–228. [CrossRef]
- Bratland-Sanda, S., & Sundgot-Borgen, J. (2013). Eating disorders in athletes: Overview of prevalence, risk factors and recommendations for prevention and treatment. European Journal of Sport Science, 13(5), 499–508. [CrossRef]
- Burke, N. L., Tanofsky-Kraff, M., Crosby, R. D., Mehari, R. D., Marwitz, S. E., Broadney, M. M., Shomaker, L. B., Kelly, N. R., Schvey, N. A., Cassidy, O., Yanovski, S. Z., & Yanovski, J. A. (2017). Measurement invariance of the Eating Disorder Examination in black and white children and adolescents. International Journal of Eating Disorders, 50(7), 758–768. [CrossRef]
- Buysse, D. J., Reynolds, C. F., Monk, T. H., Berman, S. R., & Kupfer, D. J. (1989). The Pittsburgh Sleep Quality Index: A new instrument for psychiatric practice and research. Psychiatry Research, 28(2), 193–213. [CrossRef]
- Byrne, B. M., Shavelson, R. J., & Muthén, B. (1989). Testing for the equivalence of factor covariance and mean structures: The issue of partial measurement invariance. Psychological Bulletin, 105(3), 456–466. [CrossRef]
- Cachelin, F. M., & Striegel-Moore, R. H. (2006). Help seeking and barriers to treatment in a community sample of Mexican American and European American women with eating disorders. International Journal of Eating Disorders, 39(2), 154–161. [CrossRef]
- Cai, L., & Monroe, S. (2014). A new statistic for evaluating item response theory models for ordinal data (No. CRESST Report 839). University of California, National Center for Research on Evaluation, Standards, and Student Testing (CRESST). http://cresst.org/publications/cresst–publication–3208.
- Calugi, S., Milanese, C., Sartirana, M., El Ghoch, M., Sartori, F., Geccherle, E., Coppini, A., Franchini, C., & Dalle Grave, R. (2017). The Eating Disorder Examination Questionnaire: Reliability and validity of the Italian version. Eating and Weight Disorders - Studies on Anorexia, Bulimia and Obesity, 22(3), 509–514. [CrossRef]
- Carrard, I., Lien Rebetez, M. M., Mobbs, O., & der Linden, M. V. (2014). Factor structure of a French version of the Eating Disorder Examination—Questionnaire among women with and without binge eating disorder symptoms. Eating and Weight Disorders, 20(1), 137–144. [CrossRef]
- Cattell, R. B. (1966). The scree test for the number of factors. Multivariate Behavioral Research, 1(2), 245–276. [CrossRef]
- Chalmers, R. P. (2012). mirt: A multidimensional item response theory package for the R environment. Journal of Statistical Software, 48(6), 1–29. [CrossRef]
- Chapa, D. A. N., Johnson, S. N., Richson, B. N., Bjorlie, K., Won, Y. Q., Nelson, S. V., Ayres, J., Jun, D., Forbush, K. T., Christensen, K. A., & Perko, V. L. (2022). Eating-disorder psychopathology in female athletes and non-athletes: A meta-analysis. International Journal of Eating Disorders, 55(7), 861–885. [CrossRef]
- Chellappa, S. L., Gao, L., Qian, J., Vujovic, N., Li, P., Hu, K., & Scheer, F. A. J. L. (2025). Daytime eating during simulated night work mitigates changes in cardiovascular risk factors: Secondary analyses of a randomized controlled trial. Nature Communications, 16(1), 3186. [CrossRef]
- Chen, F. F. (2007). Sensitivity of goodness of fit indexes to lack of measurement invariance. Structural Equation Modeling, 14(3), 464–504. [CrossRef]
- Cheung, G. W., & Rensvold, R. B. (2002). Evaluating goodness-of-fit indexes for testing measurement invariance. Structural Equation Modeling, 9(2), 233–255. [CrossRef]
- Coelho, J. S., Suen, J., Marshall, S., Burns, A., Geller, J., & Lam, P.-Y. (2021). Gender differences in symptom presentation and treatment outcome in children and youths with eating disorders. Journal of Eating Disorders, 9(1), 113. [CrossRef]
- Conti, C., Di Francesco, G., Severo, M., Lanzara, R., Richards, K., Guagnano, M. T., & Porcelli, P. (2021). Alexithymia and metabolic syndrome: The mediating role of binge eating. Eating and Weight Disorders - Studies on Anorexia, Bulimia and Obesity, 26(6), 1813–1823. [CrossRef]
- Convertino, A. D., Morland, L. A., & Blashill, A. J. (2022). Trauma exposure and eating disorders: Results from a United States nationally representative sample. International Journal of Eating Disorders, 55(8), 1079–1089. [CrossRef]
- Cooper, Z., Cooper, P. J., & Fairburn, C. G. (1989). The validity of the Eating Disorder Examination and its subscales. British Journal of Psychiatry, 154(6), 807–812. [CrossRef]
- Costello, K., Hildebrandt, T., Michaelides, A., Herron, D. M., & Sysko, R. (2023). An exploratory structural equation modelling (ESEM) of the Eating Disorder Examination-Questionnaire in bariatric patients. Clinical Obesity, 13(4), e12595. [CrossRef]
- Crane, P. K., Gibbons, L. E., Jolley, L., & Belle, G. van. (2006). Differential item functioning analysis with ordinal logistic regression techniques. Medical Care, 44(11 Suppl 3), S115–S123. [CrossRef]
- Curcio, G., Tempesta, D., Scarlata, S., Marzano, C., Moroni, F., Rossini, P. M., Ferrara, M., & De Gennaro, L. (2013). Validity of the Italian Version of the Pittsburgh Sleep Quality Index (PSQI). Neurological sciences, 34(4), 511–519. [CrossRef]
- Dahlgren, C. L., Bang, L., & Degobi, E. B. (2025). Screening for eating disorders in adolescents: Psychometric evaluation of the Eating Disorder Examination-Questionnaire short version (EDE-QS) in a community sample. BMC Psychology, 13(1), 1042. [CrossRef]
- Davies, H. O. (2024). Eating disorders of the perimenopause. Post Reproductive Health, 30(4), 233–238. [CrossRef]
- Day, S., Bussey, K., Trompeter, N., & Mitchison, D. (2022). The impact of teasing and bullying victimization on disordered eating and body image disturbance among adolescents: A systematic review. Trauma, Violence, & Abuse, 23(3), 985–1006. [CrossRef]
- De Boer, K., Johnson, C., Wade, T. D., Radunz, M., Fernando, A. N., Babb, J., Stafrace, S., & Sharp, G. (2023). A systematic review and meta-analysis of intensive treatment options for adults with eating disorders. Clinical Psychology Review, 106, 102354. [CrossRef]
- De Vos, J. A., Radstaak, M., Bohlmeijer, E. T., & Westerhof, G. J. (2018). Having an eating disorder and still being able to flourish? Examination of patho-logical symptoms and well-being as two continua of mental health in a clinical sample. Frontiers in Psychology, 9, 2145. [CrossRef]
- Dean, Y. E., Motawea, K. R., Aslam, M., Pintado, J. J. L., Popoola-Samuel, H. A. O., Salam, M., Dundi, P. O. R., Donaldy, W., Aledani, E. M., Alqiqie, Z., Sultana, N., Mohamed, A. R. H., Elalem, A., Syeda, S. T. H., Mohamed, M. S., Assal, M. W., Attia, N. M., Hagar, H., Abdelaziz, H. A., … Aiash, H. (2024). Association between type 1 diabetes mellitus and eating disorders: A systematic review and meta-analysis. Endocrinology, Diabetes & Metabolism, 7(3), e00473. [CrossRef]
- Diedenhofen, B., & Musch, J. (2015). cocor: A comprehensive solution for the statistical comparison of correlations. PLoS ONE, 10(4), e0121945. [CrossRef]
- Dolan, S. C., Khindri, R., Franko, D. L., Thomas, J. J., Reilly, E. E., & Eddy, K. T. (2022). Anhedonia in eating disorders: A meta-analysis and systematic review. International Journal of Eating Disorders, 55(2), 161–175. [CrossRef]
- Dueber, D. (2021). BifactorIndicesCalculator: Bifactor indices calculator [Manual]. https://CRAN.R-project.org/package=BifactorIndicesCalculator.
- Duffy, M. E., Calzo, J. P., Lopez, E., Silverstein, S., Joiner, T. E., & Gordon, A. R. (2021). Measurement and construct validity of the Eating Disorder Examination Questionnaire Short Form in a transgender and gender diverse community sample. Psychological Assessment, 33(5), 459–463. [CrossRef]
- Duong, T. V., Pham, K. M., Do, B. N., Kim, G. B., Dam, H. T. B., Le, V.-T. T., Nguyen, T. T. P., Nguyen, H. T., Nguyen, T. T., Le, T. T., Do, H. T. T., & Yang, S.-H. (2020). Digital healthy diet literacy and self-perceived eating behavior change during COVID-19 pandemic among undergraduate nursing and medical students: A rapid online survey. International Journal of Environmental Research and Public Health, 17(19), 7185. [CrossRef]
- Embretson, S. E., & Reise, S. P. (2000). Item response theory for psychologists. Lawrence Erlbaum Associates.
- Engin, A. (2024). Misalignment of circadian rhythms in diet-induced obesity. In A. B. Engin & A. Engin (A c. Di), Obesity and Lipotoxicity (Vol. 1460, pp. 27–71). Springer International Publishing. [CrossRef]
- Fairburn, C. G., & Beglin, S. J. (1994). Assessment of eating disorders: Interview or self-report questionnaire? International Journal of Eating Disorders, 16(4), 363–370. [CrossRef]
- Fairburn, C. G., & Cooper, Z. (1993). The Eating Disorder Examination (12th edition). In Binge eating: Nature, assessment, and treatment (pp. 317–360). Guilford Press.
- Fekih-Romdhane, F., Daher-Nashif, S., Alhuwailah, A. H., Al Gahtani, H. M. S., Hubail, S. A., Shuwiekh, H. A. M., Khudhair, M. F., Alhaj, O. A., Bragazzi, N. L., & Jahrami, H. (2022). The prevalence of feeding and eating disorders symptomology in medical students: An updated systematic review, meta-analysis, and meta-regression. Eating and Weight Disorders, 27(6), 1991–2010. [CrossRef]
- Feng, B., Harms, J., Chen, E., Gao, P., Xu, P., & He, Y. (2023). Current discoveries and future implications of eating disorders. International Journal of Environmental Research and Public Health, 20(14), 6325. [CrossRef]
- Finbråten, H. S., Wilde-Larsson, B., Nordström, G., Pettersen, K. S., Trollvik, A., & Guttersrud, Ø. (2018). Establishing the HLS-Q12 short version of the European Health Literacy Survey Questionnaire: Latent trait analyses applying Rasch modelling and confirmatory factor analysis. BMC Health Services Research, 18(1), 506. [CrossRef]
- Fisher, R. A. (1925). Statistical methods for research workers. Oliver & Boyd. https://psychclassics.yorku.ca/Fisher/Methods/.
- Fox, J. (2022). polycor: Polychoric and polyserial correlations [Manual]. https://CRAN.R-project.org/package=polycor.
- Gideon, N., Hawkes, N., Mond, J., Saunders, R., Tchanturia, K., & Serpell, L. (2016). Development and psychometric validation of the EDE-QS, a 12 item short form of the Eating Disorder Examination Questionnaire (EDE-Q). PLoS ONE, 11(5), e0152744. [CrossRef]
- Goldberg, D., Bridges, K., Duncan-Jones, P., & Grayson, D. (1988). Detecting anxiety and depression in general medical settings. BMJ, 297(6653), 897–899. [CrossRef]
- Gorsuch, R. L. (1983). Factor analysis (2nd ed.). Lawrence Erlbaum Associates.
- Grice, J. W. (2001). Computing and evaluating factor scores. Psychological Methods, 6(4), 430–450. [CrossRef]
- Hancock, G. R., & Mueller, R. O. (2001). Rethinking construct reliability within latent variable systems. In R. Cudeck, S. du Toit, & D. Sörbom (A c. Di), Structural equation modeling: Present and future: A festschrift in honor of karl jöreskog (pp. 195–216). Scientific Software International.
- He, J., Sun, S., & Fan, X. (2021). Validation of the 12-item Short Form of the Eating Disorder Examination Questionnaire in the Chinese context: Confirmatory factor analysis and Rasch analysis. Eating and Weight Disorders, 26(1), 201–209. [CrossRef]
- Heiss, S., Boswell, J. F., & Hormes, J. M. (2018). Confirmatory factor analysis of the Eating Disorder Examination-Questionnaire: A comparison of five factor solutions across vegan and omnivore participants. International Journal of Eating Disorders, 51(5), 418–428. [CrossRef]
- Hemmer, A., Mareschal, J., Dibner, C., Pralong, J. A., Dorribo, V., Perrig, S., Genton, L., Pichard, C., & Collet, T.-H. (2021). The effects of shift work on cardio-metabolic diseases and eating patterns. Nutrients, 13(11), 4178. [CrossRef]
- Hilbert, A., De Zwaan, M., & Braehler, E. (2012). How frequent are eating disturbances in the population? Norms of the Eating Disorder Examination-Questionnaire. PLoS ONE, 7(1), e29125. [CrossRef]
- Hilbert, A., Hartmann, A. S., Czaja, J., & Schoebi, D. (2013). Natural course of preadolescent loss of control eating. Journal of Abnormal Psychology, 122(3), 684–693. [CrossRef]
- Himmerich, H., Gravina, D., Schalinski, I., Willmund, G.-D., Zimmermann, P. L., Keeler, J. L., & Treasure, J. (2024). Eating- and weight-related disorders in the armed forces. Metabolites, 14(12), 667. [CrossRef]
- Holland, L. A., Bodell, L. P., & Keel, P. K. (2013). Psychological factors predict eating disorder onset and maintenance at 10-year follow-up. European Eating Disorders Review, 21(5), 405–410. [CrossRef]
- Horn, J. L. (1965). A rationale and test for the number of factors in factor analysis. Psychometrika, 30(2), 179–185. [CrossRef]
- Hudson, J. I., Javaras, K. N., & Pope, H. G. (2020). The challenges of metabolic syndrome in eating disorders. Psychiatric Annals, 50(8), 346–350. [CrossRef]
- Hudson, J. I., Lalonde, J. K., Coit, C. E., Tsuang, M. T., McElroy, S. L., Crow, S. J., Bulik, C. M., Hudson, M. S., Yanovski, J. A., Rosenthal, N. R., & Pope, H. G. (2010). Longitudinal study of the diagnosis of components of the metabolic syndrome in individuals with binge-eating disorder. The American Journal of Clinical Nutrition, 91(6), 1568–1573. [CrossRef]
- Iskender, H., Yildiz, N., & Dokumacioglu, E. (2024). Investigation of the healthy nutrition attitude and nutritional literacy level of university students receiving health education. Mediterranean Journal of Nutrition and Metabolism, 17(1), 35–42. [CrossRef]
- Jahrami, H., Sater, M., Abdulla, A., Faris, M. A.-I., & AlAnsari, A. (2019). Eating disorders risk among medical students: A global systematic review and meta-analysis. Eating and Weight Disorders, 24(3), 397–410. [CrossRef]
- Jelinek, H. F., Spence, I., Cornforth, D. J., Tarvainen, M. P., & Russell, J. (2018). Depression and cardiac dysautonomia in eating disorders. Eating and Weight Disorders - Studies on Anorexia, Bulimia and Obesity, 23(3), 369–374. [CrossRef]
- Jenkins, P. E., & Rienecke, R. D. (2022). Structural validity of the Eating Disorder Examination-Questionnaire: A systematic review. International Journal of Eating Disorders, 55(8), 1012–1030. [CrossRef]
- Johnson, C. L., & Taylor, C. (1996). Working with difficult-to-treat eating disorders using an integration of twelve-step and traditional psychotherapies. Psychiatric Clinics of North America, 19(4), 829–841. [CrossRef]
- Joy, P., White, M., & Jones, S. (2022). Exploring the influence of gender dysphoria in eating disorders among gender diverse individuals. Nutrition & Dietetics, 79(3), 390–399. [CrossRef]
- Kang, T., & Chen, T. T. (2011). Performance of the generalized S-X2 item fit index for the graded response model. Asia Pacific Education Review, 12(1), 89–96. [CrossRef]
- Kenny, T. E., Van Wijk, M., Singleton, C., & Carter, J. C. (2018). An examination of the relationship between binge eating disorder and insomnia symptoms. European Eating Disorders Review, 26(3), 186–196. [CrossRef]
- Keski-Rahkonen, A., & Mustelin, L. (2016). Epidemiology of eating disorders in Europe: Prevalence, incidence, comorbidity, course, consequences, and risk factors. Current Opinion in Psychiatry, 29(6), 340–345. [CrossRef]
- Kinasz, K., Accurso, E. C., Kass, A. E., & Grange, D. L. (2016). Does sex matter in the clinical presentation of eating disorders in youth? Journal of Adolescent Health, 58(4), 410–416. [CrossRef]
- King, K. A., Vidourek, R., & Schwiebert, M. (2009). Disordered eating and job stress among nurses. Journal of Nursing Management, 17(7), 861–869. [CrossRef]
- Kjeldbjerg, M. L., Clausen, L., & Højgaard, D. R. M. A. (2021). Factor analysis of the Eating Disorder Examination in a sample of female adolescents and adults with eating disorders. International Journal of Eating Disorders, 54(5), 879–886. [CrossRef]
- Kosmadopoulos, A., Kervezee, L., Boudreau, P., Gonzales-Aste, F., Vujovic, N., Scheer, F. A. J. L., & Boivin, D. B. (2020). Effects of shift work on the eating behavior of police officers on patrol. Nutrients, 12(4), 999. [CrossRef]
- Krug, I., Liu, S., Portingale, J., Croce, S., Dar, B., Obleada, K., Satheesh, V., Wong, M., & Fuller-Tyszkiewicz, M. (2025). A meta-analysis of mortality rates in eating disorders: An update of the literature from 2010 to 2024. Clinical Psychology Review, 116, 102547. [CrossRef]
- Lavender, J. M., Brown, T. A., & Murray, S. B. (2017). Men, muscles, and eating disorders: An overview of traditional and muscularity-oriented disordered eating. Current Psychiatry Reports, 19(6), 32. [CrossRef]
- Lent, M. R., Atwood, M., Bennett, W. L., Woolf, T. B., Martin, L., Zhao, D., Goheer, A. A., Song, S., McTigue, K. M., Lehmann, H. P., Holzhauer, K., & Coughlin, J. W. (2022). Night eating, weight, and health behaviors in adults participating in the Daily24 study. Eating Behaviors, 45, 101605. [CrossRef]
- Lichtenstein, M. B., Haastrup, L., Johansen, K. K., Bindzus, J. B., Larsen, P. V., Støving, R. K., Clausen, L., & Linnet, J. (2021). Validation of the Eating Disorder Examination-Questionnaire in Danish eating disorder patients and athletes. Journal of Clinical Medicine, 10(17), 3976. [CrossRef]
- Longman, R. S., Cota, A. A., Holden, R. R., & Fekken, G. C. (1989). A regression equation for the parallel analysis criterion in principal components analysis: Mean and 95th percentile eigenvalues. Multivariate Behavioral Research, 24(1), 59–69. [CrossRef]
- Lorini, C., Santomauro, F., Grazzini, M., Mantwill, S., Vettori, V., Lastrucci, V., Bechini, A., Boccalini, S., Bussotti, A., & Bonaccorsi, G. (2017). Health literacy in Italy: A cross-sectional study protocol to assess the health literacy level in a population-based sample, and to validate health literacy measures in the Italian language. BMJ Open, 7(11), e017812. [CrossRef]
- Lukoševičiūtė, J., Argustaitė-Zailskienė, G., & Šmigelskas, K. (2022). Measuring happiness in adolescent samples: A systematic review. Children, 9(2), 227. [CrossRef]
- Machado, P. P., Grilo, C. M., Rodrigues, T. F., Vaz, A., & Crosby, R. D. (2020). Eating Disorder Examination – Questionnaire short forms: A comparison. International Journal of Eating Disorders, 53(6), 937–944. [CrossRef]
- Magnavita, N. (2007a). Anxiety and depression at work. The A/D Goldberg Questionnaire. Giornale Italiano di Medicina del Lavoro ed Ergonomia, 29(3), 670–671. https://www.researchgate.net/publication/5442596_Anxiety_and_depression_at_work_The_AD_Goldberg_Questionnaire.
- Magnavita, N. (2007b). Two tools for health surveillance of job stress: The Karasek Job Content Questionnaire and the Siegrist Effort Reward Imbalance Questionnaire. Giornale Italiano di Medicina del Lavoro ed Ergonomia, 29(3 Suppl), 667–670. https://www.researchgate.net/publication/5442595_Two_tools_for_health_surveillance_of_job_stress_The_Karasek_Job_Content_Questionnaire_and_the_Siegrist_Effort_Reward_Imbalance_Questionnaire.
- Magnavita, N. (2023). Workplace health promotion embedded in medical surveillance: The Italian way to total worker health program. International Journal of Environmental Research and Public Health, 20(4), 3659. [CrossRef]
- Magnavita, N. (2025). Eating disorders in the workplace [Dataset]. Zenodo. [CrossRef]
- Magnavita, N., Garbarino, S., & Siegrist, J. (2012). The use of parsimonious questionnaires in occupational health surveillance: Psychometric properties of the short Italian version of the Effort/Reward Imbalance Questionnaire. The Scientific World Journal, 2012, 1–7. [CrossRef]
- Magnavita, N., & Isolani, L. (2025). Violence in healthcare workers is associated with disordered eating. International Journal of Environmental Research and Public Health, 22(8), 1221. [CrossRef]
- Malta, G., Plescia, F., & Cannizzaro, E. (2025). Exploring the impact of obesity and insomnia on work productivity: Insights for occupational health and sustainability in the workplace. Sustainability, 17(2), 424. [CrossRef]
- Marsh, H. W., Hau, K.-T., & Grayson, D. (2005). Goodness of fit evaluation in structural equation modeling. In J. Maydeu-Olivares & A. McArdle (A c. Di), Contemporary psychometrics. A festschrift for roderick P. McDonald (pp. 275–340). Lawrence Erlbaum Associates.
- Marsh, H. W., Hau, K.-T., & Wen, Z. (2004). In search of golden rules: Comment on hypothesis-testing approaches to setting cutoff values for fit indexes and dangers in overgeneralizing Hu and Bentler’s (1999) findings. Structural Equation Modeling, 11(3), 320–341. [CrossRef]
- Mason, T. B., Engwall, A., Mead, M. P., & Irish, L. A. (2019). Sleep and eating disorders among adults enrolled in a commercial weight loss program: Associations with self-report and objective sleep measures. Eating and Weight Disorders, 24(2), 307–312. [CrossRef]
- McDonald, R. P. (1999). Test theory: A unified treatment. Lawrence Erlbaum.
- McNeish, D. (2018). Thanks coefficient alpha, we’ll take it from here. Psychological Methods, 23(3), 412–433. [CrossRef]
- Meade, A. W., & Wright, N. A. (2012). Solving the measurement invariance anchor item problem in item response theory. Journal of Applied Psychology, 97(5), 1016–1031. [CrossRef]
- Medisauskaite, A., & Kamau, C. (2019). Does occupational distress raise the risk of alcohol use, binge-eating, ill health and sleep problems among medical doctors? A UK cross-sectional study. BMJ Open, 9(5), e027362. [CrossRef]
- Meléndez-Fernández, O. H., Liu, J. A., & Nelson, R. J. (2023). Circadian rhythms disrupted by light at night and mistimed food intake alter hormonal rhythms and metabolism. International Journal of Molecular Sciences, 24(4), 3392. [CrossRef]
- Mendoza, J. (2019). Food intake and addictive-like eating behaviors: Time to think about the circadian clock(s). Neuroscience & Biobehavioral Reviews, 106, 122–132. [CrossRef]
- Milano, W., Milano, L., & Capasso, A. (2020). Eating disorders in athletes: From risk management to therapy. Endocrine, Metabolic & Immune Disorders - Drug Targets, 20(1), 2–14. [CrossRef]
- Mitchell, K. S., Scioli, E. R., Galovski, T., Belfer, P. L., & Cooper, Z. (2021). Posttraumatic stress disorder and eating disorders: Maintaining mechanisms and treatment targets. Eating Disorders, 29(3), 292–306. [CrossRef]
- Mousavi Asl, E., Mahaki, B., Khanjani, S., & Mohammadian, Y. (2021). Assessment of eating disorder psychopathology: The psychometric properties of the Persian version of the Eating Disorder Examination Questionnaire Short Form. Journal of Research in Medical Sciences, 26(1), 71. [CrossRef]
- Munn-Chernoff, M. A., Johnson, E. C., Chou, Y., Coleman, J. R. I., Thornton, L. M., Walters, R. K., Yilmaz, Z., Baker, J. H., Hübel, C., Gordon, S., Medland, S. E., Watson, H. J., Gaspar, H. A., Bryois, J., Hinney, A., Leppä, V. M., Mattheisen, M., Ripke, S., Yao, S., … Agrawal, A. (2021). Shared genetic risk between eating disorder- and substance-use-related phenotypes: Evidence from genome-wide association studies. Addiction Biology, 26(1), e12880. [CrossRef]
- Murray, S. B., Friedlich, C. E., & Kesheshian, T. (2025). The impact of incorporating an eating disorder screening tool and an eating disorder diagnostic workshop in outpatient general psychiatry settings in publicly insured populations: A case series. Eating Disorders, Epub ahead of print. [CrossRef]
- Nagata, J. M., Thurston, I. B., Karazsia, B. T., Woolridge, D., Buckelew, S. M., Murray, S. B., & Calzo, J. P. (2021). Self-reported eating disorders and sleep disturbances in young adults: A prospective cohort study. Eating and Weight Disorders, 26(2), 695–702. [CrossRef]
- National Institute for Mental Health in England. (2008). Mental health compendium. National Institute for Mental Health in England.
- Navruz-Varlı, S., & Mortaş, H. (2024). Shift work, shifted diets: An observational follow-up study on diet quality and sustainability among healthcare workers on night shifts. Nutrients, 16(15), 2404. [CrossRef]
- Neglia, A. (2021). Nutrition, eating disorders, and behavior in athletes. Psychiatric Clinics of North America, 44(3), 431–441. [CrossRef]
- Nelson, J. D., Cuellar, A. E., Cheskin, L. J., & Fischer, S. (2022). Eating disorders and posttraumatic stress disorder: A network analysis of the comorbidity. Behavior Therapy, 53(2), 310–322. [CrossRef]
- Olenik, H., & Hećimović, D. (2024). The influence of night work on the eating habits of workers. In A. Petelin (A c. Di), Zdravje delovno aktivnih in starejših odraslih / Health of Working-Age and Older Adults (pp. 87–95). Založba Univerze na Primorskem. [CrossRef]
- Orlando, M., & Thissen, D. (2003). Further investigation of the performance of S-X2: An item fit index for use with dichotomous item response theory models. Applied Psychological Measurement, 27(4), 289–298. [CrossRef]
- Prnjak, K., Mitchison, D., Griffiths, S., Mond, J., Gideon, N., Serpell, L., & Hay, P. (2020). Further development of the 12-item EDE-QS: Identifying a cut-off for screening purposes. BMC Psychiatry, 20(1), 146. [CrossRef]
- Qi, B., & Wu, Y. (2025). Operational police stress is associated with disordered eating in police officers. International Journal of Eating Disorders, 58(3), 531–541. [CrossRef]
- R Core Team. (2024). R: A language and environment for statistical computing. R version 4.4.2. R Foundation for Statistical Computing. http://www.r-project.org/.
- Rakusin, D., O’Brien, K., & Murphy, M. (2021). Case reports of new-onset eating disorders in older adult cancer survivors. Journal of Eating Disorders, 9(1), 166. [CrossRef]
- Rand-Giovannetti, D., Cicero, D. C., Mond, J., & Latner, J. D. (2017). Psychometric properties of the Eating Disorder Examination—Questionnaire (EDE-Q): A confirmatory factor analysis and assessment of measurement invariance by sex. Assessment, 27(1), 164–177. [CrossRef]
- Reckase, M. D. (2009). Multidimensional item response theory. Springer New York. [CrossRef]
- Reise, S. P., Cook, K. F., & Moore, T. M. (2015). Evaluating the impact of multidimensionality on unidimensional item response theory model parameters. In S. P. Reise & D. A. Revicki (A c. Di), Handbook of item response theory modeling. Applications to typical performance assessment (pp. 13–40). Routledge.
- Revelle, W. (2024). psych: Procedures for psychological, psychometric, and personality research [Manual]. Northwestern University. https://CRAN.R-project.org/package=psych.
- Rienecke, R. D., Johnson, C., Le Grange, D., Manwaring, J., Mehler, P. S., Duffy, A., McClanahan, S., & Blalock, D. V. (2022). Adverse childhood experiences among adults with eating disorders: Comparison to a nationally representative sample and identification of trauma profiles. Journal of Eating Disorders, 10(1), 72. [CrossRef]
- Rijkers, C., Schoorl, M., Van Hoeken, D., & Hoek, H. W. (2019). Eating disorders and posttraumatic stress disorder. Current Opinion in Psychiatry, 32(6), 510–517. [CrossRef]
- Rodriguez, A., Reise, S. P., & Haviland, M. G. (2016a). Applying bifactor statistical indices in the evaluation of psychological measures. Journal of Personality Assessment, 98(3), 223–237. [CrossRef]
- Rodriguez, A., Reise, S. P., & Haviland, M. G. (2016b). Evaluating bifactor models: Calculating and interpreting statistical indices. Psychological Methods, 21(2), 137–150. [CrossRef]
- Romo-Nava, F., Blom, T. J., Guerdjikova, A., Winham, S. J., Cuellar-Barboza, A. B., Nunez, N. A., Singh, B., Biernacka, J. M., Frye, M. A., & McElroy, S. L. (2020). Evening chronotype, disordered eating behavior, and poor dietary habits in bipolar disorder. Acta Psychiatrica Scandinavica, 142(1), 58–65. [CrossRef]
- Romo-Nava, F., Guerdjikova, A. I., Mori, N. N., Scheer, F. A. J. L., Burgess, H. J., McNamara, R. K., Welge, J. A., Grilo, C. M., & McElroy, S. L. (2022). A matter of time: A systematic scoping review on a potential role of the circadian system in binge eating behavior. Frontiers in Nutrition, 9, 978412. [CrossRef]
- Sachs, K. V., Harnke, B., Mehler, P. S., & Krantz, M. J. (2016). Cardiovascular complications of anorexia nervosa: A systematic review. International Journal of Eating Disorders, 49(3), 238–248. [CrossRef]
- Samejima, F. (1969). Estimation of latent ability using a response pattern of graded scores. Psychometrika, 34(1), 1–97. [CrossRef]
- Samejima, F. (1997). Graded response model. In W. J. van der Linden & R. K. Hambleton (A c. Di), Handbook of modern item response theory (pp. 85–100). Springer. [CrossRef]
- Samuels, K. L., Maine, M. M., & Tantillo, M. (2019). Disordered eating, eating disorders, and body image in midlife and older women. Current Psychiatry Reports, 21(8), 70. [CrossRef]
- Sass, D. A., & Schmitt, T. A. (2010). A comparative investigation of rotation criteria within exploratory factor analysis. Multivariate Behavioral Research, 45(1), 73–103. [CrossRef]
- Schaefer, L. M., Anderson, L. M., Simone, M., O’Connor, S. M., Zickgraf, H., Anderson, D. A., Rodgers, R. F., & Thompson, J. K. (2019). Gender-based differential item functioning in measures of eating pathology. International Journal of Eating Disorders, 52(9), 1047–1051. [CrossRef]
- Schaefer, L. M., Smith, K. E., Leonard, R. C., Wetterneck, C. T., Smith, B., Farrell, N. R., Riemann, B. C., Frederick, D. A., Schaumberg, K., Klump, K. L., Anderson, D. A., & Thompson, J. K. (2018). Identifying a male clinical cutoff on the Eating Disorder Examination-Questionnaire (EDE-Q). International Journal of Eating Disorders, 51(12), 1357–1360. [CrossRef]
- Schwarz, G. E. (1978). Estimating the dimension of a model. Annals of Statistics, 6(2), 461–464. [CrossRef]
- Sclove, S. L. (1987). Application of model-selection criteria to some problems in multivariate analysis. Psychometrika, 52(3), 333–343. [CrossRef]
- Siegrist, J. (1996). Adverse health effects of high-effort/low-reward conditions. Journal of Occupational Health Psychology, 1(1), 27–41. [CrossRef]
- Silén, Y., & Keski-Rahkonen, A. (2022). Worldwide prevalence of DSM-5 eating disorders among young people. Current Opinion in Psychiatry, 35(6), 362–371. [CrossRef]
- Slocum-Gori, S. L., & Zumbo, B. D. (2011). Assessing the unidimensionality of psychological scales: Using multiple criteria from factor analysis. Social Indicators Research, 102(3), 443–461. [CrossRef]
- Smink, F. R. E., Van Hoeken, D., & Hoek, H. W. (2012). Epidemiology of eating disorders: Incidence, prevalence and mortality rates. Current Psychiatry Reports, 14(4), 406–414. [CrossRef]
- Solmi, M., Monaco, F., Højlund, M., Monteleone, A. M., Trott, M., Firth, J., Carfagno, M., Eaton, M., De Toffol, M., Vergine, M., Meneguzzo, P., Collantoni, E., Gallicchio, D., Stubbs, B., Girardi, A., Busetto, P., Favaro, A., Carvalho, A. F., Steinhausen, H., & Correll, C. U. (2024). Outcomes in people with eating disorders: A transdiagnostic and disorder-specific systematic review, meta-analysis and multivariable meta-regression analysis. World Psychiatry, 23(1), 124–138. [CrossRef]
- Solmi, M., Radua, J., Stubbs, B., Ricca, V., Moretti, D., Busatta, D., Carvalho, A. F., Dragioti, E., Favaro, A., Monteleone, A. M., Shin, J. I., Fusar-Poli, P., & Castellini, G. (2021). Risk factors for eating disorders: An umbrella review of published meta-analyses. Brazilian Journal of Psychiatry, 43(3), 314–323. [CrossRef]
- Sørensen, K., Van Den Broucke, S., Pelikan, J. M., Fullam, J., Doyle, G., Slonska, Z., Kondilis, B., Stoffels, V., Osborne, R. H., & Brand, H. (2013). Measuring health literacy in populations: Illuminating the design and development process of the European Health Literacy Survey Questionnaire (HLS-EU-Q). BMC Public Health, 13(1), 948. [CrossRef]
- Striegel-Moore, R. H., & Bulik, C. M. (2007). Risk factors for eating disorders. American Psychologist, 62(3), 181–198. [CrossRef]
- Sum, K., Cheshire, A., Ridge, D., Sengupta, D., & Deb, S. (2024). Doctors’ and nurses’ eating practices during shift work: Findings from a qualitative study. Proceedings of the Nutrition Society, 83(OCE2), E204. [CrossRef]
- Taba, J., Suzuki, M., Nascimento, F., Iuamoto, L., Hsing, W., Pipek, L., Carneiro-D’Albuquerque, L., Meyer, A., & Andraus, W. (2021). The development of feeding and s after bariatric surgery: A systematic review and meta-analysis. Nutrients, 13(7), 2396. [CrossRef]
- Tan, E. J., Raut, T., Le, L. K.-D., Hay, P., Ananthapavan, J., Lee, Y. Y., & Mihalopoulos, C. (2023). The association between eating disorders and mental health: An umbrella review. Journal of Eating Disorders, 11(1), 51. [CrossRef]
- Thannickal, A., Brutocao, C., Alsawas, M., Morrow, A., Zaiem, F., Murad, M. H., & Javed Chattha, A. (2020). Eating, sleeping and sexual function disorders in women with polycystic ovary syndrome (PCOS): A systematic review and meta-analysis. Clinical Endocrinology, 92(4), 338–349. [CrossRef]
- Thielemann, D., Richter, F., Strauss, B., Braehler, E., Altmann, U., & Berger, U. (2019). Differential item functioning in brief instruments of disordered eating. European Journal of Psychological Assessment, 35(6), 823–833. [CrossRef]
- Thissen, D., Steinberg, L., & Wainer, H. (1988). Use of item response theory in the study of group differences in trace lines. In H. Wainer & H. I. Braun (A c. Di), Test validity (pp. 147–172). Erlbaum.
- Thissen, D., Steinberg, L., & Wainer, H. (1993). Detection of differential item functioning using the parameters of item response models. In P. W. Holland & H. Wainer (A c. Di), Differential item functioning (pp. 67–113). Erlbaum.
- Thomeczek, M. L., Negi, S., Chen, Y., & Forbush, K. T. (2023). The impact of trauma-related symptoms and neuroticism on compensatory behaviors in a sample of adults with eating disorders. Eating Behaviors, 51, 101819. [CrossRef]
- TODAY Study Group, Marcus, M. D., Gandica, R., El Ghormli, L., Higgins, J., Tesfaldet, B., Koren, D., Macleish, S., Escaname, E. N., & Weinstock, R. S. (2022). Longitudinal association of depressive symptoms, binge eating, and quality of life with cardiovascular risk factors in young adults with youth-onset type 2 diabetes: The TODAY2 study. Diabetes Care, 45(5), 1073–1081. [CrossRef]
- Tomba, E., Offidani, E., Tecuta, L., Schumann, R., & Ballardini, D. (2014). Psychological well-being in out-patients with eating disorders: A controlled study. International Journal of Eating Disorders, 47(3), 252–258. [CrossRef]
- Touma, D. A., Quinn, M. E., Freeman, V. E., & Meyer, E. G. (2023). Eating disorders in U.S. active duty military members and veterans: A systematic review. Military Medicine, 188(7–8), 1637–1648. [CrossRef]
- Treasure, J., Duarte, T. A., & Schmidt, U. (2020). Eating disorders. The Lancet, 395(10227), 899–911. [CrossRef]
- Ubhi, S., Bani-Fatemi, A., Howe, A., Safi, F., Aniserowicz, A., & Nowrouzi-Kia, B. (2025). Impact of eating disorders on paid or unpaid work participation and performance: A systematic review. Eating and Weight Disorders, 30(1), 63. [CrossRef]
- Varela, C., Hoyo, Á., Tapia-Sanz, M. E., Jiménez-González, A. I., Moral, B. J., Rodríguez-Fernández, P., Vargas-Hernández, Y., & Ruiz-Sánchez, L. J. (2023). An update on the underlying risk factors of eating disorders onset during adolescence: A systematic review. Frontiers in Psychology, 14, 1221679. [CrossRef]
- Velicer, W. (1976). Determining the number of components from the matrix of partial correlations. Psychometrika, 41(3), 321–327. [CrossRef]
- Wade, T. D., Wilksch, S. M., & Lee, C. (2012). A longitudinal investigation of the impact of disordered eating on young women’s quality of life. Health Psychology, 31(3), 352–359. [CrossRef]
- Ward, Z. J., Rodriguez, P., Wright, D. R., Austin, S. B., & Long, M. W. (2019). Estimation of eating disorders prevalence by age and associations with mortality in a simulated nationally representative US cohort. JAMA Network Open, 2(10), e1912925. [CrossRef]
- Wilcox, H., Paz, V., Saxena, R., Winkelman, J. W., Garfield, V., & Dashti, H. S. (2024). The role of circadian rhythms and sleep in anorexia nervosa. JAMA Network Open, 7(1), e2350358. [CrossRef]
- World Health Organization. (2019). International Classification of Diseases, Eleventh Revision (ICD-11). World Health Organization.
- Yu, Z., & Muehleman, V. (2023). Eating disorders and metabolic diseases. International Journal of Environmental Research and Public Health, 20(3), 2446. [CrossRef]
- Zanella, E., & Lee, E. (2022). Integrative review on psychological and social risk and prevention factors of eating disorders including anorexia nervosa and bulimia nervosa: Seven major theories. Heliyon, 8(11), e11422. [CrossRef]



| Model | M2 | df | p | CFI | TLI | RSMEA [95% CI} | AIC | BIC | SABIC | LL | Dχ2 | Ddf | Dp |
| Total sample (n = 1912) | |||||||||||||
| GRM (single-factor) | 2780.56 | 30 | <0.001 | 0.968 | 0.955 | 0.066 [0.059, 0.073] | 258420.75 | 261090.43 | 259560.94 | –128730.38 | |||
| Two-factor | 750.85 | 19 | <0.001 | 0.993 | 0.984 | 0.040 [0.030, 0.049] | 255010.58 | 258290.38 | 256410.94 | –126910.79 | 3630.17° | 11 | <0.001 |
| Reduced | 5780.89 | 41 | <0.001 | 0.930 | 0.928 | 0.083 [0.077, 0.089] | 261800.88 | 263860.45 | 262680.90 | –130530.44 | 3600.13° | 11 | <0.001 |
| Women (n = 1170) | |||||||||||||
| GRM (single-factor) | 2130.61 | 30 | <0.001 | 0.959 | 0.942 | 0.072 [0.063, 0.082] | 165470.77 | 167900.88 | 166380.41 | –82250.89 | |||
| Two-factor | 510.68 | 19 | <0.001 | 0.993 | 0.984 | 0.038 [0.026, 0.051] | 163430.49 | 166420.31 | 164540.91 | –81120.75 | 2260.28° | 11 | <0.001 |
| Reduced | 4060.24 | 41 | <0.001 | 0.918 | 0.916 | 0.087 [0.080, 0.095] | 166990.97 | 168870.37 | 167690.85 | –83120.99 | 1740.20° | 11 | <0.001 |
| Men (n = 742) | |||||||||||||
| GRM (single-factor) | 1100.57 | 30 | <0.001 | 0.976 | 0.966 | 0.060 [0.048, 0.072] | 92210.70 | 94420.95 | 92900.53 | –45620.85 | |||
| Two-factor | 480.65 | 19 | <0.001 | 0.991 | 0.980 | 0.046 [0.030, 0.062] | 91020.80 | 93740.75 | 91870.41 | –44920.40 | 1400.90° | 11 | <0.001 |
| Reduced | 2530.65 | 41 | <0.001 | 0.937 | 0.935 | 0.084 [0.074, 0.094] | 93880.63 | 95590.17 | 94410.69 | –46570.31 | 1880.93° | 11 | <0.001 |
| Invariance models | |||||||||||||
| Model 1 - configural | 3240.13 | 60 | <0.001 | 0.975 | 0.965 | 0.048 [0.043, 0.053] | 257690.47 | 263020.83 | 259970.84 | –127880.73 | |||
| Model 2 - Weak/metric | 4400.36 | 72 | <0.001 | 0.965 | 0.959 | 0.052 [0.047, 0.056] | 257600.16 | 262260.85 | 259590.98 | –127960.08 | 140.69 | 12 | 0.259 |
| Model 3 - Strong/scalar | 5980.04 | 106 | <0.001 | 0.953 | 0.963 | 0.049 [0.045, 0.053] | 258020.93 | 260800.72 | 259210.87 | –128510.46 | 1100.77 | 34 | <0.001 |
| Model 3p- Partial strong/scalar | 4740.97 | 78 | <0.001 | 0.962 | 0.959 | 0.052 [0.047, 0.056] | 257520.96 | 261860.32 | 259380.52 | –127980.48 | 40.81^ | 6 | 0.569 |
| Variable | Women | Men | Z | p | adj-p | r |
| Age | 0.104*** | 0.018 | −1.822 | 0.069 | 0.393 | –0.086 [–0.130, –0.041] |
| Age categoricala | 0.122*** | 0.060 | –1.324 | 0.185 | 0.393 | –0.062 [–0.107, –0.017] |
| BMI | 0.387*** | 0.328*** | –1.453 | 0.146 | 0.393 | –0.068 [–0.113, –0.024] |
| BMI categoricala | 0.363*** | 0.285*** | –1.838 | 0.066 | 0.393 | –0.086 [–0.131, –0.042] |
| Depression | 0.377*** | 0.351*** | –0.634 | 0.526 | 0.745 | –0.030 [–0.075, 0.015] |
| Anxiety | 0.380*** | 0.318*** | –1.496 | 0.135 | 0.393 | –0.070 [–0.115, –0.026] |
| Happiness | –0.290*** | –0.259*** | 0.732 | 0.464 | 0.717 | 0.034 [–0.010, 0.079] |
| Effort | 0.155*** | 0.161*** | 0.135 | 0.893 | 0.955 | 0.006 [–0.039, 0.051] |
| Reward | –0.203*** | –0.189*** | 0.307 | 0.759 | 0.922 | 0.014 [–0.030, 0.059] |
| ERI | 0.215*** | 0.209*** | –0.128 | 0.899 | 0.955 | –0.006 [–0.051, 0.039] |
| PSQI | 0.349*** | 0.316*** | –0.789 | 0.430 | 0.717 | –0.037 [–0.082, 0.008] |
| HLS-SF12 | –0.155*** | –0.211*** | –1.253 | 0.210 | 0.397 | –0.059 [–0.103, –0.014] |
| DHDLS | –0.038 | –0.120** | –1.770 | 0.077 | 0.393 | –0.083 [–0.128, –0.039] |
| Night work | –0.008 | –0.076* | –1.463 | 0.144 | 0.393 | –0.069 [–0.113, –0.024] |
| Violence | 0.123*** | 0.143*** | 0.441 | 0.660 | 0.863 | 0.021 [–0.024, 0.065] |
| Smokinga | 0.018 | 0.019 | 0.034 | 0.973 | 0.973 | 0.002 [–0.043, 0.046] |
| Drinkingb | 0.048 | –0.016 | –1.367 | 0.172 | 0.393 | –0.064 [–0.109, –0.020] |
Disclaimer/Publisher’s Note: The statements, opinions and data contained in all publications are solely those of the individual author(s) and contributor(s) and not of MDPI and/or the editor(s). MDPI and/or the editor(s) disclaim responsibility for any injury to people or property resulting from any ideas, methods, instructions or products referred to in the content. |
© 2026 by the authors. Licensee MDPI, Basel, Switzerland. This article is an open access article distributed under the terms and conditions of the Creative Commons Attribution (CC BY) license.
