Submitted:
29 January 2026
Posted:
31 January 2026
You are already at the latest version
Abstract
Keywords:
1. Introduction
“As valence nucleons are added, configuration mixing is generated by the residual interactions, and collective behavior emerges. Typically, as we discuss below, this situation leads to . ...... We will see shortly that this corresponds to a model of a nucleus that can undergo small amplitude quadrupole (angular momentum 2) oscillations about a spherical equilibrium shape. The line with will be seen to correspond to nonspherical (deformed) nuclei that rotate according to the eigenvalue expression for a quantum mechanical symmetric top.”[19] ( is the energy ratio of the state to the state)
“The emerging picture of nuclear shapes is that quadrupole deformation is fundamental to achieving a unified view of nuclear structure. While it has now long been recognized that many nuclei are deformed, the reference frame for nuclear structure discussion has been spherical shapes. We would argue that a shift in perspective is needed: sphericity is a special case of deformation. Thus, we argue that the reference frame must be fundamentally one of a deformed many-body system.”[20]
“Rather than proceeding from spherical, closed-shell nuclei through a region of spherical vibrators before encountering deformation, deforation and shape coexistence may be confronted immediately, even at the closed shell.”[13]
2. Theoretical Foundations
2.1. The IBM, Shapes and Shape Evolutions

2.2. Rigid Triaxility and the SU(3) Symmetry Mapping
2.3. The SU3-IBM
3. Experimental Discoveries of the Spherical Nucleus Puzzle
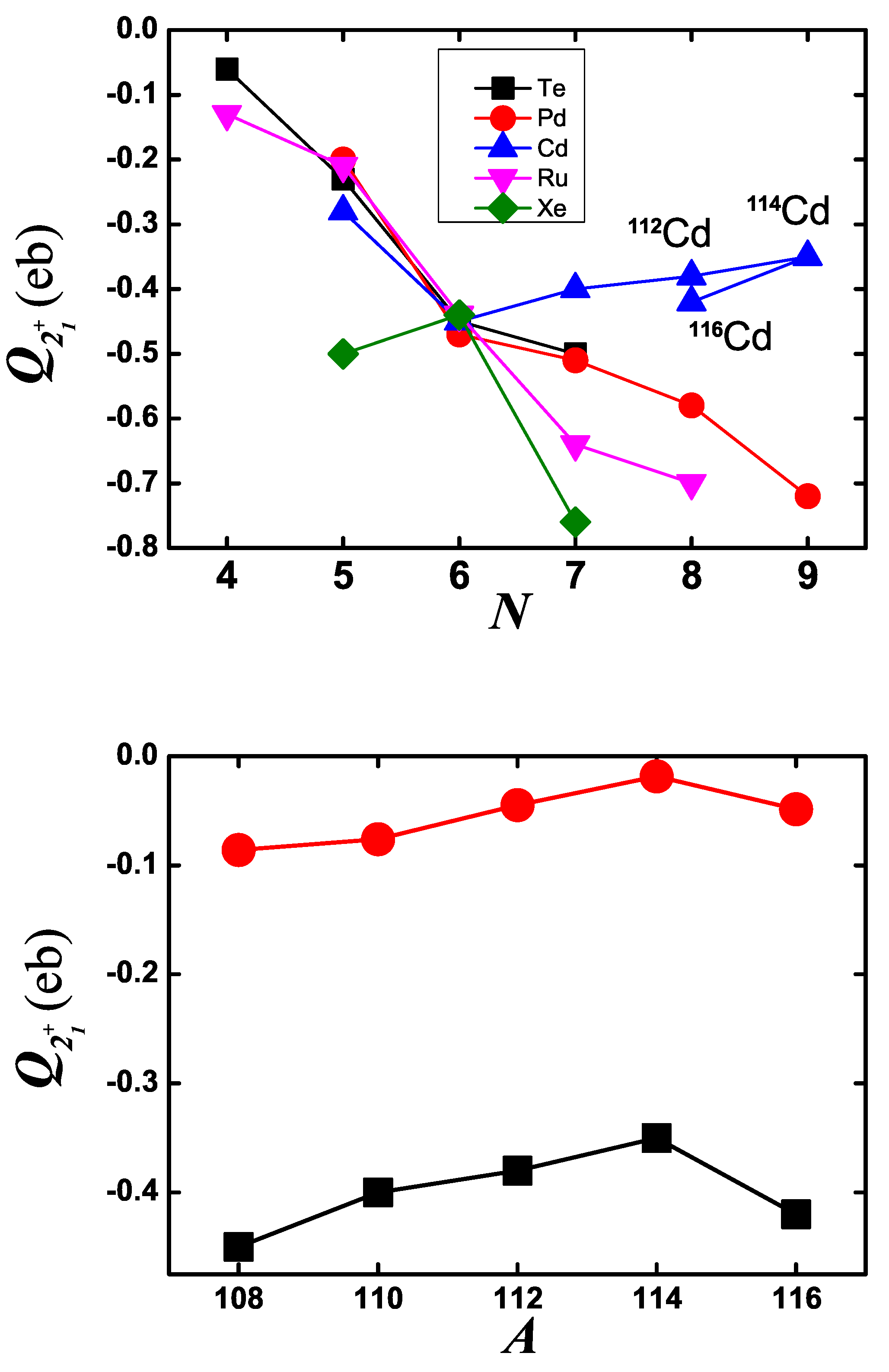
3.1. Cd Nuclei
3.2. Other Nuclei
4. Theoretical Discoveries
4.1. New Spherical-like -Soft Spectra
4.2. 106Pd

| Exp. 1a | Exp. 2b | Exp. 3c | Theo. | IBM-2d | |
|---|---|---|---|---|---|
| 44.3(15) | 42(4) | 44.3(15) | 44.3 | 40.0 | |
| 44(4) | 39(4) | 49.9 | 46.0 | ||
| 1.17(10) | 0.31 | 0.52 | |||
| 35(8) | 35(8) | 35.0 | 44.7 | ||
| 84.6 | 27.6 | ||||
| 76(11) | 71(7) | 76(11) | 65.4 | 64.5 | |
| 6.2 | 0.98 | ||||
| 0.50 | 0.92 | ||||
| 50.2 | 30.1 | ||||
| 7.21 | 9.38 | ||||
| 0.14(2) | 0.03 | 0.23 | |||
| 0.25 | 0.13 | ||||
| 5.57 | 2.80 | ||||
| 39(4) | 37.8 | 12.3 | |||
| 22.7 | 4.70 | ||||
| 2.87 | 0.001 | ||||
| 35(6) | 28.0 | 35.2 | |||
| 21(3) | 17.4 | 25.9 | |||
| 31.8 | 4.61 | ||||
| 88(9) | 80.2 | 75.7 | |||
| 0.00 | 0.00 | ||||
| 0.01 | 0.01 | ||||
| 0.04 | 7.63 | ||||
| 0.14 | 0.00 | ||||
| 16.9 | 4.67 | ||||
| 44.5 | 12.9 | ||||
| 0.57 | 0.39 | ||||
| 0.04 | 0.00 | ||||
| 60.5 | 23.2 | ||||
| 0.07 | 0.39 | ||||
| 5.61 | |||||
| 1.82 | |||||
| 3.32 | |||||
| 5.14 | |||||
| 0.001 | |||||
| 0.00 | |||||
| 0.06 | |||||
| 0.04 | |||||
| 12.5 | |||||
| 105(23) | 57.2 | ||||
| 11.2 | 15.5 |
| Exp.1a | Exp.2b | Theo. | IBM-2c | |
|---|---|---|---|---|
| -0.51(7) | -0.55(5) | -0.47 | -0.42 | |
| - | -0.97 | -0.60 | ||
| - | -1.43 | -0.70 | ||
| 0.31 | 0.28 | |||
| - | -0.13 | -0.03 | ||
| - | -0.61 | -0.23 | ||
| 0.175 | 0.232 |
| 108Cd | 110Cd | 112Cd | 114Cd | 108Pd | 106Pd | 102Ru | |
|---|---|---|---|---|---|---|---|
| 1913 | 1731 | 1433 | 1306 | 1053 | 1134 | 944 | |
| possible | (3800) | 3427 | 2834 | ||||
| possible | (3489) | 2883 | 2637 | (2141) | 2278 | 1968 | |
| 2565 | 2927 | 2666 | 2084 | 2366 | 2219 | ||
| 3683 | 3275 | 2881 | (2669) | 2548 | 2963 | 2706 |
4.3. Shape Phase Transition from the New Spherical-like -Soft Phase to the Prolate Shape
5. Conclusion
Funding
Data Availability Statement
Conflicts of Interest
Abbreviations
| IBM | the interacting boson model |
| SU3-IBM | the interacting boson model with SU(3) higher-order interactions |
References
- Verney, D. History of the concept of nuclear shape. Eur. Phys. J. A 2025, 61, 82. [Google Scholar] [CrossRef]
- Mayer, M.G. On closed shells in nuclei. ii. Phys. Rev. 1949, 75, 1969–1970. [Google Scholar] [CrossRef]
- Haxel, O.; Jensen, J.H.D.; Suess, H.E. On the magic numbers in nuclear structure. Phys. Rev. 1949, 75, 1766–1766. [Google Scholar] [CrossRef]
- Bohr, A. Rotational motion in nuclei. Rev. Mod. Phys. 1976, 48, 365–374. [Google Scholar] [CrossRef]
- Mottelson, B. Elementary modes of excitation in the nucleus. Rev. Mod. Phys. 1976, 48, 375–384. [Google Scholar] [CrossRef]
- Rainwater, J. Background for the spheroidal nuclear model proposal. Rev. Mod. Phys. 1976, 48, 385–391. [Google Scholar] [CrossRef]
- Bohr, A.; Mottelson, B.R. Nuclear structure, Volume II: nuclear deformations; Addison-Wesley/W. A. Benjamin, Inc., United States, 1975. [Google Scholar]
- Garrett, P.E.; Green, K.L.; Wood, J.L. Breakdown of vibrational motion in the isotopes 110–116Cd. Phys. Rev. C 2008, 78, 044307. [Google Scholar] [CrossRef]
- Garrett, P.E; Wood, J.L. On the robustness of surface vibrational modes: case studies in the Cd region. J. Phys. G: Nucl. Part. Phys. 2010, 37, 064028. [Google Scholar] [CrossRef]
- Garrett, P.E.; Bangay, J.; Diaz Varela, A.; Ball, G.C.; Cross, D.S.; Demand, G.A.; Finlay, P.; Garnsworthy, A.B.; Green, K.L.; Hackman, G.; Hannant, C.D.; Jigmeddorj, B.; Jolie, J.; Kulp, W.D.; Leach, K.G.; Orce, J.N.; Phillips, A.A.; Radich, A.J.; Rand, E.T.; Schumaker, M.A.; Svensson, C.E.; Sumithrarachchi, C.; Triambak, S.; Warr, N.; Wong, J.; Wood, J.L.; Yates, S.W. Detailed spectroscopy of 110Cd: Evidence for weak mixing and the emergence of γ-soft behavior. Phys. Rev. C 2012, 86, 044304. [Google Scholar] [CrossRef]
- Batchelder, J.C.; Brewer, N.T.; Goans, R.E.; Grzywacz, R.; Griffith, B.O.; Jost, C.; Korgul, A.; Liu, S.H.; Paulauskas, S.V.; Spejewski, E.H.; Stracener, D. W. Low-lying collective states in 120Cd populated by β decay of 120Ag: breakdown of the anharmonic vibrator model at the three-phonon level. Phys. Rev. C. 2012, 86, 064311. [Google Scholar] [CrossRef]
- Garrett, P.E.; Wood, J.L.; Yates, S.W. Critical insights into nuclear collectivity from complementary nuclear spectroscopic methods. Phys. Scr. 2018, 93, 063001. [Google Scholar] [CrossRef]
- Garrett, P.E.; Rodríguez, T.R.; Diaz Varela, A.; Green, K.L.; Bangay, J.; Finlay, A.; Austin, R.A.E.; Ball, G.C.; Bandyopadhyay, D.S.; Bildstein, V.; Colosimo, S.; Cross, D.S.; Demand, G.A.; Finlay, P.; Garnsworthy, A.B.; Grinyer, G.F.; Hackman, G.; Jigmeddorj, B.; Jolie, J.; Kulp, W.D.; Leach, K.G.; Morton, A.C.; Orce, J.N.; Pearson, C.J.; Phillips, A.A.; Radich, A.J.; Rand, E.T.; Schumaker, M.A.; Svensson, C.E.; Sumithrarachchi, C.; Triambak, S.; Warr, N.; Wong, J.; Wood, J.L.; Yates, S.W. Multiple shape coexistence in 110,112Cd. Phys. Rev. Lett. 2019, 123, 142502. [Google Scholar] [CrossRef]
- Garrett, P.E.; Rodríguez, T.R.; Diaz Varela, A.; Green, K.L.; Bangay, J.; Finlay, A.; Austin, R.A.E.; Ball, G.C.; Bandyopadhyay, D.S.; Bildstein, V.; Colosimo, S.; Cross, D.S.; Demand, G.A.; Finlay, P.; Garnsworthy, A.B.; Grinyer, G.F.; Hackman, G.; Jigmeddorj, B.; Jolie, J.; Kulp, W.D.; Leach, K.G.; Morton, A.C.; Orce, J.N.; Pearson, C.J.; Phillips, A.A.; Radich, A.J.; Rand, E.T.; Schumaker, M.A.; Svensson, C.E.; Sumithrarachchi, C.; Triambak, S.; Warr, N.; Wong, J.; Wood, J.L.; Yates, S.W. Phys. Rev. C 2020, 101, 044302. [CrossRef]
- Wang, T. New γ-soft rotation in the interacting boson model with SU(3) higher-order interactions. Chin. Phys. C 2022, 46, 074101. [Google Scholar] [CrossRef]
- Wang, T.; Chen, X.; Zhang, Y. Spherical-like spectra for the description of the normal states of 108-120Cd in the SU3-IBM and the Q21+ anomaly. Chin. Phys. C 2025, 49, 014107. [Google Scholar] [CrossRef]
- Wang, T. Typical new spherical-like γ-soft spectra in 104,106,108Pd. Phys. Rev. C 2025, 112, 034301. [Google Scholar] [CrossRef]
- Zhao, D.H.; Wu, Y.X.; Gong, L.; Yin, Z.Y.; Kang, X.S.; Wang, T. Double shape quantum phase transitions in the SU3-IBM: new γ-soft phase and the shape phase transition from the new γ-soft phase to the prolate shape. arXiv: 2504.06571, accepted by Nucl. Sci. Tech.
- Cejnar, P.; Jolie, J.; Casten, R.F. Quantum phase transitions in the shapes of atomic nuclei. Rev. Mod. Phys. 2010, 82, 2155–2212. [Google Scholar] [CrossRef]
- Heyde, K.; Wood, J.L. Nuclear shapes: from earliest ideas to multiple shape coexisting structures. Phys. Scr. 2016, 91, 083008. [Google Scholar] [CrossRef]
- Bardeen, J.; Cooper, L.N.; Schrieffer, J.R. Theory of superconductivity. Phys. Rev. 1952, 108, 1175–1204. [Google Scholar] [CrossRef]
- Dean, D.J.; Hjorth-Jensen, M. Pairing in nuclear systems: from neutron stars to finite nuclei. Rev. Mod. Phys. 2003, 75, 607–656. [Google Scholar] [CrossRef]
- Strinati, G.C.; Pieri, P.; Röpke, G.; Schuck, P.; Urban, M. The BCS–BEC crossover: from ultra-cold Fermi gases to nuclear systems. Phys. Rep. 2018, 738, 1–76. [Google Scholar] [CrossRef]
- Hung, N.Q.; Dang, N.D; Moretto, L.G. Pairing in excited nuclei: a review. Rep. Prog. Phys. 2019, 82, 056301. [Google Scholar] [CrossRef] [PubMed]
- Chen, Q.J.; Wang, Z.Q.; Boyack, R.; Yang, S.L.; Levin, K. When superconductivity crosses over: from BCS to BEC. Rev. Mod. Phys. 2024, 96, 025002. [Google Scholar] [CrossRef]
- Arima, A.; Iachello, F. Collective nuclear states as representations of a SU(6) group. Phys. Rev. Lett. 1975, 35, 1069. [Google Scholar] [CrossRef]
- Iachello, F.; Arima, A. The Interacting Boson Model; Cambridge University Press: Cambridge, 1987. [Google Scholar]
- Wang, T.; Zhou, C.X.; Fortunato, L. The boson number hypothesis and the boson number odd-even effect in 196-204Hg. arXiv: 2412.14881v2.
- Demler, E.; Hanke, W.; Zhang, S.C. SO(5) theory of antiferromagnetism and superconductivity. Rev. Mod. Phys. 2004, 76, 909–974. [Google Scholar] [CrossRef]
- Lee, P.A.; Nagaosa, N.; Wen, X.G. Doping a Mott insulator: physics of high-temperature superconductivity. Rev. Mod. Phys. 2006, 78, 17–85. [Google Scholar] [CrossRef]
- Fradkin, E.; Kivelson, S.A.; Tranquada, J.M. Theory of intertwined orders in high temperature superconductors. Rev. Mod. Phys. 2015, 87, 457–482. [Google Scholar] [CrossRef]
- Fradkin, E. Intertwined orders and the physics of high temperature superconductors. Particles 2025, 8, 70. [Google Scholar] [CrossRef]
- Jolie, J.; Casten, R.F.; von Brentano, P.; Werner, V. Quantum phase transition for γ-soft nuclei. Phys. Rev. Lett. 2001, 87, 162501. [Google Scholar] [CrossRef]
- Warner, D. A triple point in nuclei. Nature 2002, 420, 614–615. [Google Scholar] [CrossRef]
- Casten, R.F. Shape phase transitions and critical-point phenomena in atomic nuclei. Nat. Phys. 2006, 2, 811–820. [Google Scholar] [CrossRef]
- Casten, R.F.; McCutchan, E.A. Quantum phase transitions and structural evolution in nuclei. J. Phys. G: Nucl. Part. Phys. 2007, 34, R285–R320. [Google Scholar] [CrossRef]
- Bonatsos, D.; McCutchan, E.A. Shape phase transitions in geometrical and algebraic nuclear collective models. Nucl. Phys. News 2009, 19, 13–17. [Google Scholar] [CrossRef]
- Casten, R.F. Quantum phase transitions and structural evolution in nuclei. Prog. Part. Nucl. Phys. 2009, 62, 183–209. [Google Scholar] [CrossRef]
- Cejnar, P.; Jolie, J. Quantum phase transitions in the interacting boson model. Prog. Part. Nucl. Phys. 2009, 62, 210–256. [Google Scholar] [CrossRef]
- Jolos, R.V.; Kolganova, E.A. Phase transitions in atomic nuclei. Phys.-Usp. 2021, 64, 325–343. [Google Scholar] [CrossRef]
- Fortunato, L. Quantum phase transitions in algebraic and collective models of nuclear structure. Prog. Part. Nucl. Phys. 2021, 121, 103891. [Google Scholar] [CrossRef]
- Cejnar, P.; Stránský, P.; Macek, M.; Kloc, M. Excited-state quantum phase transitions. J. Phys. A: Math. Theor. 2021, 54, 133001. [Google Scholar] [CrossRef]
- Bonatsos, D.; Martinou, A.; Peroulis, S.K.; Mertzimekis, T.J.; Minkov, N. Prolate-oblate shape transitions and O(6) symmetry in even–even nuclei: a theoretical overview. Phys. Scr. 2024, 99, 062003. [Google Scholar] [CrossRef]
- Cejnar, P.; Jolie, J. Quantum phase transitions studied within the interacting boson model. Phys. Rev. E 2000, 61, 6237–6247. [Google Scholar] [CrossRef]
- Cejnar, P.; Heinze, S.; Jolie, J. Ground-state shape phase transitions in nuclei: thermodynamic analogy and fnite-N effects. Phys. Rev. C 2003, 68, 034326. [Google Scholar] [CrossRef]
- Iachello, F.; Zamfir, N.V. Quantum phase transitions in mesoscopic systems. Phys. Rev. Lett. 2004, 92, 212501. [Google Scholar] [CrossRef]
- Pan, F.; Wang, T.; Huo, Y.S.; Draayer, J.P. Quantum phase transitions in the consistent-Q Hamiltonian of the interacting boson model. J. Phys. G: Nucl. Part. Phys. 2008, 35, 125105. [Google Scholar] [CrossRef]
- Iachello, F. Dynamic symmetries at the critical point. Phys. Rev. Lett. 2000, 85, 3580–3583. [Google Scholar] [CrossRef] [PubMed]
- Iachello, F. Analytic description of critical point nuclei in a spherical-axially deformed shape phase transition. Phys. Rev. Lett. 2001, 87, 052502. [Google Scholar] [CrossRef] [PubMed]
- Jolie, J.; Linnemann, A. Prolate-oblate phase transition in the Hf-Hg mass region. Phys. Rev. C 2003, 68, 031301(R). [Google Scholar] [CrossRef]
- Wang, T.; He, B.C.; Li, D.K.; Zhou, C.X. Prolate-oblate asymmetric shape phase transition in the interacting boson model with SU(3) higher-order interactions. Phys. Rev. C 2023, 78, 064322. [Google Scholar] [CrossRef]
- Wilets, L.; Jean, M. Surface oscillations in even-even nuclei. Phys. Rev. 1956, 102, 788–796. [Google Scholar] [CrossRef]
- Arima, A.; Iachello, F. New symmetry in the sd boson model of nuclei: the group O(6). Phys. Rev. Lett. 1978, 40, 385–387. [Google Scholar] [CrossRef]
- Cizewski, J.A.; Casten, R.F.; Smith, G.J.; Stelts, M.L.; Kane, W.R.; Börner, H.G.; Davidson, W.F. Evidence for a new symmetry in nuclei: the structure of 196Pt and the O(6) limit. Phys. Rev. Lett. 1978, 40, 167–170. [Google Scholar] [CrossRef]
- Davydov, A.S.; Filippov, G.F. Rotational states in even atomic nuclei. Nucl. Phys. 1958, 8, 237–249. [Google Scholar] [CrossRef]
- Davydov, A.S.; Rostovsky, V.S. Relative transition probabilities between rotational levels of non-axial nuclei. Nucl. Phys. 1959, 12, 58–68. [Google Scholar] [CrossRef]
- Toh, Y.; Chiara, C.J.; McCutchan, E.A.; Walters, W.B.; Janssens, R.V.F.; Carpenter, M.P.; Zhu, S.; Broda, R.; Fornal, B.; Kay, B.P.; Kondev, F.G.; Krolas, W.; Lauritsen, T.; Lister, C.J.; Pawłat, T.; Seweryniak, D.; Stefanescu, I.; Stone, N.J.; Wrzesinski, J.; Higashiyama, K.; Yoshinaga, N. Evidence for rigid triaxial deformation at low energy in 76Ge. Phys. Rev. C 2013, 87, 041304(R). [Google Scholar] [CrossRef]
- Forney, A.M.; Walters, W.B.; Chiara, C.J.; Janssens, R.V.F.; Ayangeakaa, A.D.; Sethi, J.; Harker, J.; Alcorta, M.; Carpenter, M.P.; Gürdal, G.; Hoffman, C.R.; Kay, B.P.; Kondev, F.G.; Lauritsen, T.; Lister, C.J.; McCutchan, E.A.; Rogers, A.M.; Seweryniak, D.; Stefanescu, I.; Zhu, S. Novel ΔJ=1 sequence in 78Ge: possible evidence for triaxiality. Phys. Rev. Lett. 2018, 120, 212501. [Google Scholar] [CrossRef]
- Ayangeakaa, A.D.; R. Janssens, V.F.; Zhu, S.; Little, D.; Henderson, J.; Wu, C.Y.; Hartley, D.J.; Albers, M.; Auranen, K.; Bucher, B.; Carpenter, M.P.; Chowdhury, P.; Cline, D.; Crawford, H.L.; Fallon, P.; Forney, A.M.; Gade, A.; Hayes, A.B.; Kondev, F.G.; Krishichayan; Lauritsen, T.; Li, J.; Macchiavelli, A.O.; Rhodes, D.; Seweryniak, D.; Stolze, S.M.; Walters, W.B.; Wu, J. Evidence for rigid triaxial deformation in 76Ge from a model-independent analysis. Phys. Rev. Lett. 2019, 123, 102501. [Google Scholar] [CrossRef]
- Bonatsos, D.; Martinou, A.; Peroulis, S.K.; Petrellis, D.; Vasileiou, P.; Mertzimekis, T.J.; Minkov, N. Triaxial shapes in even–even nuclei: a theoretical overview. Atoms 2025, 13, 47. [Google Scholar] [CrossRef]
- Van Isacker, P.; Chen, J.Q. Classical limit of the interacting boson Hamiltonian. Phys. Rev. C 1981, 24, 684–689. [Google Scholar] [CrossRef]
- Vanden Berghe, G.; De Meyer, H.E.; Van Isacker, P. Symmetry-conserving higher-order interaction terms in the interacting boson mode. Phys. Rev. C 1985, 32, 1049–1052. [Google Scholar] [CrossRef]
- Leschber, Y.; Draayer, J.P. Algebraic realization of rotational dynamics. Phys. Lett. B 1987, 190, 1–6. [Google Scholar] [CrossRef]
- Castaños, O.; Draayer, J. P.; Leschber, Y. Quantum rotor and its SU(3) realization. Com. Phys. Comm. 1988, 52, 71–84. [Google Scholar] [CrossRef]
- Kota, V.K.B. SU(3) Symmetry in Atomic Nuclei; Springer Nature: Singapore, 2020. [Google Scholar]
- Elliott, J.P. Collective motion in the nuclear shell model I. classification schemes for states of mixed configurations. Proc. Roy. Soc. (London) 1958, A245, 128–145. [Google Scholar] [CrossRef]
- Elliott, J.P. Collective motion in the nuclear shell model II. the introduction of intrinsic wavefunctions. Proc. Roy. Soc. (London) 1958, A245, 562–581. [Google Scholar]
- Harvey, M. The nuclear SU(3) model. Adv. Nucl. Phys. 1968, 1, 67–182. [Google Scholar]
- Hecht, K.T.; Adler, A. Generalized seniority for favored J=0 pairs in mixed configurations. Nucl. Phys. A 1969, 137, 129–143. [Google Scholar] [CrossRef]
- Arima, A.; Harvey, M.; Schimizu, K. Pseudo LS coupling and pseudo SU3 coupling schemes. Phys. Lett. 1969, B30, 517–522. [Google Scholar] [CrossRef]
- Draayer, J.P.; Weeks, K.J. Shell-model description of the low-energy structure of strongly deformed nuclei. Phys. Rev. Lett. 1983, 51, 1422–1425. [Google Scholar] [CrossRef]
- Draayer, J.P.; Weeks, K.J. Towards a shell model description of the low-energy structure of deformed nuclei I. even-even systems. Ann. Phys. (N.Y.) 1984, 156, 41–67. [Google Scholar] [CrossRef]
- Bonatsos, D.; Assimakis, I.E.; Minkov, N.; Martinou, A.; Cakirli, B.; Casten, R.F.; Blaum, K. Proxy-SU(3) symmetry in heavy deformed nuclei. Phys. Rev. C 2017, 95, 064325. [Google Scholar] [CrossRef]
- Bonatsos, D.; Assimakis, I.E.; Minkov, N.; Martinou, A.; Sarantopoulou, S.; Cakirli, R.B.; Casten, R.F.; Blaum, K. Analytic predictions for nuclear shapes, prolate dominance, and the prolate-oblate shape transition in the proxy-SU(3) model. Phys. Rev. C 2017, 95, 064326. [Google Scholar] [CrossRef]
- Bonatsos, D. Prolate over oblate dominance in deformed nuclei as a consequence of the SU(3) symmetry and the Pauli principle. Eur. Phys. J. 2017, A53, 148–149. [Google Scholar] [CrossRef]
- Smirnov, Y.F.; Smirnova, N.A.; Van Isacker, P. SU(3) realization of the rigid asymmetric rotor within the interacting boson model. Phys. Rev. C 2000, 61, 041302(R). [Google Scholar] [CrossRef]
- Zhang, Y.; Pan, F.; Dai, L.R.; Draayer, J.P. Triaxial rotor in the SU(3) limit of the interacting boson model. Phys. Rev. C 2014, 90, 044310. [Google Scholar] [CrossRef]
- Abdulhamid, M.I. ; et al. (STAR Collaboration), Imaging shapes of atomic nuclei in high-energy nuclear collisions. Nature 2024, 635, 67–72. [Google Scholar]
- Kleemann, J.; Pietralla, N.; Friman-Gayer, U.; Isaak, J.; Papst, O.; Prifti, K.; Werner, V.; Ayangeakaa, A.D.; Beck, T.; Colò, G.; Cortes, M.L.; Finch, S.W.; Fulghieri, M.; Gribble, D.; Ide, K.E.; James, X.K.H.; Janssens, R.V.F.; Johnson, S.R.; Koseoglou, P.; Krishichayan; Savran, D.; Tornow, W. Gamma decay of the 154Sm isovector giant dipole resonance: Smekal-Raman scattering as a novel probe of nuclear ground-state deformation. Phys. Rev. Lett. 2025, 134, 022503. [Google Scholar] [CrossRef] [PubMed]
- Zhou, C.X.; Shang, X.; Wang, T. Different triaxial shapes in the energy spectra of 154Sm. arXiv:2509.10008. submitted.
- Zhou, C.X.; Wang, T. Rigid triaxiality has the SU(3) symmetry: 166Er as an example, in preparation.
- Otsuka, T.; Tsunoda, Y.; Abe, T.; Shimizu, N.; Van Duppen, P. Underlying structure of collective bands and self-organization in quantum systems. Phys. Rev. Lett. 2019, 123, 222502. [Google Scholar] [CrossRef]
- Tsunoda, Y.; Otsuka, T. Triaxial rigidity of 166Er and its Bohr-model realization. Phys. Rev. C 2021, 103, L021303. [Google Scholar] [CrossRef]
- Otsuka, T.; Tsunoda, Y.; Shimizu, N.; Utsuno, Y.; Abe, T.; Ueno, H. Prevailing triaxial shapes in atomic nuclei and a quantum theory of rotation of composite object. Eur. Phys. J. A 2025, 61, 126. [Google Scholar] [CrossRef]
- Fortunato, L.; Alonso, C.E.; Arias, J.M.; Garcıa-Ramos, J.E.; Vitturi, A. Phase diagram for a cubic-Q interacting boson model Hamiltonian: signs of triaxiality. Phys. Rev. C 2011, 84, 014326. [Google Scholar] [CrossRef]
- Wang, T. A collective description of the unusually low ratio B4/2=B(E2;41+→21+)/B(E2;21+→01+). EPL 2020, 129, 52001. [Google Scholar] [CrossRef]
- Zhang, Y.; Pan, F.; Liu, Y.X.; Luo, Y.A.; Draayer, J.P. Analytically solvable prolate-oblate shape phase transitional description within the SU(3) limit of the interacting boson model. Phys. Rev. C 2012, 85, 064312. [Google Scholar] [CrossRef]
- Zhang, Y.; He, Y.W.; Karlsson, D.; Qi, C.; Pan, F.; Draayer, J.P. A theoretical interpretation of the anomalous reduced E2 transition probabilities along the yrast line of neutron-deficient nuclei. Phys. Lett. B 2022, 834, 137443. [Google Scholar] [CrossRef]
- Wang, T. B(E2) anomaly cannot be explained with O(6) higher-order interactions. Phys. Rev. C 2023, 107, 064303. [Google Scholar] [CrossRef]
- Zhang, Y.; Wang, S.N.; Pan, F.; Qi, C.; Draayer, J.P. Triaxial rotor modes in finite-N boson systems. Phys. Rev. C 2024, 110, 024303. [Google Scholar] [CrossRef]
- Pan, F.; Zhang, Y.; Wu, Y.X.; Dai, L.R.; Draayer, J.P. B(E2) anomaly along the yrast line in neutron-deficient A≈170 even-even nuclei induced by a triaxial rotor term. Phys. Rev. C 2024, 110, 054324. [Google Scholar] [CrossRef]
- Teng, W.; Zhang, Y.; Qi, C. A novel approach for the anomalous collectivity in neutron-deficient Os isotopes. Chin. Phys. C 2025, 49, 014102. [Google Scholar] [CrossRef]
- Zhang, Y.; Teng, W. B(E2) anomaly and triaxial deformation in the interacting boson model. Phys. Rev. C 2025, 111, 014324. [Google Scholar] [CrossRef]
- Teng, W.; Wang, S.N.; Zhang, Y.; Zhao, X.Z.; Deng, X.; Li, X.T. B(E2) anomaly and triaxial deformation within a two-fluid SU(3) symmetry. Chin. Phys. C 2025, 49, 084106. [Google Scholar] [CrossRef]
- Cheng, Y.X.; Zhao, D.H.; Shao, Y.Y.; Gong, L.; Wang, T.; Kang, X.S. SU(3) analysis for B(E2) anomaly. Chin. Phys. C 2025, 49, 104105. [Google Scholar] [CrossRef]
- Teng, W.; Zhang, Y.; Wang, S.N.; Pan, F.; Qi, C.; Draayer, J.P. Anomalous collective modes in atomic nuclei within the proton-neutron interacting boson model. Phys. Lett. B 2025, 865, 139487. [Google Scholar] [CrossRef]
- Teng, W.; Wang, S.N.; Zhao, X.Z.; Zhang, Y. The IBM description of the B(E2) anomaly: dynamical triaxiality and configuration mixing. Nucl. Phys. A 2025, 1063, 123214. [Google Scholar] [CrossRef]
- Zhang, C.G.; Jin, S.C.; Wang, T.; Wang, T. B(E2;21+→01+) anomaly in 166Os. Chin. Phys. C 2026, 50, 03410. [Google Scholar]
- Wang, T.; Cheng, Y.X.; Li, D.K.; Kang, X.S.; Jin, S.C.; Wang, T.; Zhang, Z.Q.; Zhang, C.G.; Zhang, Z.X. Level-anticrossing and new relationship in the B(E2) anomaly. arXiv:2503.22100v2.
- Grahn, T.; Stolze, S.; Joss, D.T.; Page, R.D.; Sayğı, B.; O’Donnell, D.; Akmali, M.; Andgren, K.; Bianco, L.; Cullen, D.M.; Dewald, A.; Greenlees, P.T.; Heyde, K.; Iwasaki, H.; Jakobsson, U.; Jones, P.; Judson, D.S.; Julin, R.; Juutinen, S.; Ketelhut, S.; Leino, M.; Lumley, N.; Mason, P.J.R.; Moller, O.; Nomura, K.; Nyman, M.; Petts, A.; Peura, P.; Pietralla, N.; Pissulla, Th.; Rahkila, P.; Sapple, P.J.; Saren, J.; Scholey, C.; Simpson, J.; Sorri, J.; Stevenson, P.D.; Uusitalo, J.; Watkins, H.V.; Wood, J.L. Excited states and reduced transition probabilities in 168Os. Phys. Rev. C 2016, 94, 044327. [Google Scholar] [CrossRef]
- Sayğı, B.; Joss, D.T.; Page, R.D.; Grahn, T.; Simpson, J.; O’Donnell, D.; Alharshan, G.; Auranen, K.; Bäck, T.; Boening, S.; Braunroth, T.; Carroll, R.J.; Cederwall, B.; Cullen, D.M.; Dewald, A.; Doncel, M.; Donosa, L.; Drummond, M.C.; Ertugral, F.; Ertürk, S.; Fransen, C.; Greenlees, P.T.; Hackstein, M.; Hauschild, K.; Herzan, A.; Jakobsson, U.; Jones, P.M.; Julin, R.; Juutinen, S.; Konki, J.; Kröll, T.; Labiche, M.; Lopez-Martens, A.; McPeake, C.G.; Moradi, F.; Möller, O.; Mustafa, M.; Nieminen, P.; Pakarinen, J.; Partanen, J.; Peura, P.; Procter, M.; Rahkila, P.; Rother, W.; Ruotsalainen, P.; Sandzelius, M.; Sarén, J.; Scholey, C.; Sorri, J.; Stolze, S.; Taylor, M.J.; Thornthwaite, A.; Uusitalo, J. Reduced transition probabilities along the yrast line in 166W. Phys. Rev. C 2017, 96, 021301(R). [Google Scholar] [CrossRef]
- Cederwall, B.; Doncel, M.; Aktas, Ö.; Ertoprak, A.; Liotta, R.; Qi, C.; Grahn, T.; Cullen, D.M; Hodge, D.; Giles, M.; Stolze, S.; Badran, H.; Braunroth, T.; Calverley, T.; Cox, D.M.; Fang, Y.D.; Greenlees, P.T.; Hilton, J.; Ideguchi, E.; Julin, R.; Juutinen, S.; Raju, M. Kumar; Li, H.; Liu, H.; Matta, S.; Modamio, V.; Pakarinen, J.; Papadakis, P.; Partanen, J.; Petrache, C.M.; Rahkila, P.; Ruotsalainen, P.; Sandzelius, M.; Sarén, J.; Scholey, C.; Sorri, J.; Subramaniam, P.; Taylor, M.J.; Uusitalo, J.; Valiente-Dobón, J.J. Lifetime measurements of excited states in 172Pt and the variation of quadrupole transition strength with angular momentum. Phys. Rev. Lett. 2018, 121, 022502. [Google Scholar] [CrossRef]
- Goasduff, A.; Ljungvall, J.; Rodríguez, T. R.; Bello Garrote, F. L.; Etile, A.; Georgiev, G.; Giacoppo, F.; Grente, L.; Klintefjord, M.; Kuşoğlu, A.; Matea, I.; Roccia, S.; Salsac, M.-D.; Sotty, C. B(E2) anomalies in the yrast band of 170Os. Phys. Rev. C 2019, 100, 034302. [Google Scholar] [CrossRef]
- Teng, W.; Wang, S.N.; Zhang, Y. Understanding Xe isotopes near A=130 through the prolate-oblate shape phase transition. Phys. Rev. C 2025, 112, 054317. [Google Scholar] [CrossRef]
- Wang, T.; He, B.C.; Zhou, C.X.; Li, D.K.; Fortunato, L. Emerging γ-soft-like spectrum in 196Pt in the SU3-IBM (I). Chin. Phys. C 2024, 48, 094102. [Google Scholar] [CrossRef]
- Zhou, C.X.; Wang, T. E(5)-like emerging γ softness in 82Kr. Phys. Rev. C 2023, 108, 024309. [Google Scholar] [CrossRef]
- Heyde, K; Wood, J.L. Shape coexistence in atomic nuclei. Rev. Mod. Phys. 2011, 83, 1467–1521. [Google Scholar] [CrossRef]
- Prados-Estévez, F.M.; Peters, E.E.; Chakraborty, A.; Mynk, M.G.; Bandyopadhyay, D.; Boukharouba, N.; Choudry, S.N.; Crider, B.P.; Garrett, P.E.; Hicks, S.F.; Kumar, A.; Lesher, S. R.; McKay, C. J.; McEllistrem, M. T.; Mukhopadhyay, S.; Orce, J. N.; Scheck, M.; Vanhoy, J. R.; Wood, J. L.; Yates, S. W. Collective quadrupole behavior in 106Pd. Phys. Rev. C 2017, 95, 034328. [Google Scholar] [CrossRef]
- ENSDF: https://www.nndc.bnl.gov/ensdf/.
- Svensson, L.E.; Fahlander, C.; Hasselgren, L.; Bäcklin, A.; Westerberg, L.; Cline, D.; Czosnyka, T.; Wu, C.Y.; Diamond, R.M.; Kluge, H. Multiphonon vibrational states in 106,108Pd. Nucl. Phys. A 1995, 584, 547–572. [Google Scholar] [CrossRef]
- Giannatiempo, A.; Nannini, A.; Sona, P. Interacting boson approximation-2 analysis of the Pd and Ru chains. I. Mixed symmetry states of Fmax-1 character in even palladium isotopes. Phys. Rev. C 1998, 58, 3316–3334. [Google Scholar] [CrossRef]
- Giannatiempo. Vibrational-γ bands in even 104-118Pd isotopes. Phys. Rev. C 2018, 98, 034305. [Google Scholar] [CrossRef]
- Hammer, H.W.; König, S.; van Kolck, U. Nuclear effective field theory: status and perspectives. Rev. Mod. Phys. 2020, 92, 025004. [Google Scholar] [CrossRef]
- Coello Pérez, E.A.; Papenbrock, T. Effective field theories for collective excitations of atomic nuclei. J. Phys. G: Nucl. Part. Phys. 2025, 52, 033001. [Google Scholar] [CrossRef]
- Jia, L.B. Tamed loops: a way to obtain finite loop results without UV divergences. Commun. Theor. Phys. 2026, 78, 015201. [Google Scholar] [CrossRef]






Disclaimer/Publisher’s Note: The statements, opinions and data contained in all publications are solely those of the individual author(s) and contributor(s) and not of MDPI and/or the editor(s). MDPI and/or the editor(s) disclaim responsibility for any injury to people or property resulting from any ideas, methods, instructions or products referred to in the content. |
© 2026 by the authors. Licensee MDPI, Basel, Switzerland. This article is an open access article distributed under the terms and conditions of the Creative Commons Attribution (CC BY) license (http://creativecommons.org/licenses/by/4.0/).