Submitted:
29 January 2026
Posted:
30 January 2026
You are already at the latest version
Abstract
Keywords:
1. Introduction
2. Methodology
3. Results
3.1. Density and Porosity
3.2. Microstructure
3.3. Microhardness and Fracture Toughness
3.4. Electrochemical Impedance Spectroscopy
5. Conclusions
- ○
- The controlled incorporation of magnesium into hydroxyapatite by powder-processing techniques effectively tailored the microstructural, mechanical, and electrochemical properties of the ceramics. Magnesium addition influenced densification and porosity, producing homogeneous microstructures at low to intermediate contents, which directly impacted the functional performance of the materials.
- ○
- From a mechanical perspective, magnesium contents of 3-5 wt% provided a favorable balance between reduced microhardness and enhanced fracture toughness, resulting in properties close to those of cortical bone. In contrast, higher magnesium contents promoted microstructural heterogeneity and increased porosity, negatively affecting mechanical performance.
- ○
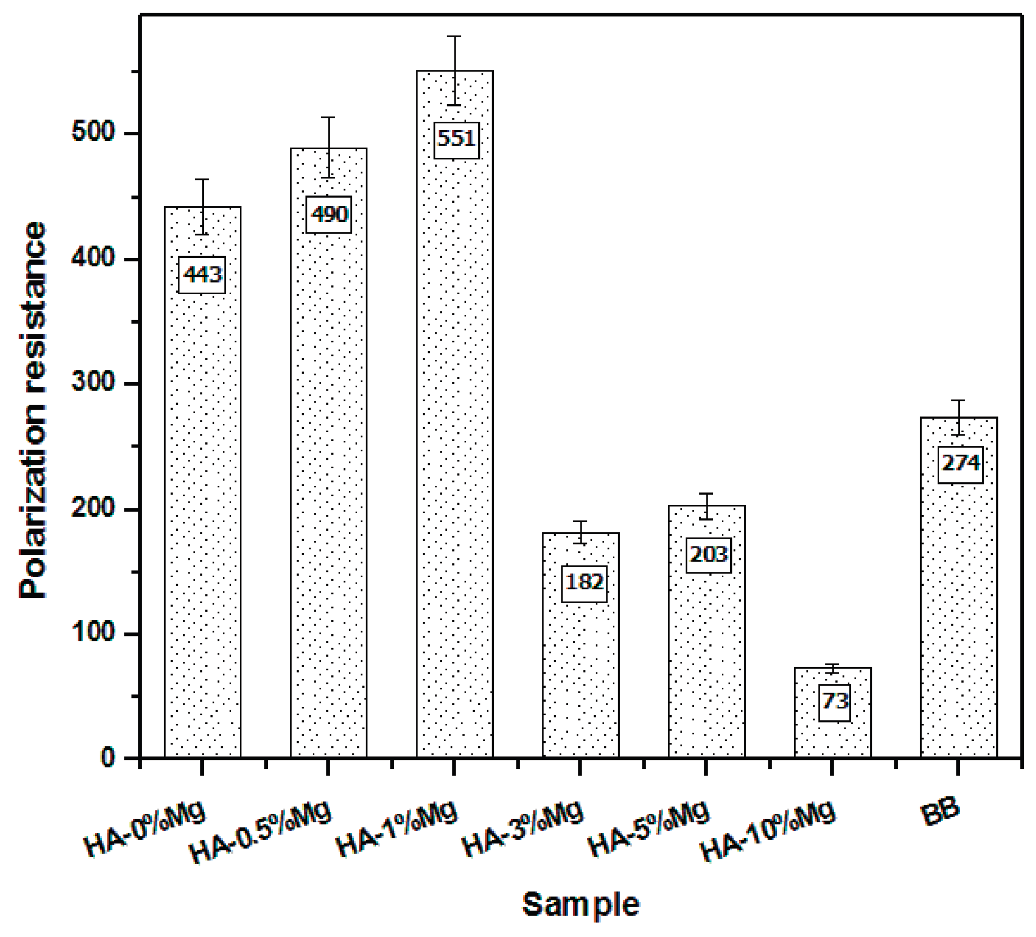
- Electrochemical results showed that low magnesium incorporation significantly im-proved corrosion resistance. The HA-1 wt% Mg composition exhibited the highest polar-ization resistance (551 kΩ·cm²), exceeding that of pure hydroxyapatite and bovine bone, while higher magnesium contents led to reduced electrochemical stability.
- ○
- Overall, these findings demonstrate that controlled magnesium doping enables the optimization of both mechanical and electrochemical behavior in hydroxyapatite-based ceramics, supporting their potential use as biomaterials for medical applications.
Author Contributions
Funding
Data Availability Statement
Acknowledgments
Conflicts of Interest
Abbreviations
| HA | Hydroxyapatite |
| CB | Cortical bone |
| BB | Bovine bone |
| HV | Hardness Vickers |
| SPS | Spark plasma sintering |
| CE | Counter electrode |
| EIS | Electrochemical impedance spectroscopy |
| Rp | Polarization resistance |
| wt | Weight |
References
- Shi, H.; Zhou, Z.; Li, W.; Fan, Y.; Li, Z.; Wei, J. Hydroxyapatite based materials for bone tissue engineering: A brief and comprehensive introduction. Crystals 2021, 11, 149. [Google Scholar] [CrossRef]
- Fendi, F.; Abdullah, B.; Suryani, S.; Usman, A.N.; Tahir, D. Development and application of hydroxyapatite-based scaffolds for bone tissue regeneration: A systematic literature review. Bone 2024, 183, 117075. [Google Scholar] [CrossRef] [PubMed]
- Fiume, E.; Magnaterra, G.; Rahdar, A.; Verné, E.; Baino, F. Hydroxyapatite for biomedical applications: A short overview. Ceramics 2021, 4, 542–563. [Google Scholar] [CrossRef]
- Lin, K.; Chang, J. Structure and properties of hydroxyapatite for biomedical applications. In Hydroxyapatite (HAp) for Biomedical Applications; Mucalo, M., Ed.; Woodhead Publishing: Cambridge, UK, 2015; pp. 3–19. [Google Scholar] [CrossRef]
- Szcześ, A.; Hołysz, L.; Chibowski, E. Synthesis of hydroxyapatite for biomedical applications. Adv. Colloid Interface Sci. 2017, 249, 321–330. [Google Scholar] [CrossRef] [PubMed]
- Dorozhkin, S.V. Bioceramics of calcium orthophosphates. Biomaterials 2010, 31, 1465–1485. [Google Scholar] [CrossRef]
- Topuz, M.; Dikici, B.; Gavgali, M. Titanium-based composite scaffolds reinforced with hydroxyapatite-zirconia: Production, mechanical and in-vitro characterization. J. Mech. Behav. Biomed. Mater. 2021, 118, 104480. [Google Scholar] [CrossRef]
- Rabeeh, V.P.M.; Surendramohan, K.S.; Jyothis, S.; Rahim, S.A.; Babu, C.S.; Sijina, K.P.; Rajanikant, G.K.; Joseph, M.A.; Hanas, T. Fostering biomineralization and biodegradation: nano-hydroxyapatite reinforced iron composites for biodegradable implant application. Discover Materials 2024, 4, 39. [Google Scholar] [CrossRef]
- Meechoowas, E.; Naknikham, U.; Tungsanguan, O.; Martvijit, S.; Pamok, C.; Tapasa, K. Development and characterization of bioactive glass: Preliminary study for medical applications. Mat Tod. Proc 2022, 65, 2407–2411. [Google Scholar] [CrossRef]
- Ciobanu, C.S.; Iconaru; Popa, C.L.; Motelica-Heino, M.; Predoi, D. Evaluation of Samarium Doped Hydroxyapatite, Ceramics for Medical Application: Antimicrobial Activity. J. Nanomats. 2015, 849216. [Google Scholar] [CrossRef]
- Patel, P.; Buckley, C.; Taylor, B.; Sahyoun, C.C.; Patel, S.D.; Mont, A.J.; Mai, L.D.; Patel, S.; Freeman, J.W. Mechanical and biological evaluation of a hydroxyapatite-reinforced scaffold for bone regeneration. J. Biomed. Mater. Res. Part A. 2019, 107, 732–741. [Google Scholar] [CrossRef]
- White, A.A.; Best, S.M.; Kinloch, I. Hydroxyapatite–Carbon Nanotube Composites for Biomedical Applications: A Review. Int. J. Appl. Ceram. Technol. 2007, 4, 1–13. [Google Scholar] [CrossRef]
- Boanini, E.; Gazzano, M.; Bigi, A. Ionic substitution in calcium phosphates synthesized at low temperature. Acta Biomater. 2010, 6, 1882–1894. [Google Scholar] [CrossRef]
- Bose, S.; Tarafder, S. Calcium phosphate ceramic systems in growth factor and drug delivery for bone tissue engineering: A review. Acta Biomater. 2012, 8, 1401–1421. [Google Scholar] [CrossRef]
- Liu, D.M.; Troczynski, T.; Tseng, W.J. Water-based sol–gel synthesis of hydroxyapatite: Process development. Biomaterials 2001, 22, 1721–1730. [Google Scholar] [CrossRef]
- Kanasan, N.; Adzila, S.; Koh, C.T.; Rahman, H.A.; Panerselvan, G. Effects of magnesium doping on the properties of hydroxyapatite/sodium alginate biocomposite. Adv Appl Ceram. 2019, 118, 1–6. [Google Scholar] [CrossRef]
- Zhang, A.-M.; et al. Advances in hydroxyapatite coatings on biodegradable magnesium and its alloys. J. Magnes. Alloys 2022, 10, 1154–1170. [Google Scholar] [CrossRef]
- Bigi, A.; Falini, G.; Foresti, E.; Ripamonti, A.; Gazzano, M.; Roveri, N. Magnesium influence on hydroxyapatite crystallization. J. Inorg. Biochem. 1993, 49, 69–78. [Google Scholar] [CrossRef]
- Hassan, M.N.; Mahmoud, M.M.; Link, G.; El-Fattah, A.A.; Kandil, S. Sintering of naturally derived hydroxyapatite using high frequency microwave processing. J. Alloys Compd. 2016, 682, 107–114. [Google Scholar] [CrossRef]
- ASTM B962-15; Standard Test Methods for Density of Compacted or Sintered Powder Metallurgy (PM) Products Using Archimedes’ Principle. ASTM International: West Conshohocken, PA, USA, 2015.
- Rocha-Rangel, E. Fracture Toughness Determinations by Means of Indentation Fracture. In Nanocomposites with Unique Properties and Applications in Medicine and Industry; John, C., Ed.; IntechOpen: London, UK, 2011; pp. 1–18. [Google Scholar] [CrossRef]
- Evans, A.G.; Charles, E.A. Fracture Toughness Determination by Indentation. J. Am. Ceram. Soc. 1976, 59, 371–372. [Google Scholar] [CrossRef]
- ASTM E384-16; Standard Test Method for Microindentation Hardness of Materials. ASTM International: West Conshohocken, PA, USA, 2016.
- Jerban, S.; Ma, Y.; Wan, L.; Searleman, A.C.; Jang, H.; Sah, R.L.; Chang, E.Y.; Du, J. Collagen proton fraction from ultrashort echo time magnetization transfer (UTE-MT) MRI modelling correlates significantly with cortical bone porosity measured with micro-computed tomography (μCT). NMR Biomed. 2019, 32, e4099. [Google Scholar] [CrossRef] [PubMed]
- Mirzaali, M.J.; Schwiedrzik, J.J.; Thaiwichai, S.; Best, J.P.; Michler, J.; Zysset, P.K.; Wolframa, U. Mechanical properties of cortical bone and their relationships with age, gender, composition and microindentation properties in the elderly. Bone 2016, 93, 196–211. [Google Scholar] [CrossRef] [PubMed]
- Vargas-Coronado, R.F.; Chan-Chan, L.H.; Cervantes-Uc, J.M.; Cauich-Rodríguez, J.V.; Piña Barb, M.C. Characterization of Bone Cements Prepared with either Hydroxyapatite, α-TCP or Bovine Bone. Rev. Mex. Ing. Biomed. 2013, 34, 89–96. [Google Scholar]





| Composition | Magnesium (weight %) |
Hydroxyapatite weight % |
|---|---|---|
| HA-0%Mg | Mg 0 | 100 |
| HA-0.5%Mg | Mg 0.5 | 99.5 |
| HA-1%Mg | Mg 1 | 99 |
| HA-3%Mg | Mg 3 | 97 |
| HA-5%Mg | Mg 5 | 95 |
| HA-10%Mg | Mg 10 | 90 |
Disclaimer/Publisher’s Note: The statements, opinions and data contained in all publications are solely those of the individual author(s) and contributor(s) and not of MDPI and/or the editor(s). MDPI and/or the editor(s) disclaim responsibility for any injury to people or property resulting from any ideas, methods, instructions or products referred to in the content. |
© 2026 by the authors. Licensee MDPI, Basel, Switzerland. This article is an open access article distributed under the terms and conditions of the Creative Commons Attribution (CC BY) license (http://creativecommons.org/licenses/by/4.0/).
