Submitted:
29 January 2026
Posted:
30 January 2026
You are already at the latest version
Abstract
Keywords:
1. Introduction
2. Materials and Methods
2.1. Study Design and Participants
2.2. Test Meals
2.3. Statistical Analysis
3. Results
3.1. Study Flow
3.2. Baseline Characteristics
3.3. Fasting Measurements
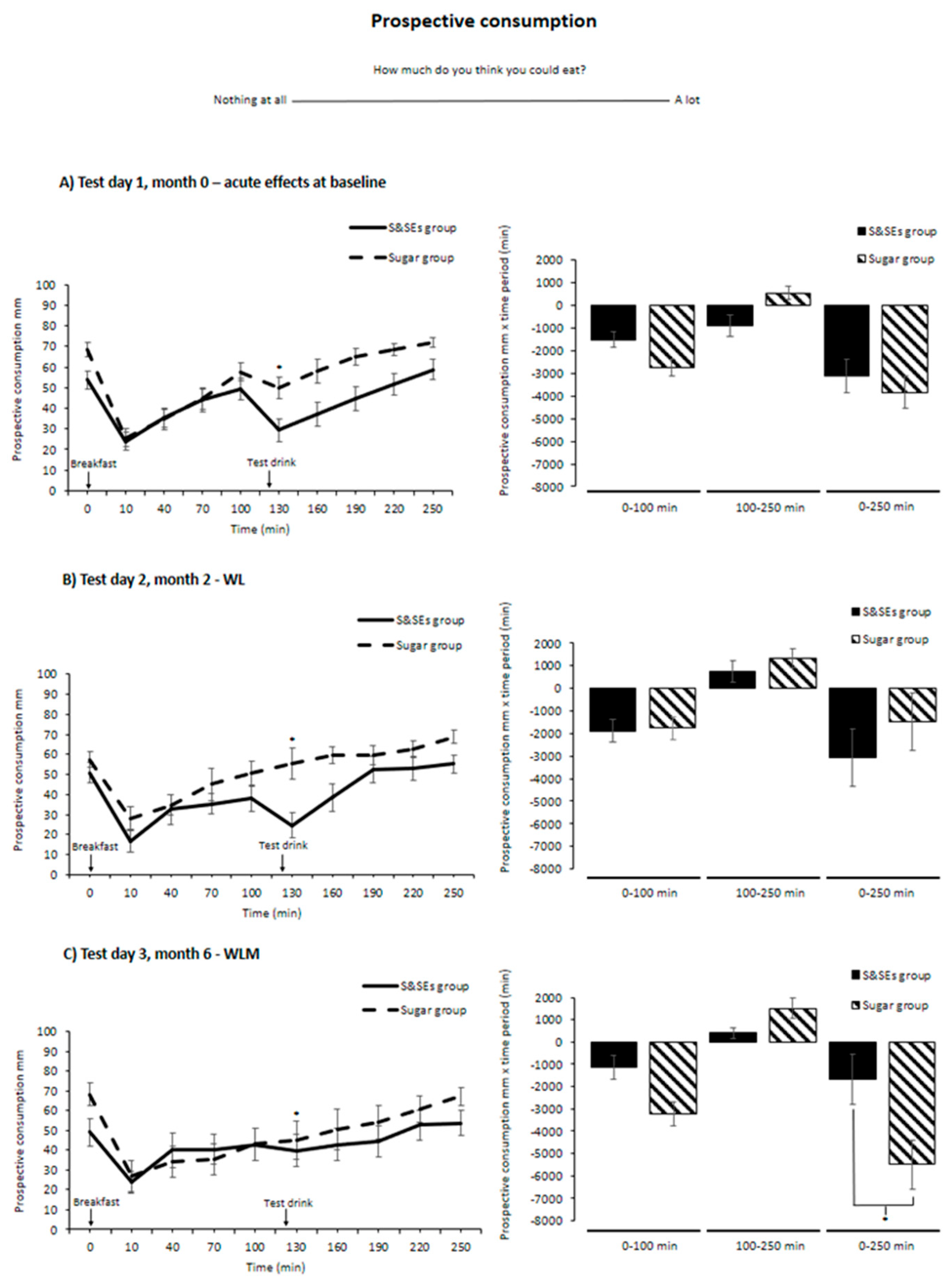
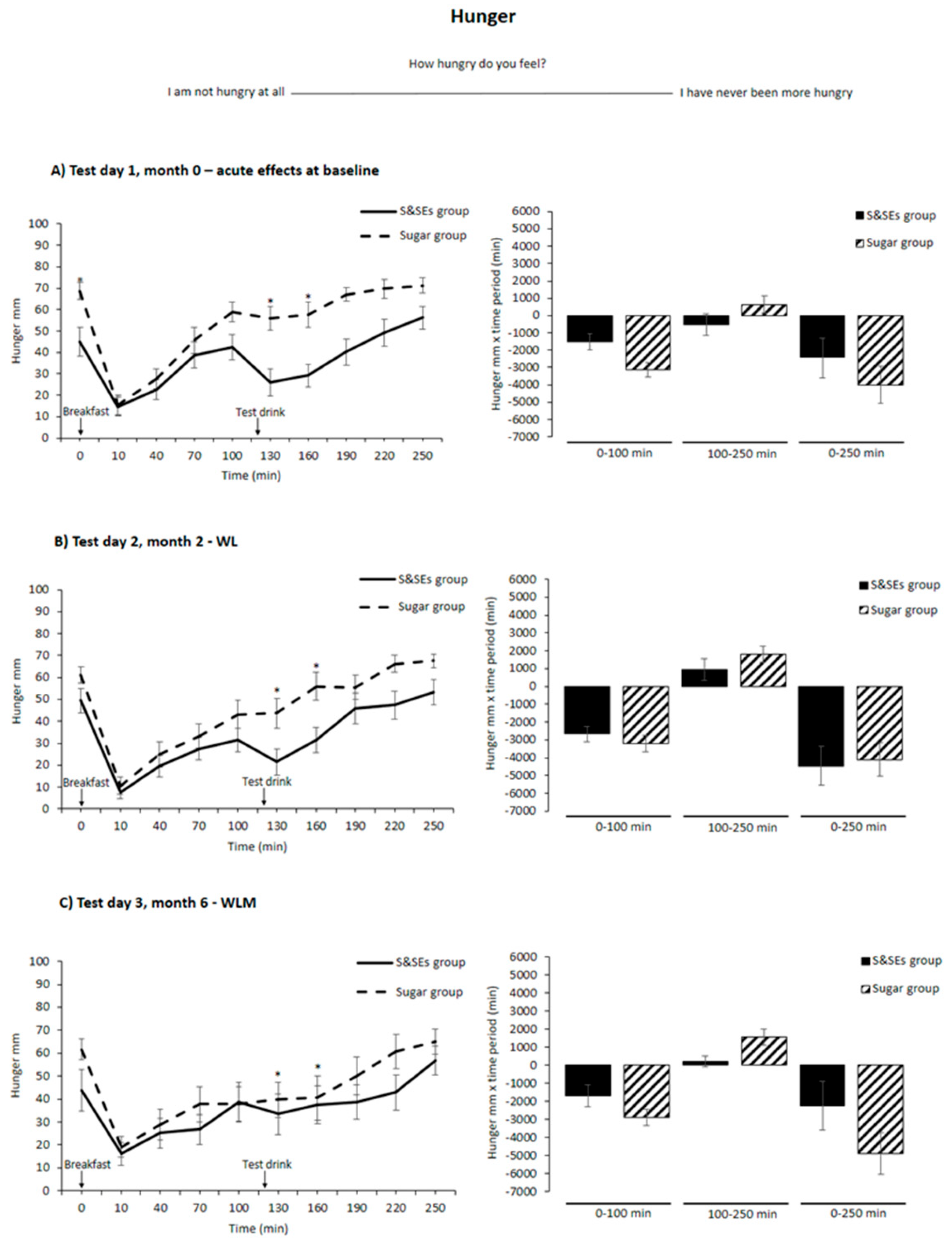
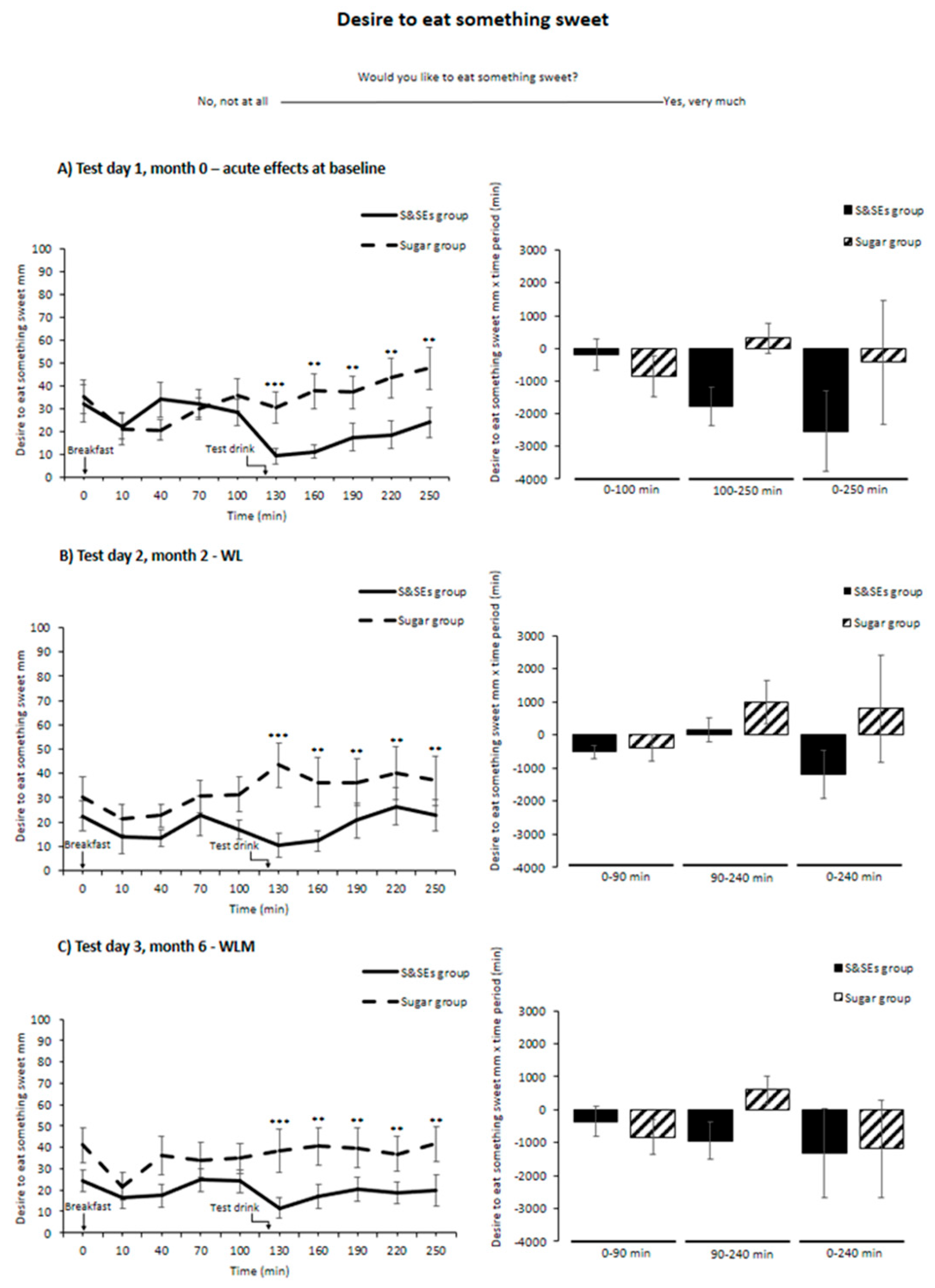
3.4. Subjective Appetite Sensations

3.4. Palatability Scores, Wellbeing and Ad Libitum Energy Intake
4. Discussion
4.1. Summary of Findings
4.2. Appetite Sensations—Fullness, Satiety, Prospective Consumption, and Hunger
4.2.1. Hunger
4.2.2. Prospective Consumption
4.2.3. Desire to Eat Something Sweet
4.4. Energy Intake
4.5. Strengths and Limitations
5. Conclusions
Author Contributions
Funding
Institutional Review Board Statement
Informed Consent Statement
Data Availability Statement
Acknowledgments
Conflicts of Interest
References
- Chattopadhyay, S.; Raychaudhuri, U.; Chakraborty, R. Artificial sweeteners - A review. Journal of Food Science and Technology 2014, 51(4), 611–621. [Google Scholar] [CrossRef]
- Magnuson, B. A.; Carakostas, M. C.; Moore, N. H.; Poulos, S. P.; Renwick, A. G. Biological fate of low-calorie sweeteners. Nutrition Reviews 2016, 74(11), 670–689. [Google Scholar] [CrossRef]
- Grembecka, M. Sugar alcohols-their role in the modern world of sweeteners: a review. EUROPEAN FOOD RESEARCH AND TECHNOLOGY 2015, 241(1), 1–14. [Google Scholar] [CrossRef]
- Rice, T., Zannini, E., K. Arendt, E., & Coffey, A. A review of polyols–biotechnological production, food applications, regulation, labeling and health effects. Critical Reviews in Food Science and Nutrition 2020, 60(12), 2034–2051. [CrossRef] [PubMed]
- Livesey, G. Health potential of polyols as sugar replacers, with emphasis on low glycaemic properties. Nutrition Research Reviews 2003, 16(2), 163–191. [Google Scholar] [CrossRef] [PubMed]
- Martí, N.; Funes, L. L.; Saura, D.; Micol, V. An update on alternative sweeteners. International Sugar Journal 2008, 110(1315), 425–429. [Google Scholar]
- Msomi, N. Z.; Erukainure, O. L.; Islam, M. S. Suitability of sugar alcohols as antidiabetic supplements: A review. Journal of Food and Drug Analysis 2021, 29(1), 1–14. [Google Scholar] [CrossRef] [PubMed]
- Burke, M. V.; Small, D. M. Physiological mechanisms by which non-nutritive sweeteners may impact body weight and metabolism. Physiol Behav. 2015, 30(7), 1289–1303. [Google Scholar] [CrossRef]
- Mattes, R. D.; Popkin, B. M. Nonnutritive sweetener consumption in humans: Effects on appetite and food intake and their putative mechanisms. American Journal of Clinical Nutrition 2009, 89(1), 1–14. [Google Scholar] [CrossRef]
- Nettleton, J. E.; Reimer, R. A.; Shearer, J. Reshaping the gut microbiota: Impact of low calorie sweeteners and the link to insulin resistance? Physiology and Behavior 2016, 164, 488–493. [Google Scholar] [CrossRef]
- O’Connor, D.; Pang, M.; Castelnuovo, G.; Finlayson, G.; Blaak, E.; Gibbons, C.; Navas-Carretero, S.; Almiron-Roig, E.; Harrold, J.; Raben, A.; Martinez, J. A. A rational review on the effects of sweeteners and sweetness enhancers on appetite, food reward and metabolic/adiposity outcomes in adults. Food & Function 2021, 12(2), 442–465. [Google Scholar] [CrossRef]
- Pang, M. D.; Goossens, G. H.; Blaak, E. E. The Impact of Artificial Sweeteners on Body Weight Control and Glucose Homeostasis. Frontiers in Nutrition 2021, 7, 1–19. [Google Scholar] [CrossRef]
- Payne, A. N.; Chassard, C.; Lacroix, C. Gut microbial adaptation to dietary consumption of fructose, artificial sweeteners and sugar alcohols: implications for host-microbe interactions contributing to obesity. OBESITY REVIEWS 2012, 13(9), 799–809. [Google Scholar] [CrossRef]
- Pearlman, M.; Obert, J.; Casey, L. The Association Between Artificial Sweeteners and Obesity. Current Gastroenterology Reports 2017, 19(12), 1–8. [Google Scholar] [CrossRef] [PubMed]
- World Health Organization (WHO). Health effects of the use of non-sugar sweeteners: a systematic review and meta-analysis. In World Health Organization; 2022; Available online: https://www.who.int/publications/i/item/9789240046429.
- Use of non-sugar sweeteners: WHO guideline; Licence: CC BY-NC-SA 3.0 IGO; World Health Organization: Geneva, 2023.
- Ashwell, M.; Gibson, S.; Bellisle, F.; Buttriss, J.; Drewnowski, A.; Fantino, M.; Gallagher, A. M.; de Graaf, K.; Goscinny, S.; Hardman, C. A.; Laviada-Molina, H.; López-García, R.; Magnuson, B.; Mellor, D.; Rogers, P. J.; Rowland, I.; Russell, W.; Sievenpiper, J. L.; la Vecchia, C. Expert consensus on low-calorie sweeteners: facts, research gaps and suggested actions. Nutrition Research Reviews 2020, 33(1), 145–154. [Google Scholar] [CrossRef] [PubMed]
- Andersen, S. S. H.; Zhu, R.; Kjølbæk, L.; Raben, A. Effect of Non- and Low-Caloric Sweeteners on Substrate Oxidation, Energy Expenditure, and Catecholamines in Humans—A Systematic Review. Nutrients 2023, 15(12), 2711. [Google Scholar] [CrossRef] [PubMed]
- Jordan, S. D.; Könner, A. C.; Brüning, J. C. Sensing the fuels: Glucose and lipid signaling in the CNS controlling energy homeostasis. Cellular and Molecular Life Sciences 2010, 67, 3255–3273. [Google Scholar] [CrossRef]
- Levin, B. E. Metabolic sensing neurons and the control of energy homeostasis. Physiology and Behavior 2006, 89, 486–489. [Google Scholar] [CrossRef]
- Ludwig, D. S. The Glycemic Index. JAMA 2002, 287(18), 2414. [Google Scholar] [CrossRef]
- Ludwig, D. S. Artificially Sweetened Beverages Cause for Concern. JAMA-JOURNAL OF THE AMERICAN MEDICAL ASSOCIATION 2009, 302(22), 2477–2478. [Google Scholar] [CrossRef]
- Rogers, P. J. The role of low-calorie sweeteners in the prevention and management of overweight and obesity: Evidence v. conjecture. Proceedings of the Nutrition Society 2018, 77(3), 230–238. [Google Scholar] [CrossRef] [PubMed]
- Rogers, P. J.; Hogenkamp, P. S.; De Graaf, C.; Higgs, S.; Lluch, A.; Ness, A. R.; Penfold, C.; Perry, R.; Putz, P.; Yeomans, M. R.; Mela, D. J. Does low-energy sweetener consumption affect energy intake and body weight? A systematic review, including meta-analyses, of the evidence from human and animal studies. International Journal of Obesity 2016, 40(3), 381–394. [Google Scholar] [CrossRef]
- Rogers, P. J.; Appleton, K. M. The effects of low-calorie sweeteners on energy intake and body weight: a systematic review and meta-analyses of sustained intervention studies. International Journal of Obesity 2021, 45(3), 464–478. [Google Scholar] [CrossRef]
- Appleton, K. M.; Tuorila, H.; Bertenshaw, E.; De Graaf, C.; Mela, D. Sweet taste exposure and the subsequent acceptance and preference for sweet taste in the diet: Systematic review of the published literature. American Journal of Clinical Nutrition 2018, 107(3), 405–419. [Google Scholar] [CrossRef]
- Kjølbæk, L.; Manios, Y.; Blaak, E. E.; Martínez, J. A.; Feskens, E. J. M.; Finlayson, G.; Andersen, S. S. H.; Reppas, K.; Navas-Carretero, S.; Adam, T. C.; Hodgkins, C. E.; Del Álamo, M.; Lam, T.; Moshoyiannis, H.; Halford, J. C. G.; Harrold, J. A.; Raben, A. Protocol for a multicentre, parallel, randomised, controlled trial on the effect of sweeteners and sweetness enhancers on health, obesity and safety in overweight adults and children: the SWEET project. BMJ Open 2022, 12(10). [Google Scholar] [CrossRef]
- Pang, MD; Kjølbæk, L; Bastings, JJAJ; Andersen, SSH; Umanets, A; Sost, MM; Navas-Carretero, S; Reppas, K; Finlayson, G; Hodgkins, CE; Del Álamo, M; Lam, T; Moshoyiannis, H; Feskens, EJM; Adam, TCM; Goossens, GH; Halford, JCG; Harrold, JA; Manios, Y; Martinez, JA; Blaak, EE; Raben, A. Effect of sweeteners and sweetness enhancers on weight management and gut microbiota composition in individuals with overweight or obesity: the SWEET study. Nat Metab. 2025, 7(10), 2083–2098. [Google Scholar] [CrossRef] [PubMed]
- Flint, A.; Raben, A.; Blundell, J.; Astrup, A. Reproducibility, power and validity of visual analogue scales in assessment of appetite sensations in single test meal studies. International Journal of Obesity 2000, 24, 38–48. [Google Scholar] [CrossRef] [PubMed]
- Laugesen, J. L. Evascale© (Build: February 28, 2018). Jakob@sensory.dk. 2017. [Google Scholar]
- Klingenberg, L.; Nyby, S.; Kristensen, M. B.; Raben, A. Visual analogue scales to assess appetite sensation- good agreement between 100 mm pen and paper vs tablet-based scores. Obesity Facts 2015, 8, 101. [Google Scholar]
- Rogers, P. J.; Carlyle, J. A.; Hill, A. J.; Blundell, J. E. Uncoupling sweet taste and calories: comparison of the effects of glucose and three intense sweeteners on hunger and food intake. Physiology & Behavior 1988, 43(5), 547–552. [Google Scholar] [CrossRef]
- Bellisle, F.; Drewnowski, A. Intense sweeteners, energy intake and the control of body weight. European Journal of Clinical Nutrition 2007, 61(6), 691–700. [Google Scholar] [CrossRef]
- Chern, C.; Tan, S.-Y. Energy Expenditure, Carbohydrate Oxidation and Appetitive Responses to Sucrose or Sucralose in Humans: A Pilot Study. Nutrients 2019, 11(8), 1–11. [Google Scholar] [CrossRef] [PubMed]
- Fantino, M.; Fantino, A.; Matray, M.; Mistretta, F. Beverages containing low energy sweeteners do not differ from water in their effects on appetite, energy intake and food choices in healthy, non-obese French adults. Appetite 2018, 125, 557–565. [Google Scholar] [CrossRef]
- Ford, H. E.; Peters, V.; Martin, N. M.; Sleeth, M. L.; Ghatei, M. A.; Frost, G. S.; Bloom, S. R. Effects of oral ingestion of sucralose on gut hormone response and appetite in healthy normal-weight subjects. European Journal of Clinical Nutrition 2011, 65(4), 508–513. [Google Scholar] [CrossRef]
- Pearson, R. C.; Green, E. S.; Olenick, A. A.; Jenkins, N. T. Comparison of aspartame- and sugar-sweetened soft drinks on postprandial metabolism. In Nutrition and Health; 2021; pp. 1–14. [Google Scholar] [CrossRef]
- Higgins, K. A.; Considine, R. V.; Mattes, R. D. Aspartame consumption for 12 weeks does not affect glycemia, appetite, or body weight of healthy, lean adults in a randomized controlled trial. Journal of Nutrition 2018, 148(4), 650–657. [Google Scholar] [CrossRef] [PubMed]
- Higgins, K. A.; Mattes, R. D. A randomized controlled trial contrasting the effects of 4 low-calorie sweeteners and sucrose on body weight in adults with overweight or obesity. American Journal of Clinical Nutrition 2019, 109(5), 1288–1301. [Google Scholar] [CrossRef] [PubMed]
- Sørensen, L. B.; Vasilaras, T. H.; Astrup, A.; Raben, A. Sucrose compared with artificial sweeteners: A clinical intervention study of effects on energy intake, appetite, and energy expenditure after 10 wk of supplementation in overweight subjects. American Journal of Clinical Nutrition 2014, 100(1), 36–45. [Google Scholar] [CrossRef]
- Van Wymelbeke, V.; Béridot-Thérond, M. E.; de La Guéronnière, V.; Fantino, M. Influence of repeated consumption of beverages containing sucrose or intense sweeteners on food intake. European Journal of Clinical Nutrition 2004, 58(1), 154–161. [Google Scholar] [CrossRef]
- Almiron-Roig, E.; Navas-Carretero, S.; Castelnuovo, G.; Kjølbæk, L.; Romo-Hualde, A.; Normand, M.; Maloney, N.; Hardman, C. A.; Hodgkins, C. E.; Moshoyiannis, H.; Finlayson, G.; Scott, C.; Raats, M. M.; Harrold, J. A.; Raben, A.; Halford, J. C. G.; Martínez, J. A. Impact of acute consumption of beverages containing plant-based or alternative sweetener blends on postprandial appetite, food intake, metabolism, and gastro-intestinal symptoms: Results of the SWEET beverages trial. Appetite 2023, 184. [Google Scholar] [CrossRef]
- Rogers, P. J.; Ferriday, D.; Irani, B.; Hei Hoi, J. K.; England, C. Y.; Bajwa, K. K.; Gough, T. Sweet satiation: Acute effects of consumption of sweet drinks on appetite for and intake of sweet and non-sweet foods. Appetite 2020, 149, 104631. [Google Scholar] [CrossRef]
- Appleton, K. M.; Rajska, J.; Warwick, S. M.; Rogers, P. J. No effects of sweet taste exposure at breakfast for 3 weeks on pleasantness, desire for, sweetness or intake of other sweet foods: a randomised controlled trial. British Journal of Nutrition;Physiological 2022, 127(9), 1428–1438. [Google Scholar] [CrossRef] [PubMed]
- Čad, EM; Mars, M; Pretorius, L; van der Kruijssen, M; Tang, CS; de Jong, HB; Balvers, M; Appleton, KM; de Graaf, K. The Sweet Tooth Trial: A Parallel Randomized Controlled Trial Investigating the Effects of A 6-Month Low, Regular, or High Dietary Sweet Taste Exposure on Sweet Taste Liking, and Various Outcomes Related to Food Intake and Weight Status. Am J Clin Nutr. Epub. 2026, 123(1), 101073. [Google Scholar] [CrossRef]
- Popkin, B. M.; Wang, X.; Piernas, C.; Tate, D. F. Does diet-beverage intake affect dietary consumption patterns? Results from the Choose Healthy Options Consciously Everyday (CHOICE) randomized clinical trial1-3. American Journal of Clinical Nutrition 2013, 97(3), 604–611. [Google Scholar]
- Gregersen, N. T.; Flint, A.; Bitz, C.; Blundell, J. E.; Raben, A.; Astrup, A. Reproducibility and power of ad libitum energy intake assessed by repeated single meals. The American Journal of Clinical Nutrition 2008, 87(5), 1277–1281. [Google Scholar] [CrossRef] [PubMed]
- Blundell, J.; De Graaf, C.; Hulshof, T.; Jebb, S.; Livingstone, B.; Lluch, A.; Mela, D.; Salah, S.; Schuring, E.; Van Der Knaap, H.; Westerterp, M. Appetite control: Methodological aspects of the evaluation of foods. Obesity Reviews 2010, 11(3), 251–270. [Google Scholar] [CrossRef] [PubMed]





| Standardized breakfast | Test drinks | Ad libitum meal | |||
| Served to | All participants | S&SEs group |
Sugar group | All participants Males Females |
|
| Product | Arla Cultura® with oat and cranberries1 | Atwell®0-calories® with Ace-K/Cyc | - | Ristorante Pizza Mozzarella | Ristorante Pizza Mozzarella |
| Amount (g) | 340 | 5 | 1110 | 740 | |
| Energy (kJ) | 1476 | 10,665 | 7,110 | ||
|
Fat (g) - Saturated fat (g) |
8.8 3.7 |
0 0 |
117.0 54.0 |
78.0 36.0 |
|
|
Carbohydrates (g) - Sugar (g) |
40.8 24.8 |
0 0 |
246.0 22.8 |
164.0 15.2 |
|
| Fiber (g) | 13.6 | 0 | 13.8 | 9.2 | |
| Protein (g) | 18.0 | 0 | 117.0 | 78.0 | |
| Salt (g) | 0.34 | 0 | 10.8 | 7.2 | |
| Water (g) | 250 | 400 | 405 | 250 | 250 |
| S&SEs group (n = 15) |
Sugar group (n = 11) |
Total (n = 26) |
P-value | ||
|---|---|---|---|---|---|
|
Sex Female (n (%)) Male (n (%)) |
11 (73) 4 (27) |
8 (73) 3 (27) |
19 (73) 7 (27) |
0.97 |
|
| Age (y) | 48 ± 11 | 52 ± 8 | 49 ± 10 | 0.27 | |
| Height (cm) | 172.3 ± 7.3 | 167.4 ± 8.0 | 170.2 ± 7.9 | 0.12 | |
| Weight (kg) | 97.6 ± 14.1 | 89.7 ± 11.4 | 94.2 ± 13.4 | 0.13 | |
| BMI (kg/m2) | 33.0 ± 5.0 | 32.0 ± 3.4 | 32.6 ± 4.3 | 0.56 | |
|
Smoking status Non-smoker (n (%)) Occasional smoker (n (%)) Daily smoker (n (%)) |
12 (80) 1 (7) 2 (13) |
9 (82) 1 (9) 1 (9) |
21 (81) 2 (8) 3 (11) |
0.93 |
Disclaimer/Publisher’s Note: The statements, opinions and data contained in all publications are solely those of the individual author(s) and contributor(s) and not of MDPI and/or the editor(s). MDPI and/or the editor(s) disclaim responsibility for any injury to people or property resulting from any ideas, methods, instructions or products referred to in the content. |
© 2026 by the authors. Licensee MDPI, Basel, Switzerland. This article is an open access article distributed under the terms and conditions of the Creative Commons Attribution (CC BY) license (http://creativecommons.org/licenses/by/4.0/).
