Submitted:
27 January 2026
Posted:
28 January 2026
You are already at the latest version
Abstract
Keywords:
1. Introduction
2. Materials and Methods
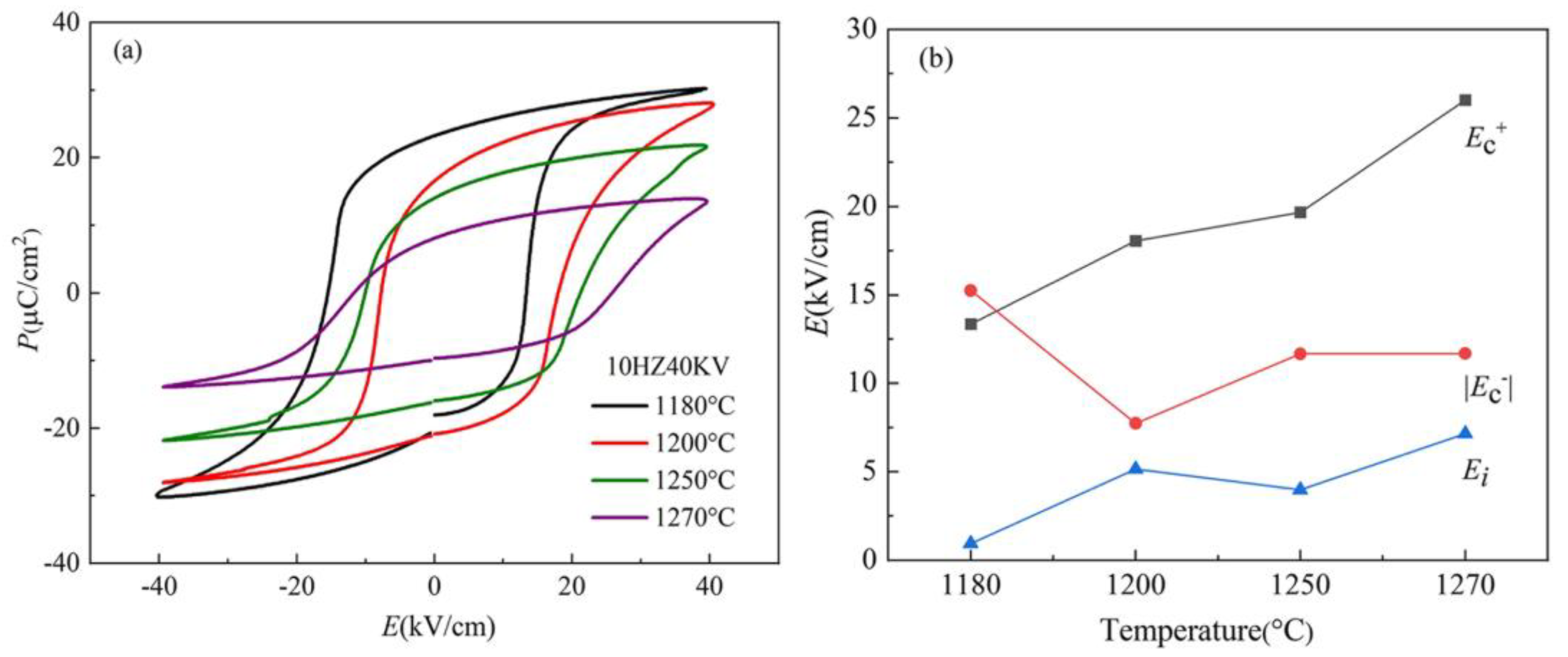
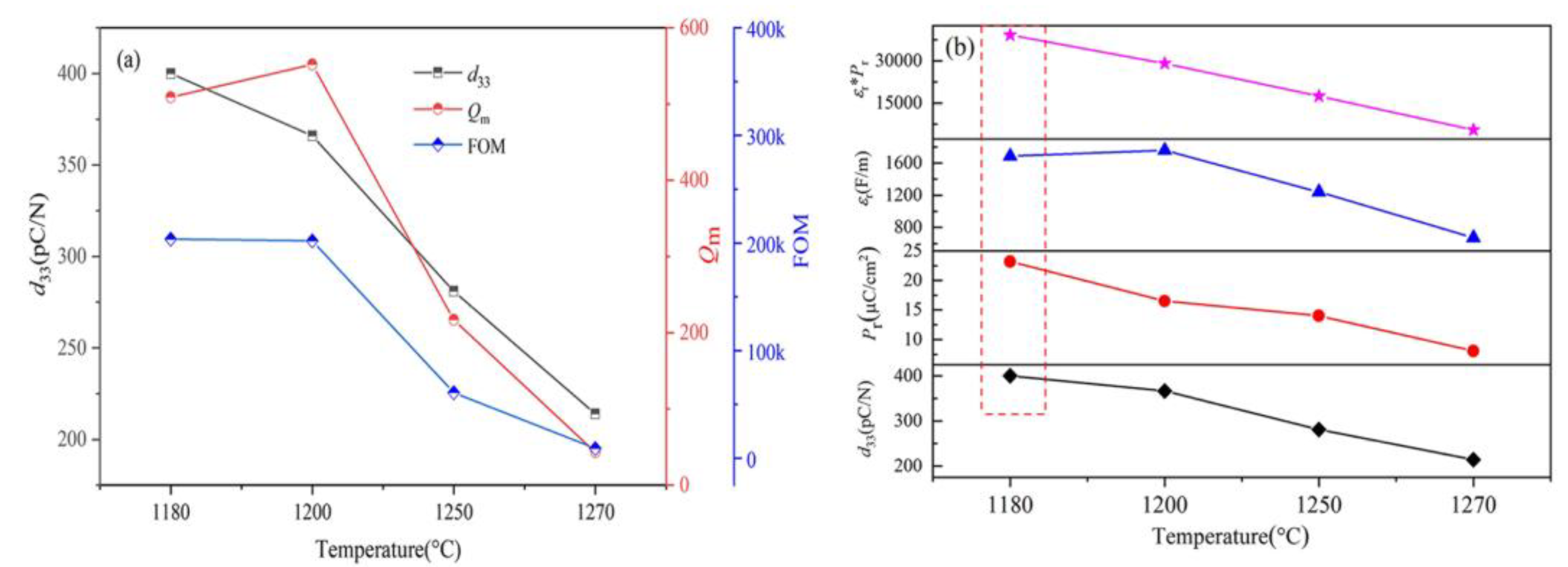
3. Results and Discussion
4. Conclusions
Author Contributions
Funding
Data Availability Statement
Acknowledgments
Conflicts of Interest
References
- Yang, X. R.; Li, W. L.; Qiao, Y. L.; et al. High Energy-Storage Density of Lead-Free (Sr1−1.5xBix)Ti0.99Mn0.01O3 Thin Films Induced by Bi3+-VSr Dipolar Defects. Phys. Chem. Chem. Phys. 2019, 21(29), 16359–16366. [Google Scholar] [CrossRef]
- Clementi, G.; Lombardi, G.; Margueron, S.; et al. LiNbO3 films-A low-cost alternative lead-free piezoelectric material for vibrational energy harvesters. Mech. Syst. Signal Pr. 2020, 149, 107171. [Google Scholar] [CrossRef]
- Brusa, E.; Carrera, A.; Delprete, C. A Review of Piezoelectric Energy Harvesting: Materials, Design, and Readout Circuits. Actuators 2023, 12(12), 457. [Google Scholar] [CrossRef]
- Yan, Y.; Zhou, J. E.; Maurya, D.; et al. Giant Piezoelectric Voltage Coefficient in Grain-Oriented Modified PbTiO3 Material. Nat. Commun. 2016, 7(1), 13089. [Google Scholar] [CrossRef] [PubMed]
- Tressler, J. F.; Alkoy, S.; Newnham, R. E. Piezoelectric Sensors and Sensor Materials. J. Electroceram. 1998, 2(4), 257–272. [Google Scholar] [CrossRef]
- Yang, X.; Li, W.; Zhang, Y.; et al. High Energy Storage Density Achieved in Bi3+-Li+ Co-Doped SrTi0.99Mn0.01O3 Thin Film via Ionic Pair Dooping-Engineering. J. Eur. Ceram. Soc. 2020, 40(3), 706–711. [Google Scholar] [CrossRef]
- Bartasyte, A.; Clementi, G.; Micard, Q.; et al. Material strategies to enhance the performance of piezoelectric energy harvesters based on lead-free materials. J. Micromech. Microeng. 2023, 33(5), 053001. [Google Scholar] [CrossRef]
- Yang, L.; Huang, H.; Xi, Z.; et al. Simultaneously Achieving Giant Piezoelectricity and Record Coercive Field Enhancement in Relaxor-Based Ferroelectric Crystals. Nat. Commun. 2022, 13(1), 2444. [Google Scholar] [CrossRef]
- Wu, H.; Fu, S.; Wang, S.; et al. Electrical Current Visualization Sensor Based on Magneto-Electrochromic Effect. Nano Energy 2022, 98, 107226. [Google Scholar] [CrossRef]
- Zhang, Y.; Jie, W.; Chen, P.; et al. Ferroelectric and Piezoelectric Effects on the Optical Process in Advanced Materials and Devices. Adv. Mater. 2018, 30(34), 1707007. [Google Scholar] [CrossRef]
- Wang, Y.; Wang, S.; Meng, Y.; et al. Pyro-Catalysis for Tooth Whitening via Oral Temperature Fluctuation. Nat. Commun. 2022, 13(1), 4419. [Google Scholar] [CrossRef] [PubMed]
- Li, Z.; Yi, X.; Yang, J.; et al. Designing Artificial Vibration Modes of Piezoelectric Devices Using Programmable, 3D Ordered Structure with Piezoceramic Strain Units. Adv. Mater. 2022, 34(2), 2107236. [Google Scholar] [CrossRef]
- Li, Q.; Dong, G.; Zhao, Y.; et al. High piezoelectric properties and excellent thermal stability in PNN-modified lead zirconate titanate piezoceramics. J. Am. Ceram. Soc. 2025, 108(9), 20643. [Google Scholar] [CrossRef]
- Li, D.; Zeng, X.; Li, Z.; et al. Progress and Perspectives in Dielectric Energy Storage Ceramics. J. Adv. Ceram. 2021, 10(4), 675–703. [Google Scholar] [CrossRef]
- Li, F.; Lin, D.; Chen, Z.; et al. Ultrahigh Piezoelectricity in Ferroelectric Ceramics by Design. Nat. Mater. 2018, 17(4), 349–354. [Google Scholar] [CrossRef]
- Yimnirun, R.; Ananta, S.; Laoratanakul, P. Dielectric and Ferroelectric Properties of Lead Magnesium Niobate-Lead Zirconate Titanate Ceramics Prepared by Mixed-Oxide Method. J. Eur. Ceram. Soc. 2005, 25(13), 3235–3242. [Google Scholar] [CrossRef]
- Wang, H.; Zhang, F.; Chen, Y.; et al. Giant Piezoelectric Coefficient of PNN-PZT-Based Relaxor Piezoelectric Ceramics by Constructing an RT MPB. Ceram. Int. 2021, 47(9), 12284–12291. [Google Scholar] [CrossRef]
- He, C.; Li, X.; Wang, Z.; et al. Growth of Pb(Fe1/2Nb1/2)O3-Pb(Yb1/2Nb1/2)O3-PbTiO3 Piezo-/Ferroelectric Crystals for High Power and High Temperature Applications. Cryst. Eng. Comm 2012, 14(13), 4407–4413. [Google Scholar] [CrossRef]
- Zhang, S.; Lee, S.; Kim, D.; et al. Characterization of Mn-Modified Pb(Mg1/3Nb2/3)O3-PbZrO3-PbTiO3 Single Crystals for High Power Broad Bandwidth Transducers. Appl. Phys. Lett. 2008, 93(12), 122908. [Google Scholar] [CrossRef]
- Xia, Z.; Li, Q. Structural Phase Transformation and Electrical Properties of (0.90-x)Pb(Mg1/3Nb2/3)O3-xPbTiO3 -0.10Pb(Fe1/2Nb1/2)O3 Ferroelectric Ceramics Near the Morphotropic Phase Boundary. Acta Mater. 2007, 55(18), 6176–6181. [Google Scholar] [CrossRef]
- Hou, Y.; Zhu, M.; Gao, F.; et al. Effect of MnO2 Addition on the Structure and Electrical Properties of Pb(Zn1/3Nb2/3)0.20(Zr0.50Ti0.50)0.80O3 Ceramics. J. Am. Ceram. Soc. 2004, 87(5), 847–850. [Google Scholar] [CrossRef]
- Gao, X.; Wu, J.; Yu, Y.; et al. Giant Piezoelectric Coefficients in Relaxor Piezoelectric Ceramic PNN-PZT for Vibration Energy Harvesting. Adv. Funct. Mater. 2018, 28(30), 1706895. [Google Scholar] [CrossRef]
- Zhao, S.; Wu, H.; Sun, Q. Study on PSN-PZN-PZT Quaternary Piezoelectric Ceramics Near the Morphotropic Phase Boundary. Mater. Sci. Eng. B 2005, 123(3), 203–210. [Google Scholar] [CrossRef]
- Wang, Z.; Li, X.; He, C.; et al. Characteristic Electrical Properties of Pb(Sc1/2Nb1/2)O3-PbTiO3 Ferroelectric Crystals. J. Mater. Sci. 2015, 50(11), 3970–3975. [Google Scholar] [CrossRef]
- Huang, T.; Fu, J.; Zuo, R. A Pb(Zr,Ti)O3-Pb(Zn1/3Nb2/3)O3-Bi(Mn2/3Sb1/3)O3 Quaternary Solid Solution Ceramic with Low Sintering Temperature, High Piezoelectric Coefficient and Large Mechanical Quality Factor. J. Mater. Sci.: Mater. Electron. 2019, 30(10), 9540–9546. [Google Scholar] [CrossRef]
- Zhang, H.; Shen, J.; Tian, J.; et al. Elastic, Dielectric and Piezoelectric Properties of Fe2O3 Doped PMnS-PZN-PZT Ceramics. Ferroelectrics 2016, 491(1), 15–26. [Google Scholar] [CrossRef]
- Lee, H. J.; Zhang, S. Design of Low-Loss 1-3 Piezoelectric Composites for High-Power Transducer Applications. IEEE Trans. Ultrason. Ferroelectr. Freq. Control 2012, 59(9), 1969–1975. [Google Scholar]
- Lee, S. M.; Lee, S. H.; Yoon, C. B.; et al. Low-Temperature Sintering of MnO2-Doped PZT-PZN Piezoelectric Ceramics. J. Electroceram. 2007, 18(3), 311–315. [Google Scholar] [CrossRef]
- Dabas, S.; Kumar, M.; Chaudhary, P.; et al. Enhanced Magneto-Electric Coupling and Energy Storage Analysis in Mn-Modified Lead Free BiFeO3-BaTiO3 Solid Solutions. J. Appl. Phys. 2019, 126(13), 134102. [Google Scholar] [CrossRef]
- Yoo, J.; Lee, C.; Jeong, Y.; et al. Microstructural and Piezoelectric Properties of Low Temperature Sintering PMN-PZT Ceramics with the Amount of Li2CO3 Addition. Mater. Chem. Phys. 2005, 90(2-3), 386–390. [Google Scholar] [CrossRef]
- Zhang, S.; Xia, R.; Shrout, T. R. Low Temperature Sintering and Properties of Piezoelectric Ceramics PSNT-Mn with LiBiO2 Addition. Mater. Sci. Eng. B 2006, 129(1-3), 131–134. [Google Scholar] [CrossRef]
- Tan, C. K. I.; Sharifzadeh Mirshekarloo, M.; Lai, S. C.; et al. PNN-PZN-PMN-PZ-PT Multilayer Piezoelectric Ceramic with Low Sintering Temperature. Int. J. Appl. Ceram. Technol. 2016, 13(5), 889–895. [Google Scholar] [CrossRef]
- Li, Z.; Fan, H. Polaron Relaxation Associated with the Localized Oxygen Vacancies in Ba0.85Sr0.15TiO3 Ceramics at High Temperatures. J. Appl. Phys. 2009, 106(5), 054102. [Google Scholar] [CrossRef]
- Chen, Y.; Li, L.; Zhou, Z.; et al. La2O3-Modified BiYbO3-Pb(Zr,Ti)O3 Ternary Piezoelectric Ceramics with Enhanced Electrical Properties and Thermal Depolarization Temperature. J. Adv. Ceram. 2023, 12(8), 1593–1611. [Google Scholar] [CrossRef]
- Zhang, S.; Lebrun, L.; Randall, C. A.; et al. Growth and Electrical Properties of (Mn, F) Co-Doped 0.92Pb(Zn1/3Nb2/3)O3 -0.08PbTiO3 Single Crystal. J. Cryst. Growth 2004, 267(1-2), 204–212. [Google Scholar] [CrossRef]
- Chen, X.; Liao, Y.; Wang, H.; et al. Phase Structure and Electric Properties of Bi0.5(Na0.825K0.175)0.5TiO3 Ceramics Prepared by a Sol-Gel Method. J. Alloys Compd. 2010, 493(1-2), 368–371. [Google Scholar] [CrossRef]
- Chauhan, A.; Patel, S.; Vaish, R. Mechanical Confinement for Improved Energy Storage Density in BNT-BT-KNN Lead-Free Ceramic Capacitors. AIP Adv. 2014, 4(8), 087106. [Google Scholar] [CrossRef]
- Kim, S. W.; Lee, H. C. Development of PZN-PMN-PZT Piezoelectric Ceramics with High d33 and Qm Values. Materials 2022, 15(20), 7070. [Google Scholar] [CrossRef]
- Yang, Y.; Sun, E.; Xu, Z.; et al. Sm and Mn co-doped PMN-PT piezoelectric ceramics: Defect engineering strategy to achieve large d33 and high Qm. J. Mater. Sci. Technol. 2023, 137, 143–151. [Google Scholar] [CrossRef]
- Kamboj, B.; Tanwar, V.; Yadav, A.; et al. Site-Specific Selenium Substitution Enhances Charge Storage Performance in Solid-State Flexible MnFe2O4-Based Supercapacitor Devices via Modulated d-States. Adv. Funct. Mater. 2025, 16045. [Google Scholar]
- Wu, Y.; Cheng, Y.; Guan, S.; et al. KNN-Based Lead-Free Piezoelectric Ceramics with High Qm and Enhanced d33 via a Donor-Acceptor Codoping Strategy. Inorg. Chem. 2023, 62(37), 15094–15103. [Google Scholar] [CrossRef] [PubMed]
- Bian, L.; Zhu, K.; Wang, Q.; et al. Performance Enhancement of Ultrasonic Transducer Made of Textured PNN-PZT Ceramic. J. Adv. Dielectr. 2022, 12(04), 2244003. [Google Scholar] [CrossRef]
- Haertling, G. H. Ferroelectric Ceramics: History and Technology. J. Am. Ceram. Soc. 1999, 82(4), 797–818. [Google Scholar] [CrossRef]
- Zhang, S.; Lee, S. M.; Kim, D. H.; et al. Temperature Dependence of the Dielectric, Piezoelectric, and Elastic Constants for Pb(Mg1/3Nb2/3)O3-PbZrO3-PbTiO3 Piezocrystals. J. Appl. Phys. 2007, 102(11), 114103. [Google Scholar] [CrossRef]
- Feng, Y.; Yang, C.; Guo, X.; et al. Achieving Both Large Piezoelectric Constant and Low Dielectric Loss in BiScO3-PbTiO3–Bi(Mn2/3Sb1/3)O3 High-Temperature Piezoelectric Ceramics. J. Adv. Dielectr. 2022, 12(06), 2250017. [Google Scholar] [CrossRef]
- Zhou, C.; Zhang, J.; Yao, W.; et al. Remarkably Strong Piezoelectricity, Rhombohedral-Orthorhombic-Tetragonal Phase Coexistence and Domain Structure of (K,Na)(Nb,Sb)O3-(Bi,Na)ZrO3-BaZrO3 Ceramics. J. Alloys Compd. 2020, 820, 153411. [Google Scholar] [CrossRef]





| Material | εr | kp | kt | Tc(℃) | d33(pC/N) | Qm | FOM(pC/N) | Ref |
| PMT-PNT-PZ-PT(1180 °C) | 1686 | 0.65 | 304 | 400 | 509 | 2.04×105 | This work | |
| PZT4 | 1300 | 0.58 | 328 | 289 | 500 | 1.50×105 | 43 | |
| PMN-PZT | 216 | 1530 | 100 | 1.53×105 | 44 | |||
| BS–yPT–xBMS | 1384 | 0.50 | 410 | 330 | 84 | 2.80×104 | 45 | |
| KNNS-BNZ-xBZ | 3460 | 0.58 | 0.45 | 610 | 34 | 2.10×104 | 46 |
Disclaimer/Publisher’s Note: The statements, opinions and data contained in all publications are solely those of the individual author(s) and contributor(s) and not of MDPI and/or the editor(s). MDPI and/or the editor(s) disclaim responsibility for any injury to people or property resulting from any ideas, methods, instructions or products referred to in the content. |
© 2026 by the authors. Licensee MDPI, Basel, Switzerland. This article is an open access article distributed under the terms and conditions of the Creative Commons Attribution (CC BY) license.
