Submitted:
25 January 2026
Posted:
27 January 2026
You are already at the latest version
Abstract
Keywords:
1. Introduction
2. Theory: The Concept of Diffusion Impedance
2.1. Model Description
2.2. Laplace Formulation and Diffusion Impedance
3. Cumulative Drug Amount and Effective Transmission
3.1. Ideal Receiver as a Limiting Case
3.2. Diffusively Thin and Diffusively Thick Layer Regimes
3.3. Application to Epidermal Barrier and Backing Layer
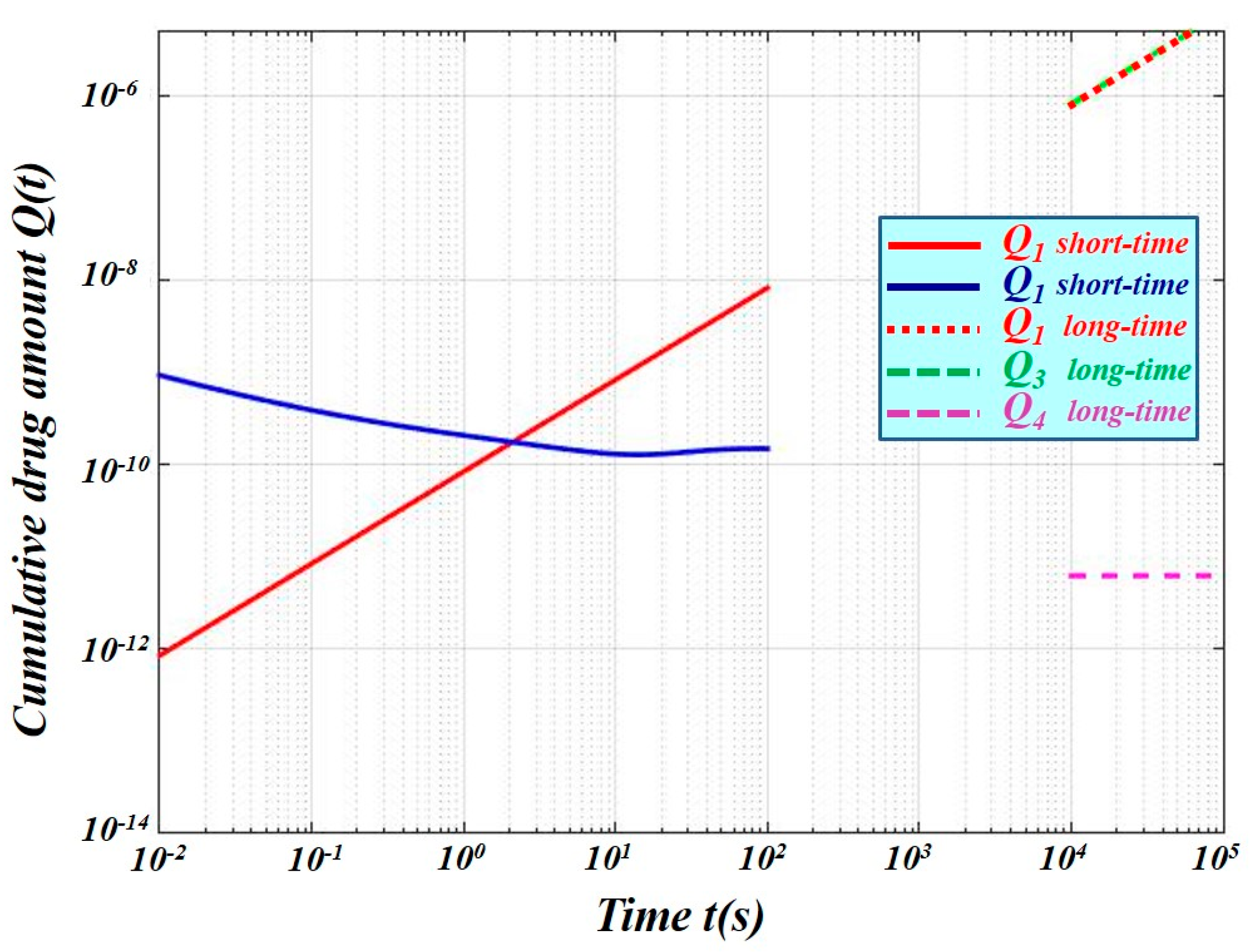
3.4. Characteristic Transport Regimes
- 1)
- Backing layer as an ideal receiver
- 2)
- Diffusively thick backing layer (long-time limit)
- 3)
- Diffusively thin backing layer with ideal receiver (Dirichlet boundary) -short-time limit
- 4)
- Diffusively thin backing layer with insulating distal boundary ((Neumann boundary)-short tim limit
4. Summary
4.1. Regime Dependence of Cumulative Drug Transport
4.2. Practical Implications for Transdermal Drug Delivery
- The effectiveness of the epidermal barrier is not an intrinsic property, but is dynamically controlled by the transport properties of the backing layer.
- Early-time drug delivery is governed primarily by the diffusivity and thickness of the backing layer, while being insensitive to the distal boundary condition.
- Long-time cumulative uptake becomes highly sensitive to the distal boundary condition once the backing layer becomes diffusively thin.
5. Conclusions
Author Contributions
Funding
Institutional Review Board Statement
Informed Consent Statement
Data Availability Statement
Acknowledgments
Conflicts of Interest
References
- Fernandes, M; Simon, L; Loney, NW. Mathematical modeling of transdermal drug delivery systems: analysis and applications. J Membr Sci 2005, 256, 184–92. [Google Scholar] [CrossRef]
- Pontrelli, G; de Monte, F. A two-phase two-layer model for transdermal drug delivey and percutaneous adsorption. Math Biosci 2014, 257, 96–103. [Google Scholar] [CrossRef] [PubMed]
- Simon, L. Repeated application of a transdermal patch: analytical solutions and optimal control of the delivery rate. Math Biosci 2007, 209, 593–607. [Google Scholar] [CrossRef] [PubMed]
- Jepps, OG; Daneik, Y; Anissimov, YG; Roberts, MS. Modeling the human skin barrier. Towards a better understanding of dermal adsorption. Adv Drug Deliv Rev 2013, 65, 152–68. [Google Scholar] [CrossRef]
- Dominik, Selzer; Dirk, Neumann; Schaefer Ulrich, F. Mathematical models for dermal drug absorption. Expert Opin Drug Metab Toxicol 2015, 11(10), 1–17. [Google Scholar] [CrossRef]
- Anissimov, YG; Jepps, OG; Dancik, Y; Roberts, MS. Mathematical and farmacokinetics modelling of epidermal and dermo transport processes. Adv Drug Deliv Rev 2013, 65, 169–90. [Google Scholar] [CrossRef]
- Rim Jee, E; Pinsky Peter, M; van Osdol William, W. Finite element modeling of coupled diffusion with partitioning in transdermal drug delivery. Ann Biomed Eng 2005, 33(10), 1422–38. [Google Scholar] [CrossRef]
- Naegel, A; Wittum, G. Detailed modelling of skin penetration: an overview. Adv Drug Deliv Reviews 2013, 65, 191–207. [Google Scholar] [CrossRef]
- Jonsdóttir, F.; Snorradóttir, B. S.; Gunnarsson, S.; Georgsdóttir, E.; Sigurdsson, S. Transdermal drug delivery: Determining permeation parameters using tape stripping and numerical modeling. Pharmaceutics 2022, 14(9), 1880. [Google Scholar] [CrossRef]
- Jonsdottir, F.; Finsen, O.I.; Snorradottir, B.S.; Sigurdsson, S. A, Four-Layer Numerical Model for Transdermal Drug Delivery: Parameter Optimization and Experimental Validation Using a Franz Diffusion Cell. Pharmaceutics 2025, 17, 1333. [Google Scholar] [CrossRef]
- Jones, JG; White, KAJ; Delgado-Charro, MB. A mechanicistic approach to modelling the formation of a drug reservoir in the skin. Math Biosci 2016, 281, 36–45. [Google Scholar] [CrossRef]
- Yean, Teh Su; Tanko, D. N.; Goh, C. F.; Sim, Y. S. Mathematical model for estimating skin permeation parameters. ASM Science Journal 2025, 20(1). [Google Scholar] [CrossRef]
- Defraeye, T.; Bahrami, F.; Rossi, R. M. Inverse mechanistic modeling of transdermal drug delivery for fast identification of optimal model parameters. Frontiers in Pharmacology 2021, 12, 641111. [Google Scholar] [CrossRef]
- Caputo, M; Cametti, C; Ruggero, V. Time and spatial concentration profile inside a membrane by means of a memory formalism. Physica A 2008, 387, 2010–8. [Google Scholar] [CrossRef]
- Dokoumetzidis, A; Magin, R; Macheras, P. Fractional kinetics in multi-compartmental systems. J Pharmacokinet Pharmacodyn 2010, 37, 507–24. [Google Scholar] [CrossRef]
- Carr, EJ; March, NG; Kaoui, B; Laciricella, M; Pontrelli, G.; Semi-analytical solution of multilayer diffusion problems with time-varying boundary conditions and general interface conditions. Mechanistic modeling. Applied Mathematics and Computation 2020, 333, 286–303. [Google Scholar] [CrossRef]
- Cukic, M.; Galovic, S. Mathematical modeling of anomalous diffusive behavior in transdermal drug-delivery including timedelayed flux concept. Chaos Solitons Fractals 2023, 172, 113584. [Google Scholar] [CrossRef]
- Galovic, S.; Cukic, M.; Chevizovich, D. Inertial memory effects in molecular transport across nanoporous membranes. Membranes 2025, 15*(1), 11. [Google Scholar] [CrossRef]
- Caputo, M; Cametti, C. Diffusion through skin in the light of a fractional derivative approach: progress and challenges. J Pharmacokinet Pharmacodyn 2021, 48, 3–19. [Google Scholar] [CrossRef]
- Inglezakis, V.J. The concept of “capacity” in zeolite ion-exchange systems. J. Colloid Interface Sci. 2005, 281, 68–79. [Google Scholar] [CrossRef]
- Popovic’, A.; Šoškic’, Z.; Stojanovic’, Z.; Cˇ evizovic’, D.; Galovic’, S. On the applicability of the effective medium approximation to the photoacoustic response of multilayered structures. Phys. Scr. 2012, 2012, 014066. [Google Scholar] [CrossRef]
- Albert, Comptey; Ralf, Metzlerz. The generalized Cattaneo equation for the description of anomalous transport processes. J. Phys. A: Math. Gen. 1997, 30, 7277–89. [Google Scholar] [CrossRef]
- Wang, W.; Cherstvy, A. G.; Metzler, R.; Sokolov, I. M. Restoring ergodicity of stochastically reset anomalous-diffusion processes. Physical Review Research 2022, 4, 013161. [Google Scholar] [CrossRef]
- Rajyaguru, A.; Metzler, R.; Cherstvy, A. G.; Berkowitz, B. Quantifying anomalous chemical diffusion through disordered porous rock materials. Physical Chemistry Chemical Physics 2025, 27, 9056–9067. [Google Scholar] [CrossRef] [PubMed]
- Lenzi, EK; Somer, A; Zola, RS; da Silva, RS; Lenzi, MK. A generalized diffusion equation: solutions and anomalous diffusion. Fluids 2023, 8(34). [Google Scholar] [CrossRef]
- Cesarone, F; Caputo, M; Camettia, C. Memory formalism in the passive diffusion across, highly heterogeneous systems. J Membr Sci 2005, 250, 79–84. [Google Scholar] [CrossRef]
- Galovic, S.; Popovic, M. N.; Chevizovich, D. Electrical analogy approach to fractional heat conduction models. Fractal and Fractional 2025, 9(10), 653. [Google Scholar] [CrossRef]
- Lee, Y.; Hwang, K. Skin thickness of Korean adults. Surgical and Radiologic Anatomy 2002, 24(3–4), 183–189. [Google Scholar] [CrossRef]
- Yang, X.; Cui, Y.; Yue, J.; He, H.; Yu, C.; Liu, P.; Liu, J.; Ren, X.; Meng, Y. The histological characteristics, age-related thickness change of skin, and expression of the HSPs in the skin during hair cycle in yak (Bos grunniens). PLoS ONE 2017, 12(5), e0176451. [Google Scholar] [CrossRef]
- Roberts, G.E.; Kaufman, H. Table of Laplace Transform; W.B. Saunders Company: Philadelphia, PA, USA; London, UK, 1966. [Google Scholar]
- Schiff, J. L. *The Laplace Transform: Theory and Applications; Springer, 1999. [Google Scholar]
- Kreft, J.-U.; Zuber, A. On the physical meaning of diffusion coefficients derived from Laplace transforms with √s. Journal of Mathematical Biology 1991, 30(6), 525–543. [Google Scholar]
- Lynn, P.A. The Laplace Transform and the Z-Transform. In Electronic Signals and Systems; Macmillan Education: London, UK, 1986; pp. 225–272. ISBN 978-0-333-39164-8. [Google Scholar]
- Stojic, M. Continuous System of Automatic Control; (In Serbian). Naucna Knjiga-Komerc: Belgrade, Serbia, 1991. [Google Scholar]
- LaCount, T. D.; Zhang, Q.; Hao, J.; Ghosh, P.; Raney, S. G.; Talattof, A.; Kasting, G. B.; Li, S. K. Modeling temperature-dependent dermal absorption and clearance for transdermal and topical drug applications. AAPS Journal 2020, 22(3), 70. [Google Scholar] [CrossRef]




Disclaimer/Publisher’s Note: The statements, opinions and data contained in all publications are solely those of the individual author(s) and contributor(s) and not of MDPI and/or the editor(s). MDPI and/or the editor(s) disclaim responsibility for any injury to people or property resulting from any ideas, methods, instructions or products referred to in the content. |
© 2026 by the authors. Licensee MDPI, Basel, Switzerland. This article is an open access article distributed under the terms and conditions of the Creative Commons Attribution (CC BY) license.