Submitted:
09 February 2026
Posted:
11 February 2026
Read the latest preprint version here
Abstract
Keywords:
1. Introduction
2. Methodology
2.1. Study Area Definition and Ring-Based Analysis Zones
2.2. Context Covariates: Topography and Rasterized Hydrographic/Settlement Layers
2.3. Sentinel-2 Indices and Monthly Compositing (TIF23 Disturbance Stack; TIF22 Water-Proxy Stack)
2.4. Hydrology and Erosion-Driver Layers (Ring-Compatible Footprint)
2.5. Integrated Impact-Driver Stack (TIF24) and Baseline-to-Recent Change Metrics
2.6. Export Conventions and Reproducibility Controls
2.7. Zonal Feature Extraction over Analysis Zones
2.8. Pixel-Wise Temporal Feature Construction from Monthly Predictor Stacks
2.9. Model 2: Impact Scoring via Robust Normalization and Percentile Aggregation
2.10. Scientific Validation and Triangulation Using Field Sediment Observations
2.11. Model 3: Field-Based Triangulation Using Multi-Scale Raster Sampling
2.11.1. Multi-Scale Feature Extraction at Field Locations
2.11.2. Predictor Screening and Dimensionality Control
2.11.3. Cross-Validated Calibration and Significance Screening
2.12. Model 4: Phase-Timed Financial Costing and Present-Value Screening
2.13. Model 5: Sensitivity Analysis, Monte Carlo Uncertainty, Exceedance Risk, and 2060 Projections
2.14. Limitations
3. Results
3.1. Model 1 — Baseline Conditions and Recent-Change Signals
3.2. Model 2 — Impact Scoring and Prioritization Surfaces
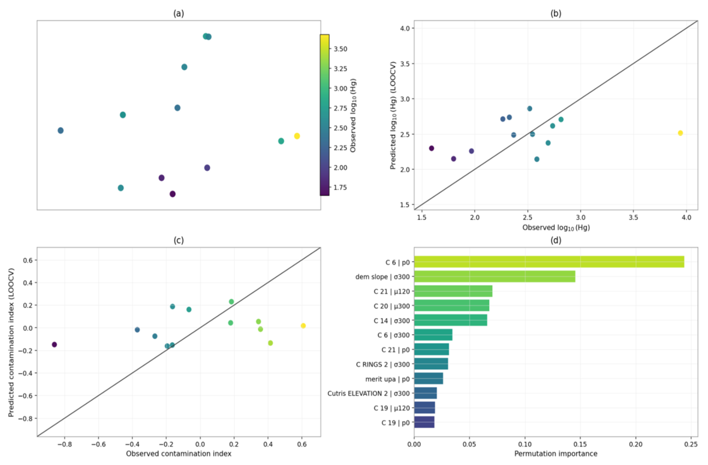
3.3. Model 3 — Field-Anchored Screening Performance for Mercury and a Composite Contamination Index
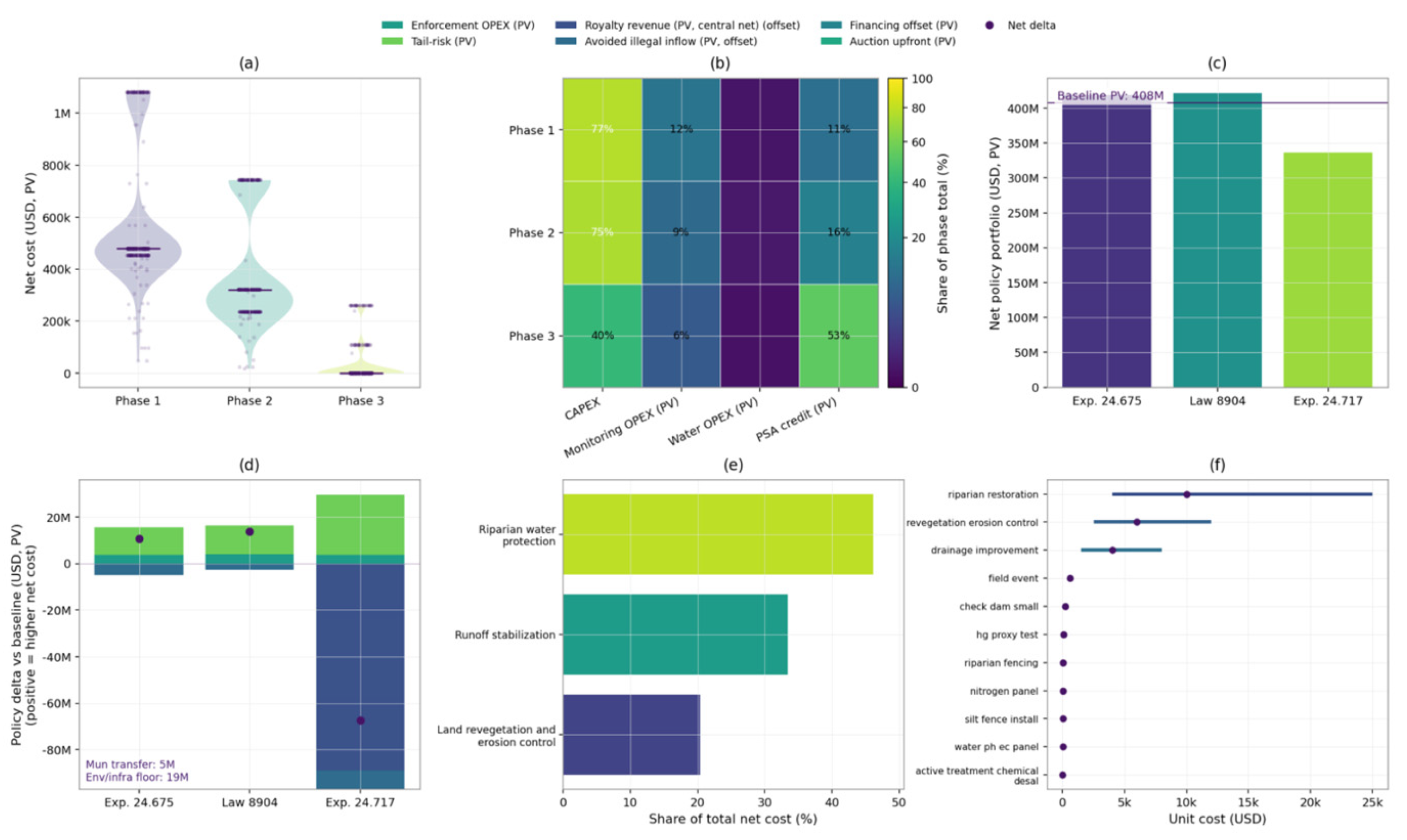
3.4. Model 4 — Deterministic Financial Assurance Costs by Phase and Remediation Package (Baseline Portfolio)
3.5. Model 4 — Policy-Pathway Effects (Deterministic Overlays)
3.6. Model 5 — 2060 Projections and Policy Ranking Summary
4. Discussion
5. Conclusions
Supplementary Materials
Data availability
Ethics statement
Declaration of generative AI and AI-assisted technologies in the manuscript preparation process
Competing interests
References
- Adamek, K.; Lupa, M.; Zawadzki, M. Remote sensing techniques for tracking changes caused by illegal gold mining in Madre de Dios, Peru. Miscellanea Geographica – Regional Studies on Development 2021, 25, 205–212. [Google Scholar] [CrossRef]
- Alessi, M. A.; Chirico, P. G.; Millones, M. Artisanal mining river dredge detection using SAR: A method comparison. Remote Sensing 2023, 15, 5701. [Google Scholar] [CrossRef]
- Arrieta, E. ¿Qué debe hacer Costa Rica con la mina de Crucitas que valdría $3 mil millones? La República. 2024. Available online: https://www.larepublica.net/noticia/que-debe-hacer-costa-rica-con-la-mina-de-crucitas-que-valdria-3-mil-millones.
- Arrieta, E. Explotación de oro de Crucitas es un proyecto que duraría más de 5 años en arrancar [Article in Spanish]. La República, 30 July 2024. Available online: https://www.larepublica.net/noticia/explotacion-de-oro-de-crucitas-es-un-proyecto-que-duraria-mas-de-5-anos-en-arrancar.
- Asamblea Legislativa de la República de Costa Rica. Proyecto de ley: Expediente 24.577 (texto base) [PDF]. 2024. Available online: https://d1qqtien6gys07.cloudfront.net/wp-content/uploads/2024/09/24577.pdf.
- Asamblea Legislativa de la República de Costa Rica. Proyecto de ley, Expediente N.° 24.667 (texto base) [PDF]. n.d.-a. Available online: https://d1qqtien6gys07.cloudfront.net/wp-content/uploads/2024/10/24667.pdf.
- Asamblea Legislativa de la República de Costa Rica. Proyecto de ley, Expediente N.° 24.717 (texto base) [PDF]. n.d.-b. Available online: https://d1qqtien6gys07.cloudfront.net/wp-content/uploads/2024/10/24717.pdf.
- Asia-Pacific Economic Cooperation (APEC) Mining Task Force. Mine closure: Checklist for governments (February 2018). APEC Secretariat. 2018. Available online: https://www.apec.org/docs/default-source/Publications/2018/3/Mine-Closure-Checklist-for-Governments/218_MTF_Mine-Closure_Checklist-for-Governments.pdf.
- Astorga, Y. Inconveniencia de la minería en Crucitas. Ambientico 2009, 8–9. Available online: https://www.ambientico.una.ac.cr/articulo/inconveniencia-de-la-mineria-en-crucitas/.
- Banco Central de Costa Rica (BCCR). Tipo de cambio anunciado en ventanilla. 20 January 2026. Available online: https://gee.bccr.fi.cr/IndicadoresEconomicos/Cuadros/frmConsultaTCVentanilla.aspx.
- Biamonte, G. Proyecto minero Crucitas: Lo que sucedió y lo que pudo suceder. In Revista Ambientico; 1 March 2011; pp. 3–4. Available online: https://www.ambientico.una.ac.cr/wp-content/uploads/tainacan-items/5/21760/210_3-4.pdf.
- Blanco Obando, E. E. Megaminería aurífera, conflicto ambiental y acción colectiva: características y relaciones para el caso de Costa Rica. Revista Estudios 2021, 489–511. [Google Scholar] [CrossRef]
- Bocoum, B.; Hund, K. L.; Tadevosyan, N.; McMahon, G. J. R.; Floroiu, R.; Minasyan, G.; Wang, Q. Mine closure: A toolbox for governments . In World Bank; 2021; Available online: https://documents1.worldbank.org/curated/en/278831617774355047/pdf/Mine-Closure-A-Toolbox-for-Governments.pdf.
- Bolaños, E. A.; Ubaque Calixto, C. La multinacional del oro que abrió las puertas a la minería ilegal en Costa Rica [Article in Spanish]. Divergentes. 16 November 2025. Available online: https://www.divergentes.com/multinacional-del-oro-abrio-las-puertas-mineria-ilegal-tierras-protegidas-costa-rica/.
- Brock, D.; Slight, M.; McCombe, C. Financial concepts for mine closure: Information document. International Council on Mining and Metals (ICMM), 2019. Available online: https://www.icmm.com/en-gb/guidance/environmental-stewardship/2019/financial-concepts-for-mine-closure.
- Brown, C. F.; Brumby, S. P.; Guzder-Williams, B.; Birch, T.; Hyde, S. B.; Mazzariello, J.; Czerwinski, W.; Pasquarella, V. J.; Haertel, R.; Ilyushchenko, S.; Schwehr, K.; Weisse, M.; Stolle, F.; Hanson, C.; Guinan, O.; Moore, R.; Tait, A. M. Dynamic World: Near real-time global 10 m land use land cover mapping. Scientific Data 2022, 9, 251. [Google Scholar] [CrossRef]
- Bureau of Labor Statistics. Historical CPI-U (2017-10) [PDF]. 2017. Available online: https://www.bls.gov/cpi/tables/historical-cpi-u-201710.pdf.
- Bureau of Labor Statistics. Consumer Price Index historical tables for U.S. city average (CPI-U). n.d. Available online: https://www.bls.gov/regions/mid-atlantic/data/consumerpriceindexhistorical_us_table.htm.
- Campos-Guevara, O.; Camacho-Álvarez, M. M.; Retana-Alvarado, D. A.; Quirós-Gómez, L. D. Mercurio: Percepción centroamericana sobre su riesgo y el manejo esperado por actores del eje hogar-comunidad-país [Mercury: Central American perception of its risk and the expected management by actors of the household–community–country axis]. Revista Latinoamericana de Educación Científica, Crítica y Emancipadora (LadECiN) 2022, 1, 1–26. [Google Scholar] [CrossRef]
- Center for International Earth Science Information Network (CIESIN). Gridded Population of the World, Version 4.11 (GPWv4.11): Population count [Data set]. In NASA Socioeconomic Data and Applications Center (SEDAC); Columbia University., 2018. [Google Scholar] [CrossRef]
- Cerdas, D. Tribunal ordena pagar $6,4 millones por los daños ambientales de minera en Cutris. La Nación. 24 November 2015. Available online: https://www.nacion.com/el-pais/salud/tribunal-ordena-pagar-64-millones-por-los-danos-ambientales-de-minera-en-cutris/Q3XYZREOVZGKJI2RYZTOSSCJVY/story/.
- Chambers, D. M. Net present value calculations for mining post-closure financial assurance. Mine Water and the Environment 2024, 43, 511–515. [Google Scholar] [CrossRef]
- Colindres Lagos, S. MSP neutraliza 34 túneles de minería ilegal en operativo en Crucitas [Article in Spanish]. Despertar.cr. 12 December 2025. Available online: https://www.despertar.cr/articulo/nacionales/msp-neutraliza-34-tuneles-mineria-ilegal-operativo-crucitas/20251212145407011882.html.
- Copernicus/ESA. Sentinel-2 SR Harmonized (COPERNICUS/S2_SR_HARMONIZED) [Data set]. Google Earth Engine Data Catalog. n.d. Available online: https://developers.google.com/earth-engine/datasets/catalog/COPERNICUS_S2_SR_HARMONIZED.
- Copernicus Programme. Copernicus DEM GLO-30: Global 30m digital elevation model [Data set]. Google Earth Engine Data Catalog. n.d. Available online: https://developers.google.com/earth-engine/datasets/catalog/COPERNICUS_DEM_GLO30.
- Costa Rica; Sistema Costarricense de Información Jurídica (SCIJ). Ley N.° 8904. 2010. Available online: https://pgrweb.go.cr/scij/Busqueda/Normativa/Normas/nrm_texto_completo.aspx?param1=NRTC&nValor1=1&nValor2=68916&nValor3=82279&strTipM=TC.
- Delfino, D. Investigación internacional detalla ampliación de la minería ilegal en Crucitas y cuestiona exportaciones de oro del país [Article in Spanish]. Delfino.cr. 4 December 2025. Available online: https://delfino.cr/2025/12/investigacion-internacional-detalla-ampliacion-de-la-mineria-ilegal-en-crucitas-y-cuestiona-exportaciones-de-oro-del-pais.
- Delfino.cr Asamblea: Expediente 24.717. n.d.-a. Available online: https://delfino.cr/asamblea/proyecto/24717.
- Delfino, cr. Asamblea: Proyecto de ley, Expediente 24.577. Available online: https://delfino.cr/asamblea/proyecto/24577.
- Department of Mines; Industry Regulation and Safety (DMIRS). Mine closure plan guidance – How to prepare in accordance with Part 1 of the Statutory Guidelines for Mine Closure Plans (Version 4.0). Government of Western Australia. 2023. Available online: https://www.wa.gov.au/system/files/2025-11/preparing_mine_closure_plans.pdf.
- Drusch, M.; Del Bello, U.; Carlier, S.; Colin, O.; Fernandez, V.; Gascon, F.; Hoersch, B.; Isola, C.; Laberinti, P.; Martimort, P.; Meygret, A.; Spoto, F.; Sy, O.; Marchese, F.; Bargellini, P. Sentinel-2: ESA’s optical high-resolution mission for GMES operational services. Remote Sensing of Environment 2012, 120, 25–36. [Google Scholar] [CrossRef]
- Earthworks. Zortman–Landusky expenditures (reclamation and water treatment). 2018. Available online: https://earthworks.org/assets/uploads/2018/07/Zortman-Expenditures.pdf.
- Esquivel Solano, N.; Rivera, E. Abangares: Washing the illegal gold from Crucitas. The Voice of Guanacaste. 10 September 2024. Available online: https://vozdeguanacaste.com/en/abangares-washing-illegal-gold-crucitas/.
- European Union/ESA/Copernicus. Sentinel-1 SAR GRD: C-band Synthetic Aperture Radar Ground Range Detected, log scaling (COPERNICUS/S1_GRD) [Data set]. Google Earth Engine Data Catalog. n.d. Available online: https://developers.google.com/earth-engine/datasets/catalog/COPERNICUS_S1_GRD.
- Federal Reserve. Statement on longer-run goals and monetary policy strategy. n.d. Available online: https://www.federalreserve.gov/monetarypolicy/strategy.htm.
- Funk, C.; Peterson, P.; Landsfeld, M.; Pedreros, D.; Verdin, J.; Shukla, S.; Husak, G.; Rowland, J.; Harrison, L.; Hoell, A.; Michaelsen, J. The Climate Hazards Infrared Precipitation with Stations—A new environmental record for monitoring extremes. Scientific Data 2015, 2, 150066. [Google Scholar] [CrossRef]
- Gazel, E.; Alfaro, G.; Arauz, A. J.; Sánchez-Murillo, A.; Alfaro, R.B.; Murillo, A.S. Contaminación con mercurio y drenaje ácido causada por la minería ilegal en Crucitas . (Informe técnico) [Technical report]. 2019. Available online: https://d1qqtien6gys07.cloudfront.net/wp-content/uploads/2019/01/Informe_Contaminacion-en-Crucitas-Mineria-ilegal.pdf.
- Gorelick, N.; Hancher, M.; Dixon, M.; Ilyushchenko, S.; Thau, D.; Moore, R. Google Earth Engine: Planetary-scale geospatial analysis for everyone. Remote Sensing of Environment 2017, 202, 18–27. [Google Scholar] [CrossRef]
- Government Accountability Office. EPA’s expenditures to clean up the Bunker Hill Superfund Site (GAO-01-431R). 2001. Available online: https://www.gao.gov/products/gao-01-431r.
- Hansen, M. C.; Potapov, P. V.; Moore, R.; Hancher, M.; Turubanova, S. A.; Tyukavina, A.; Thau, D.; Stehman, S. V.; Goetz, S. J.; Loveland, T. R.; Kommareddy, A.; Egorov, A.; Chini, L.; Justice, C. O.; Townshend, J. R. G. High-resolution global maps of 21st-century forest cover change. Science 2013, 342, 850–853. [Google Scholar] [CrossRef]
- Hansen/UMD/Google/USGS/NASA. Hansen Global Forest Change v1.11 (2000–2023) (UMD/hansen/global_forest_change_2023_v1_11) [Data set; deprecated]. Google Earth Engine Data Catalog. n.d. Available online: https://developers.google.com/earth-engine/datasets/catalog/UMD_hansen_global_forest_change_2023_v1_11.
- Hattingh, R.; Stevens, R.; Bliss, M. Global review: Financial assurance governance for the post-mining transition; International Institute for Sustainable Development (IISD) / Intergovernmental Forum on Mining, Minerals, Metals and Sustainable Development (IGF), 2021; Available online: https://www.iisd.org/system/files/2021-09/financial-assurance-governance-for-post-mining-transition.pdf.
- Hengl, T.; Wheeler, I. Soil organic carbon content in × 5 g/kg at 6 standard depths (0, 10, 30, 60, 100 and 200 cm) at 250 m resolution (Version v02) [Data set]. Zenodo, 2018. [Google Scholar] [CrossRef]
- Hengl, T. Clay content in % (kg/kg) at 6 standard depths (0, 10, 30, 60, 100 and 200 cm) at 250 m resolution (Version v02) [Data set]. Zenodo, 2018a. [Google Scholar] [CrossRef]
- Hengl, T. Soil pH in H2O at 6 standard depths (0, 10, 30, 60, 100 and 200 cm) at 250 m resolution (Version v02) [Data set]. Zenodo, 2018b. [Google Scholar] [CrossRef]
- Hidalgo, K. Vecinos descubren 20 nuevos puntos de extracción ilegal de oro tomados por coligalleros en San Carlos [Article in Spanish]. AmeliaRueda.com. 15 October 2025. Available online: https://ameliarueda.com/noticia/vecinos-descubren-nuevos-puntos-extraccion-ilegal-oro-san-carlos-noticias-costa-rica#google_vignette.
- Intergovernmental Forum on Mining; Minerals; Metals and Sustainable Development. Mine closure: Checklist for governments. 2019. Available online: https://www.igfmining.org/wp-content/uploads/2019/04/218_MTF_Mine-Closure_Checklist-for-Governments-1.pdf.
- International Council on Mining and Metals. Integrated mine closure: Good practice guide, 2nd ed.; ICMM, 2019; Available online: https://www.mineclosure.net/elibrary/integrated-mine-closure-good-practice-guide-2nd-edition.
- Jiménez, A. Gobierno presenta proyecto para permitir la minería en Crucitas: el Estado recibiría 5% de ganancias. El País (Costa Rica). 3 October 2024. Available online: https://www.elpais.cr/2024/10/03/gobierno-presenta-proyecto-para-permitir-la-mineria-en-crucitas-el-estado-recibiria-5-de-ganancias/.
- La Nación. Daño ambiental en Crucitas fue valorado en $10,4 millones. La Nación. 8 August 2012. Available online: https://www.nacion.com/el-pais/servicios/dano-ambiental-en-crucitas-fue-valorado-en-104-millones/6A2ST7YOMBA7HFSWQ5XPTPKOUM/story/.
- Lobo, F. D. L.; Costa, M.; Novo, E. M. L. d. M.; Telmer, K. Distribution of artisanal and small-scale gold mining in the Tapajós River Basin (Brazilian Amazon) over the past 40 years and relationship with water siltation. Remote Sensing 2016, 8, 579. [Google Scholar] [CrossRef]
- Madrigal, L. M. Presentan proyecto de ley para recuperar ambientalmente la zona impactada por minería ilegal en Crucitas. Delfino.cr. 31 October 2024. Available online: https://delfino.cr/2024/10/presentan-proyecto-de-ley-para-recuperar-ambientalmente-la-zona-impactada-por-mineria-ilegal-en-crucitas.
- Mahlohla, M. B.; Masindi, V.; Muedi, K. L.; Tekere, M.; Baloyi, J. S.; Foteinis, S. Resource recovery and water reclamation from acid mine drainage: Market analysis, industry trends, and future research directions. Desalination and Water Treatment 2026, 325, 101632. [Google Scholar] [CrossRef]
- Martínez, A. Cuatro proyectos pretenden intervenir Crucitas: ¿Qué proponen? [Article in Spanish]. Delfino.cr. 25 November 2024. Available online: https://delfino.cr/2024/11/cuatro-proyectos-pretenden-intervenir-crucitas-que-proponen.
- Martínez, A. Geólogos apoyan proyecto de minería en Crucitas, pero se oponen a modelo de subasta propuesto por el Ejecutivo [Article in Spanish]. Delfino.cr. 16 October 2025. Available online: https://delfino.cr/2025/10/geologos-apoyan-proyecto-de-mineria-en-crucitas-pero-se-oponen-a-modelo-de-subasta-propuesto-por-el-ejecutivo.
- Maus, V.; Giljum, S.; da Silva, D. M.; Gutschlhofer, J.; da Rosa, R. P.; Luckeneder, S.; Gass, S. L. B.; Lieber, M.; McCallum, I. An update on global mining land use. Scientific Data 2022, 9, 433. [Google Scholar] [CrossRef] [PubMed]
- Means, B. A computer-based model for estimating mine drainage treatment costs (AMDTreat); American Society of Mining and Reclamation (ASMR), 2000; Available online: https://www.asrs.us/wp-content/uploads/2021/09/1249-Means.pdf.
- Mine Environment Neutral Drainage (MEND). Acid mine drainage—Status of chemical treatment and sludge management practices (Report 3321). 1994. Available online: https://mend-nedem.org/wp-content/uploads/3321.pdf.
- Mine Environment Neutral Drainage (MEND). Treatment of acid mine drainage (IW-05). 2005. Available online: https://mend-nedem.org/wp-content/uploads/IW-05.pdf.
- Ministerio de Agricultura y Ganadería (MAG). Manual de instalación de barreras con geotextil “silt fence” para la medición de la erosión en parcelas experimentales. 2007. Available online: https://www.mag.go.cr/bibliotecavirtual/P36-2565.pdf.
- Ministerio de Ambiente y Energía (MINAE); Fondo Nacional de Financiamiento Forestal (FONAFIFO). Resolución R-570-2025-MINAE (PSA 2025–2026): Actividades y montos de pago (Alcance N.° 130 a La Gaceta N.° 188) [PDF]. 8 October 2025. Available online: https://www.fonafifo.go.cr/media/4642/alcance-n-130-a-la-gaceta-n-188_r-570-2025-minae.pdf.
- Monge, G.; Chassot, O. Minería en Crucitas y conservacionismo tico. Revista Ambientico 2009, (185), 3–5. Available online: https://www.ambientico.una.ac.cr/wp-content/uploads/tainacan-items/5/19301/185_3-5.pdf.
- Moomen, A.-W.; Lacroix, P.; Benvenuti, A.; Planque, M.; Piller, T.; Davis, K.; Miranda, M.; Ibrahim, E.; Giuliani, G. Assessing the Applications of Earth Observation Data for Monitoring Artisanal and Small-Scale Gold Mining (ASGM) in Developing Countries. Remote Sensing 2022, 14, 2971. [Google Scholar] [CrossRef]
- Muñoz-Sabater, J.; Dutra, E.; Agustí-Panareda, A.; et al. ERA5-Land: A state-of-the-art global reanalysis dataset for land applications. Earth System Science Data 2021, 13, 4349–4383. [Google Scholar] [CrossRef]
- NASA Jet Propulsion Laboratory. NASADEM merged DEM global 1 arc second V001 [Data set]. In NASA EOSDIS Land Processes DAAC; 2020. [Google Scholar] [CrossRef]
- New South Wales Government; Department of Regional NSW—Resources. Rehabilitation Cost Estimation Tool: User manual (October 2025). 2025). Rehabilitation Cost Estimation Tool: User manual (October 2025. Available online: https://www.resources.nsw.gov.au/sites/default/files/2025-10/rehabilitation-cost-estimation-tool-user-manual-october-2025.pdf.
- Observatorio de Bienes Comunes. Expediente legislativo 24.717: Crucitas entre el Oro y la Naturaleza: ¿Qué Camino Elegirá Costa Rica? [Blog post in Spanish]. 17 March 2025. Available online: https://bienescomunes.fcs.ucr.ac.cr/expediente-legislativo-24-717-crucitas-entre-el-oro-y-la-naturaleza-que-camino-elegira-costa-rica/.
- Office of Surface Mining Reclamation and Enforcement (OSMRE). AMDTreat. n.d. Available online: https://www.osmre.gov/programs/reclaiming-abandoned-mine-lands/amdtreat.
- Pekel, J.-F.; Cottam, A.; Gorelick, N.; Belward, A. S. High-resolution mapping of global surface water and its long-term changes. Nature 2016, 540, 418–422. [Google Scholar] [CrossRef]
- Pomareda García, F. Propuesta de Gobierno abre puertas a explotar oro a cielo abierto en un territorio mayor al proyecto de Crucitas [Article in Spanish]. Semanario Universidad. 18 June 2025. Available online: https://semanariouniversidad.com/pais/propuesta-de-gobierno-abre-puertas-a-explotar-oro-a-cielo-abierto-en-un-territorio-mayor-al-proyecto-de-crucitas/.
- Procuraduría General de la República (PGR); Sistema Costarricense de Información Jurídica (SCIJ). Lista oficial de precios mínimos de pruebas de laboratorio (incluye “Mercurio en sangre”). n.d. Available online: https://pgrweb.go.cr/scij/Busqueda/Normativa/Normas/nrm_texto_completo.aspx?nValor1=1&nValor2=92889.
- Redacción La República. Costa Rica recibiría grandes ventajas al explotar la mina de Crucitas de forma inteligente: Giorgio Murillo [Article in Spanish]. La República. 31 August 2023. Available online: https://www.larepublica.net/noticia/costa-rica-recibiria-grandes-ventajas-al-explotar-la-mina-de-crucitas-de-forma-inteligente-giorgio-murillo.
- Responsible Jewellery Council (RJC). (COP 40) Mine rehabilitation and closure [Standards guidance PDF]. 2013. Available online: https://www.responsiblejewellery.com/wp-content/uploads/RJC_Standards_Guidance_2013_eng_Provision_40.pdf.
- Rodríguez, E. Diputada propone un “geoparque minero” en Crucitas. El Observador. 15 October 2024. Available online: https://observador.cr/diputada-propone-un-geoparque-minero-en-crucitas/.
- Rodríguez-Soto, J. A. Rethinking socio-ecological relations from inclusion and exclusion: A new approach to socio-environmental conflicts. Journal of Sustainable Development 2025, 18, 119–132. [Google Scholar] [CrossRef]
- Sassoon, M. Financial surety: Guidelines for the implementation of financial surety for mine closure. In World Bank; 2009; Available online: https://documents1.worldbank.org/curated/en/915061468163480537/pdf/499690NWP0Extr10Box341980B01PUBLIC1.pdf.
- Secretariat of the Minamata Convention on Mercury. Monitoring of mercury and mercury compounds in and around artisanal and small-scale gold mining (ASGM) sites: Technical document (Information document UNEP-MC-COP.5-INF.9). 2025. Available online: https://minamataconvention.org/sites/default/files/documents/information_document/UNEP-MC-COP.5-INF09-Monitoring-mercury-ASGM-sites_English.pdf.
- Skousen, J.; Ziemkiewicz, P.; McDonald, L. M. Performance of 116 passive treatment systems for acid mine drainage. Proceedings, 2005; American Society of Mining and Reclamation. Available online: https://www.asrs.us/Publications/Conference-Proceedings/2005/1100-Skousen.pdf.
- State of Queensland; Department of Environment; Science and Innovation. Estimated rehabilitation cost under the Environmental Protection Act 1994 (ESR/2018/4425) [Guideline PDF]. 2023. Available online: https://www.des.qld.gov.au/policies?a=272936%3Apolicy_registry%2Frs-gl-erc-ep-act.pdf.
- State of Queensland. Financial assurance for resource activities. Business Queensland. 2025. Available online: https://www.business.qld.gov.au/running-business/environment/licences-permits/rehabilitation/resource-activities.
- Swenson, J. J.; Carter, C. E.; Domec, J.-C.; Delgado, C. I. Gold mining in the Peruvian Amazon: Global prices, deforestation, and mercury imports. PLOS ONE 2011, 6, e18875. [Google Scholar] [CrossRef] [PubMed]
- Thisani, S. K.; Von Kallon, D. V.; Byrne, P. Review of remediation solutions for acid mine drainage using the modified Hill framework. Sustainability 2021, 13, 8118. [Google Scholar] [CrossRef]
- Torres, R.; Snoeij, P.; Geudtner, D.; Bibby, D.; Davidson, M.; Attema, E.; Potin, P.; Rommen, B.; Floury, N.; Brown, M.; Navas-Traver, I.; Deghaye, P.; Duesmann, B.; Rosich, B.; Miranda, N.; Bruno, C.; L’abbate, M.; Croci, R.; Pietropaolo, A.; Closa, J. GMES Sentinel-1 mission. Remote Sensing of Environment 2012, 120, 9–24. [Google Scholar] [CrossRef]
- U.S. Environmental Protection Agency. Optimization evaluation: Bunker Hill Mining and Metallurgical Complex Superfund Site, Central Treatment Plant (CTP), Kellogg, Idaho (Final report). 2013. Available online: https://www.epa.gov/sites/default/files/2015-07/documents/bunkerhill_optimizationreport_final_jul2013.pdf.
- United Nations Development Programme (UNDP). Extracting good practices: Step 07—Closure [PDF]. 2018. Available online: https://www.undp.org/sites/g/files/zskgke326/files/publications/UNDP-MINING%20Step%2007.pdf.
- Universidad de Costa Rica (UCR); Centro de Investigaciones Agronómicas (CIA); Laboratorio de Suelos y Foliares. Tarifas – LSF – colones [PDF]. 2024. Available online: https://cia.ucr.ac.cr/sites/default/files/2024-06/TARIFAS%20-%20LSF%20-%20colones.pdf.
- Villalobos Solís, A. Plan para explotar oro en Crucitas asigna selección de empresas a presidente y ministros. La Nación. 2024. Available online: https://www.nacion.com/politica/proyecto-para-explotar-oro-en-crucitas-asigna/75ZBKPW5GZBJBEVJDG7VWWWXDM/story/.
- World Bank. Artisanal and small-scale gold mining: A framework for collecting site-specific sampling and survey data to support health-impact analyses; World Bank, 2021. [Google Scholar] [CrossRef]
- World Bank. Mine closure: A toolbox for governments . World Bank. 2021. Available online: https://documents1.worldbank.org/curated/en/278831617774355047/pdf/Mine-Closure-A-Toolbox-for-Governments.pdf.
- Yamazaki, D.; Ikeshima, D.; Sosa, J.; Bates, P. D.; Allen, G. H.; Pavelsky, T. M. MERIT Hydro: A high-resolution global hydrography map based on latest topography datasets. Water Resources Research 2019, 55, 5053–5073. [Google Scholar] [CrossRef]
- Zanaga, D.; Van De Kerchove, R.; De Keersmaecker, W.; et al. ESA WorldCover 10 m 2021 v200 [Data set; Zenodo, 2022. [Google Scholar] [CrossRef]






Disclaimer/Publisher’s Note: The statements, opinions and data contained in all publications are solely those of the individual author(s) and contributor(s) and not of MDPI and/or the editor(s). MDPI and/or the editor(s) disclaim responsibility for any injury to people or property resulting from any ideas, methods, instructions or products referred to in the content. |
© 2026 by the authors. Licensee MDPI, Basel, Switzerland. This article is an open access article distributed under the terms and conditions of the Creative Commons Attribution (CC BY) license (http://creativecommons.org/licenses/by/4.0/).