Submitted:
17 January 2026
Posted:
22 January 2026
You are already at the latest version
Abstract
Keywords:
1. Introduction
2. Literature Review
2.1. CPU and Economic Activity
2.2. ENU and Economic Activity
2.3. TPU and Economic Activity
3. Data and Methodology
3.1. Data
3.2. Methodology
3.2.1. The CEEMDAN-Based Multivariate RN-QQKRLS Framework
4. Results and Discussion
4.1. Descriptive Statistics


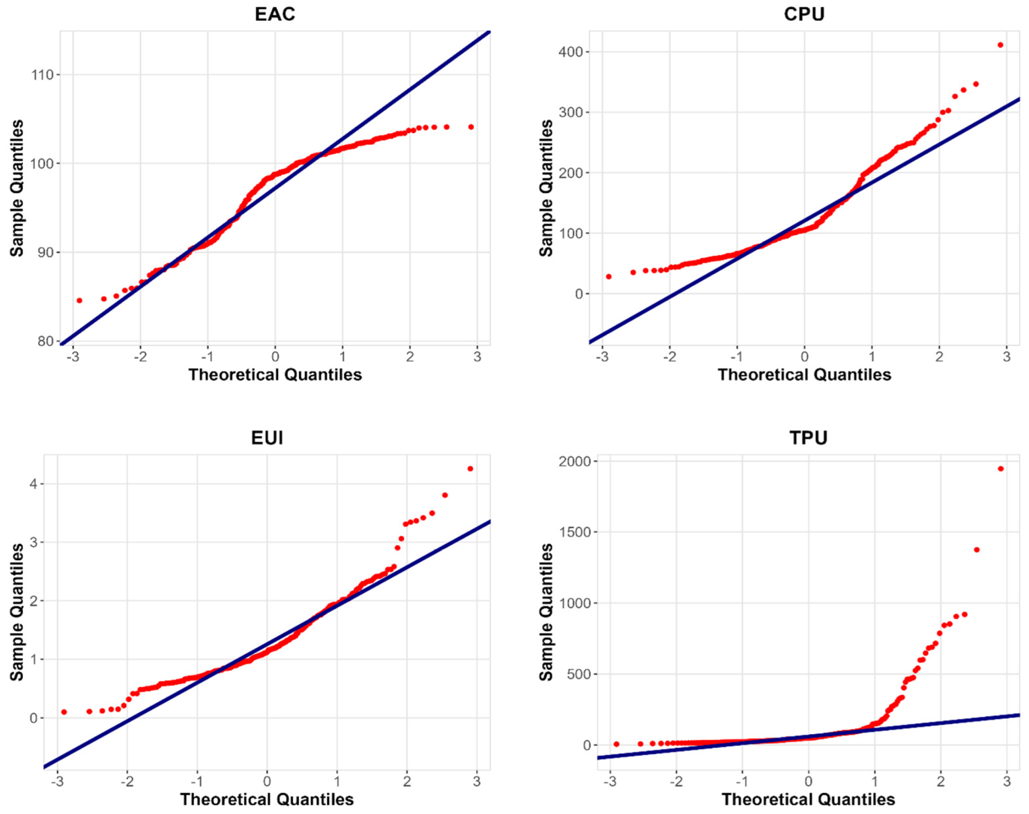
4.2. Nonlinearity Check
4.3. Multi-Variate Normality Test
4.4. Wavelet Quantile ADF and Wavelet Quantile PP Test Results


4.5. Results of CEEMDAN-MN-QQKRLS









4.6. Robustness Check



5. Conclusions and Policy Implications
Competing interests
Data Sources
| 1 | The U.S. emits a total of 5.2 billion metric tons of CO2 equivalents (USEPA, 2022) |
| 2 | The U.S. has become subject to more frequent extreme weather events, such as extreme temperatures, wildfires, floods, and hurricanes. |
| 3 | Shahbaz et al. (2016) argue that industrial production reflects economic growth as it gauges real economic activity. |
References
- Adebayo, T. S. (2022). Environmental consequences of fossil fuel in Spain amidst renewable energy consumption: a new insights from the wavelet-based Granger causality approach. International Journal of Sustainable Development and World Ecology. [CrossRef]
- Adebayo, T. S., Meo, M. S., Eweade, B. S., & Özkan, O. (2024). Examining the effects of solar energy innovations, information and communication technology and financial globalization on environmental quality in the United States via quantile-on-quantile KRLS analysis. Solar Energy, 272, 112450.
- Adebayo, T. S., Özkan, O., & Eweade, B. S. (2024). Do energy efficiency R&D investments and information and communication technologies promote environmental sustainability in Sweden? A quantile-on-quantile KRLS investigation. Journal of Cleaner Production, 440, 140832. [CrossRef]
- Adebayo, T. S., Razi, U., Özkan, O., & Syed, Q. R. (2025). Assessing the Influence of US-China Trade Disputes on Crude Oil and Gold Prices: A Wavelet Quantile-on-Quantile Regression Approach. Computational Economics, 1–21.
- Adedoyin, F. F., & Zakari, A. (2020). Energy consumption, economic expansion, and CO2 emission in the UK: The role of economic policy uncertainty. Science of the Total Environment. [CrossRef]
- Aguiar-Conraria, L., & Soares, M. J. (2011). Oil and the macroeconomy: Using wavelets to analyze old issues. Empirical Economics. [CrossRef]
- Aguiar-Conraria, L., & Soares, M. J. (2014). The continuous wavelet transform: Moving beyond uni- and bivariate analysis. Journal of Economic Surveys. [CrossRef]
- Akadiri, S. Saint, Ozkan, O., Ogbekene, I., & Hamza, F. (2025). Oil shocks and unexpected economic policy uncertainty: evidence from wavelet nonparametric quantile causality. Humanities and Social Sciences Communications. [CrossRef]
- Alharbi, S. S., Tabash, M. I., Farooq, U., & Issa, S. S. (2025). How does climate policy uncertainty determine green innovation adoption? New perspectives from the BRICS. Journal of Economic Asymmetries. [CrossRef]
- Bai, D., Du, L., Xu, Y., & Abbas, S. (2023). Climate policy uncertainty and corporate green innovation: Evidence from Chinese A-share listed industrial corporations. Energy Economics, 127, 107020. [CrossRef]
- Bakhsh, S., Alam, M. S., & Zhang, W. (2024). Green finance and Sustainable Development Goals: is there a role for geopolitical uncertainty? Economic Change and Restructuring, 57(4), 137.
- Balcilar, M., Bekiros, S., & Gupta, R. (2017). The role of news-based uncertainty indices in predicting oil markets: a hybrid nonparametric quantile causality method. Empirical Economics. [CrossRef]
- Baruník, J., & Křehlík, T. (2018). Measuring the frequency dynamics of financial connectedness and systemic risk. Journal of Financial Econometrics. [CrossRef]
- Basaglia, P., Carattini, S., Dechezleprêtre, A., & Kruse, T. (2022). Climate policy uncertainty and firms’ and investors’ behavior Frontiers of climate and nature in macroeconomics and finance, Paris.
- Basher, S., Mamun, A., Bal, H., Hoque, N., & Uddin, M. (2023). Does capital flight tone down economic growth? Evidence from emerging Asia. Journal of Financial Economic Policy. [CrossRef]
- Benigno, G., & Groen, J. J. (2020). Uncertainty about Trade Policy Uncertainty. SSRN Electronic Journal. [CrossRef]
- Bernanke, B. S. (1983). Irreversibility, Uncertainty, and Cyclical Investment. The Quarterly Journal of Economics, 98(1), 85. [CrossRef]
- Bouri, E., Iqbal, N., & Klein, T. (2022). Climate policy uncertainty and the price dynamics of green and brown energy stocks. Finance Research Letters. [CrossRef]
- Caldara, D., Iacoviello, M., Molligo, P., Prestipino, A., & Raffo, A. (2020). The economic effects of trade policy uncertainty. Journal of Monetary Economics, 109, 38–59. [CrossRef]
- Caldara, D., Iacoviello, M., Prestipino, A., Raffo, A., & Steinberg, J. B. (2019). Comment on : “ The economic effects of Trade Policy. xxxx. [CrossRef]
- Chatziantoniou, I., Gabauer, D., & Stenfors, A. (2021). Interest rate swaps and the transmission mechanism of monetary policy: A quantile connectedness approach. Economics Letters. [CrossRef]
- Chen, Y., Bouri, E., & Zhang, L. (2025). Dynamics of co-bubble networks across commodity futures prices and portfolio performance. Energy Economics, 150, 108839. [CrossRef]
- Chishti, M. Z., & Dogan, E. (2022). Analyzing the determinants of renewable energy: The moderating role of technology and macroeconomic uncertainty. Energy and Environment. [CrossRef]
- COP 26. (2021). COP26: Together for our planet | United Nations.
- Cui, C., & Li, L. S. Z. (2023). Trade policy uncertainty and new firm entry: Evidence from China. Journal of Development Economics. [CrossRef]
- Dai, J., Farooq, U., & Alam, M. M. (2025). Navigating energy policy uncertainty: Effects on fossil fuel and renewable energy consumption in G7 economies. International Journal of Green Energy. [CrossRef]
- Dang, T. H.-N., Nguyen, C. P., Lee, G. S., Nguyen, B. Q., & Le, T. T. (2023). Measuring the energy-related uncertainty index. Energy Economics, 124, 106817. [CrossRef]
- Danish, Ulucak, R., & Khan, S. (2020). Relationship between energy intensity and <scp> CO 2 </scp> emissions: Does economic policy matter? Sustainable Development, 28(5), 1457–1464. [CrossRef]
- Diebold, F. X., & Yilmaz, K. (2012). Better to give than to receive: Predictive directional measurement of volatility spillovers. International Journal of Forecasting, 28(1), 57–66. [CrossRef]
- Fajgelbaum, P. D., Schaal, E., & Taschereau-Dumouchel, M. (2017). Uncertainty traps. The Quarterly Journal of Economics, 132(4), 1641–1692.
- Fankhauser, S., & Tol, R. S. J. (2005). On climate change and economic growth. Resource and Energy Economics. [CrossRef]
- Gabauer, D., Dang, T. H. N., & Nguyen, C. P. (2025). The lead-lag relationship of US fiscal policy uncertainty: New evidence from R2 decomposed connectedness measures. Finance Research Letters. [CrossRef]
- Gabauer, D., & Gupta, R. (2018). On the transmission mechanism of country-specific and international economic uncertainty spillovers: Evidence from a TVP-VAR connectedness decomposition approach. Economics Letters. [CrossRef]
- Gavriilidis, K. (2021). Measuring Climate Policy Uncertainty. SSRN Electronic Journal. [CrossRef]
- Golub, A., Lubowski, R., & Piris-Cabezas, P. (2017). Balancing Risks from Climate Policy Uncertainties: The Role of Options and Reduced Emissions from Deforestation and Forest Degradation. Ecological Economics. [CrossRef]
- Gopinath, M. (2021). Does Trade Policy Uncertainty Affect Agriculture? Applied Economic Perspectives and Policy, 43(2), 604–618. [CrossRef]
- Handley, K., & Limão, N. (2017). Policy uncertainty, trade, and welfare: Theory and evidence for China and the United States. American Economic Review. [CrossRef]
- Handley, K., & Limão, N. (2022). Trade policy uncertainty. Annual Review of Economics, 14(1), 363–395.
- Hassan, S., Shabi, S., & Choudhry, T. (2018). Asymmetry, uncertainty and international trade. Swansea University, School of Management.
- He, M., & Zhang, Y. (2022). Climate policy uncertainty and the stock return predictability of the oil industry. Journal of International Financial Markets, Institutions and Money. [CrossRef]
- He, X., Takiguchi, T., Nakajima, T., & Hamori, S. (2020). Spillover effects between energies, gold, and stock: the United States versus China. Energy & Environment, 31(8), 1416–1447. [CrossRef]
- Hoang, H. V. (2024). Environmental, social, and governance disclosure in response to climate policy uncertainty: Evidence from US firms. Environment, Development and Sustainability. [CrossRef]
- Ilhan, E., Sautner, Z., & Vilkov, G. (2021). Carbon Tail Risk. Review of Financial Studies. [CrossRef]
- JO, S. (2014). The Effects of Oil Price Uncertainty on Global Real Economic Activity. Journal of Money, Credit and Banking, 46(6), 1113–1135. [CrossRef]
- Jurado, K., Ludvigson, S. C., & Ng, S. (2015). Measuring uncertainty. American Economic Review. [CrossRef]
- Karim, S., Naeem, M. A., Shafiullah, M., Lucey, B. M., & Ashraf, S. (2023). Asymmetric relationship between climate policy uncertainty and energy metals: Evidence from cross-quantilogram. Finance Research Letters, 54, 103728. [CrossRef]
- Kilian, L. (2009). Not all oil price shocks are alike: Disentangling demand and supply shocks in the crude oil market. American Economic Review. [CrossRef]
- Koenker, R., & Bassett Jr, G. (1978). Regression quantiles. Econometrica: Journal of the Econometric Society, 33–50.
- Kumar, A. S., & Padakandla, S. R. (2022). Testing the safe-haven properties of gold and bitcoin in the backdrop of COVID-19: A wavelet quantile correlation approach. Finance Research Letters, 47, 102707. [CrossRef]
- Kuzminov, I., Bereznoy, A., & Bakhtin, P. (2017). Global energy challenges and the national economy: Stress scenarios for Russia. Foresight, 19(2), 174–197.
- Li, X., Hu, Z., & Zhang, Q. (2021). Environmental regulation, economic policy uncertainty, and green technology innovation. Clean Technologies and Environmental Policy, 23(10), 2975–2988. [CrossRef]
- Lin, B., & Wang, Z. (2025). Economic policy uncertainty, coal price, and industrial output: Evidence from China. Energy. [CrossRef]
- Lin, B., & Zhao, H. (2023a). Tracking policy uncertainty under climate change. Resources Policy, 83, 103699.
- Lin, B., & Zhao, H. (2023b). Tracking policy uncertainty under climate change. Resources Policy, 83, 103699. [CrossRef]
- Lu, Z., Zhu, L., Lau, C. K. M., Isah, A. B., & Zhu, X. (2021). The Role of Economic Policy Uncertainty in Renewable Energy-Growth Nexus: Evidence From the Rossi-Wang Causality Test. Frontiers in Energy Research. [CrossRef]
- Meinhold, R., Wagner, C., & Dhar, B. K. (2025). Digital sustainability and eco-environmental sustainability: A review of emerging technologies, resource challenges, and policy implications. Sustainable Development, 33(2), 2323–2338.
- Melas, K. D., Michail, N. A., & Louca, K. G. (2025). Trade Uncertainty, Economic Policy Uncertainty and Shipping Costs. German Economic Review, 26(1), 15–33. [CrossRef]
- Meo, M. S., Erum, N., & Ayad, H. (2024). Understanding how climate preferences, environmental policy stringency, and energy policy uncertainty shape renewable energy investments in Germany. Clean Technologies and Environmental Policy, 1–21.
- Nema, P., Nema, S., & Roy, P. (2012). An overview of global climate changing in current scenario and mitigation action. In Renewable and Sustainable Energy Reviews. [CrossRef]
- Niu, S., Zhang, J., Luo, R., & Feng, Y. (2023). How does climate policy uncertainty affect green technology innovation at the corporate level? New evidence from China. Environmental Research. [CrossRef]
- Ozkan, O., Haruna, R. A., ALOLA, A. A., Ghardallou, W., & Usman, O. (2023). Investigating the nexus between economic complexity and energy-related environmental risks in the USA: Empirical evidence from a novel multivariate quantile-on-quantile regression. Structural Change and Economic Dynamics. [CrossRef]
- Özkan, O., Meo, M. S., & Younus, M. (2024). Unearthing the hedge and safe-haven potential of green investment funds for energy commodities. Energy Economics. [CrossRef]
- Pavel, T., Amina, A., & Oleg, K. (2024). The impact of economic development of primary and secondary industries on national CO2 emissions: The case of Russian regions. Journal of Environmental Management. [CrossRef]
- Poilly, C., & Tripier, F. (2025). Regional trade policy uncertainty. Journal of International Economics, 155, 104078.
- Polanco-Martínez, J. M., Fernández-Macho, J., & Medina-Elizalde, M. (2020). Dynamic wavelet correlation analysis for multivariate climate time series. Scientific Reports, 10(1), 21277. [CrossRef]
- Punzi, M. T. (2019). The impact of energy price uncertainty on macroeconomic variables. Energy Policy. [CrossRef]
- Ren, X., Li, J., He, F., & Lucey, B. (2023). Impact of climate policy uncertainty on traditional energy and green markets: Evidence from time-varying granger tests. Renewable and Sustainable Energy Reviews, 173, 113058.
- Rial, R. C. (2024). Biofuels versus climate change: Exploring potentials and challenges in the energy transition. Renewable and Sustainable Energy Reviews, 196, 114369.
- Salisu, A. A., Ogbonna, A. E., Gupta, R., & Bouri, E. (2024). Energy-related uncertainty and international stock market volatility. The Quarterly Review of Economics and Finance, 95, 280–293.
- Sarker, P. K., Lau, C. K. M., & Pradhan, A. K. (2023). Asymmetric effects of climate policy uncertainty and energy prices on bitcoin prices. Innovation and Green Development. [CrossRef]
- Shang, Y., Han, D., Gozgor, G., Mahalik, M. K., & Sahoo, B. K. (2022). The impact of climate policy uncertainty on renewable and non-renewable energy demand in the United States. Renewable Energy. [CrossRef]
- Sheng, X., Gupta, R., & Çepni, O. (2022). The effects of climate risks on economic activity in a panel of US states: The role of uncertainty. Economics Letters. [CrossRef]
- Sim, N., & Zhou, H. (2015). Oil prices, US stock return, and the dependence between their quantiles. Journal of Banking and Finance. [CrossRef]
- Sinha, A., Ghosh, V., Hussain, N., Nguyen, D. K., & Das, N. (2023). Green financing of renewable energy generation: Capturing the role of exogenous moderation for ensuring sustainable development. Energy Economics, 126, 107021. [CrossRef]
- Sinha, A., Murshed, M., Das, N., & Saha, T. (2025). Modeling renewable energy market performance under climate policy uncertainty: A novel multivariate quantile causality analysis. Risk Analysis. [CrossRef]
- Su, C. W., Pang, L. D., Qin, M., Lobonţ, O. R., & Umar, M. (2023). The spillover effects among fossil fuel, renewables and carbon markets: Evidence under the dual dilemma of climate change and energy crises. Energy. [CrossRef]
- Sun, G., Fang, J., Li, T., & Ai, Y. (2024). Effects of climate policy uncertainty on green innovation in Chinese enterprises. International Review of Financial Analysis, 91, 102960. [CrossRef]
- Sunday Adebayo, T. (2025). How do energy and precious metals markets respond to climate policy uncertainty? A multi-frequency quantile framework. Applied Economics Letters, 1–7.
- Tam, K.-P., Chan, H.-W., & Clayton, S. (2023). Climate change anxiety in China, India, Japan, and the United States. Journal of Environmental Psychology, 87, 101991.
- The Impact of Uncertainty Shocks. (2009). Econometrica. [CrossRef]
- Torrence, C., & Compo, G. P. (1998). A Practical Guide to Wavelet Analysis. Bulletin of the American Meteorological Society, 79(1), 61–78. [CrossRef]
- Troster, V., Shahbaz, M., & Uddin, G. S. (2018). Renewable energy, oil prices, and economic activity: A Granger-causality in quantiles analysis. Energy Economics. [CrossRef]
- Tsoutsos, T. D., & Stamboulis, Y. A. (2005). The sustainable diffusion of renewable energy technologies as an example of an innovation-focused policy. Technovation, 25(7), 753–761.
- van Eyden, R., Difeto, M., Gupta, R., & Wohar, M. E. (2019). Oil price volatility and economic growth: Evidence from advanced economies using more than a century’s data. Applied Energy, 233–234, 612–621. [CrossRef]
- Wang, Y., Huang, X., & Huang, Z. (2024). Energy-related uncertainty and Chinese stock market returns. Finance Research Letters, 62, 105215. [CrossRef]
- Xie, G., Chen, J., Hao, Y., & Lu, J. (2021). Economic Policy Uncertainty and Corporate Investment Behavior: Evidence from China’s Five-Year Plan Cycles. Emerging Markets Finance and Trade. [CrossRef]
- Xie, Z., Ali, H., Kumar, S., Naz, S., & Ahmed, U. (2024). The Impact of Energy-Related Uncertainty on Corporate Investment Decisions in China. Energies, 17(10), 2368.
- Xu, Y., Li, M., Yan, W., & Bai, J. (2022). Predictability of the renewable energy market returns: The informational gains from the climate policy uncertainty. Resources Policy, 79, 103141. [CrossRef]
- Yang, S., & Fu, Y. (2025). Interconnectedness among supply chain disruptions, energy crisis, and oil market volatility on economic resilience. Energy Economics. [CrossRef]
- Yilmazkuday, H. (2025). U.S. tariffs and stock prices. Finance Research Letters, 83, 107708. [CrossRef]
- Zhang, H., Hong, H., & Ding, S. (2023). The role of climate policy uncertainty on the long-term correlation between crude oil and clean energy. Energy. [CrossRef]
- Zhang, X., & Guo, Q. (2024). How useful are energy-related uncertainty for oil price volatility forecasting? Finance Research Letters, 60, 104953. [CrossRef]
| EAC | CPU | EUI | TPU | |
|---|---|---|---|---|
| Mean | 97.132 | 128.008 | 1.295 | 117.803 |
| Median | 98.761 | 104.819 | 1.124 | 50.050 |
| Maximum | 104.100 | 411.289 | 4.257 | 1946.683 |
| Minimum | 84.562 | 28.162 | 0.101 | 6.467 |
| Standard Deviation | 4.824 | 67.940 | 0.677 | 210.593 |
| Skewness | -0.702 | 1.121 | 1.212 | 4.517 |
| Kurtosis | 2.405 | 3.972 | 5.040 | 29.868 |
| Jarque-Bera | 26.427 | 67.939 | 114.154 | 9139.833 |
| Probability | 0.000 | 0.139 | 0.000 | 0.000 |
| Variable | Test | Statistic | P-Value | Significance | Interpretation | Observations |
|---|---|---|---|---|---|---|
| EAC | Bartels Test | 0.0415 | 0.000 | *** | Non-random | 273 |
| EAC | Robust Jarque-Bera Test | 23.1 | 0.000 | *** | Non-normal | 273 |
| EAC | SJ Test | -0.529 | 0.696 | -- | Normal | 273 |
| EAC | Bootstrap Symmetry Test | -7.32 | 0.000 | *** | Asymmetric | 273 |
| EAC | Difference Sign Test | 5.23 | 0.000 | *** | Non-random | 273 |
| EAC | Mann-Kendall Rank Test | 11.3 | 0.000 | *** | Trend present | 273 |
| EAC | Runs Test | -14.9 | 0.000 | *** | Non-random | 273 |
| CPU | Bartels Test | 0.542 | 0.000 | *** | Non-random | 273 |
| CPU | Robust Jarque-Bera Test | 99.8 | 0.000 | *** | Non-normal | 273 |
| CPU | SJ Test | 3.95 | 0.0014 | *** | Non-normal | 273 |
| CPU | Bootstrap Symmetry Test | 7.94 | 0.000 | *** | Asymmetric | 273 |
| CPU | Difference Sign Test | 0 | 1.000 | -- | Random | 273 |
| CPU | Mann-Kendall Rank Test | 12.8 | 0.000 | *** | Trend present | 273 |
| CPU | Runs Test | -7.53 | 0.000 | *** | Non-random | 273 |
| EUI | Bartels Test | 1.02 | 0.000 | *** | Non-random | 273 |
| EUI | Robust Jarque-Bera Test | 145 | 0.000 | *** | Non-normal | 273 |
| EUI | SJ Test | 3.92 | 0.0015 | *** | Non-normal | 273 |
| EUI | Bootstrap Symmetry Test | 5.88 | 0.000 | *** | Asymmetric | 273 |
| EUI | Difference Sign Test | -0.628 | 0.530 | -- | Random | 273 |
| EUI | Mann-Kendall Rank Test | 0.834 | 0.404 | -- | No trend | 273 |
| EUI | Runs Test | -4.98 | 0.000 | *** | Non-random | 273 |
| TPU | Bartels Test | 0.782 | 0.000 | *** | Non-random | 273 |
| TPU | Robust Jarque-Bera Test | 7.07e+05 | 0.000 | *** | Non-normal | 273 |
| TPU | SJ Test | 56.7 | 0.000 | *** | Non-normal | 273 |
| TPU | Bootstrap Symmetry Test | 13.5 | 0.000 | *** | Asymmetric | 273 |
| TPU | Difference Sign Test | -0.944 | 0.345 | -- | Random | 273 |
| TPU | Mann-Kendall Rank Test | 4.55 | 0.000 | *** | Trend present | 273 |
| TPU | Runs Test | -7.53 | 0.000 | *** | Non-random | 273 |
| Test | Null Hypothesis | Interpretation | Assessment |
|---|---|---|---|
| Skewness | Reject H0: Significant multivariate skewness present | Non-normal | |
| Kurtosis | Reject H0: Significant multivariate kurtosis present | Non-normal |
Disclaimer/Publisher’s Note: The statements, opinions and data contained in all publications are solely those of the individual author(s) and contributor(s) and not of MDPI and/or the editor(s). MDPI and/or the editor(s) disclaim responsibility for any injury to people or property resulting from any ideas, methods, instructions or products referred to in the content. |
© 2026 by the authors. Licensee MDPI, Basel, Switzerland. This article is an open access article distributed under the terms and conditions of the Creative Commons Attribution (CC BY) license (http://creativecommons.org/licenses/by/4.0/).
