1. Introduction
The transition zone between the Cerrado and Amazon biomes in Brazil, known as the Cerrado-Amazon Ecotone, is the largest interface between tropical forest and savanna in the world. This area stands out for its complex environmental mosaic, resulting from the biological interaction between the biomes, and harbors a rich biodiversity associated with high rates of endemism [
1,
2]. However, this region has been heavily impacted by anthropogenic activities, especially by the expansion of agriculture.
The conversion of native vegetation into agricultural areas, the opening of new transport routes, and urban growth promote the fragmentation of natural ecosystems, significantly modifying local microclimatic patterns, with increased temperatures and reduced relative humidity [
3,
4,
5,
6]. Such changes favor the occurrence and spread of forest fires, which represent a significant threat to the ecological integrity of the region [
7,
8,
9]. In addition to environmental changes resulting from land use, human actions play a central role in the formation of fires [
10], as illegal burning can occur, used for the conversion of forests into pastures [
11,
12], failures in fire management in agricultural practices [
13,
14] and accidental sources, such as discarded cigarette butts and sparks from vehicle and agricultural machinery exhausts [
15,
16].
The interaction between natural and anthropogenic factors has resulted in an increase in the frequency and intensity of fires in the Cerrado-Amazon transition region, compromising not only local biodiversity but also climate stability and the safety of human populations that depend on these ecosystems [
17]. Vegetation fires cause significant losses of ecosystem services [
18,
19], affecting fauna, flora and the quality of life of local populations. In addition, they contribute to increased greenhouse gas emissions [
5,
20] and to the aggravation of air pollution [
21].
Global climate change also plays a key role in the region's fire regime. Increased average temperatures, intensified drought periods, and reduced air humidity favor the drying of plant biomass, creating a highly flammable environment [
6,
17,
18,
19]. The occurrence of fires in the region is directly related to climatic variables such as air temperature, relative humidity, wind speed, and precipitation, which influence the flammability of combustible material [
22,
23,
24,
25]. During the dry season, reduced soil and vegetation moisture favors the spread of flames, and extreme weather events, such as drought periods associated with the El Niño phenomenon, further increase the risks [
26,
27,
28,
29].
Wildfires impact the achievement of several Sustainable Development Goals (SDGs) defined in the 2030 Agenda, especially SDG 13 - Climate Action, as the increase in greenhouse gas emissions intensifies climate change and causes environmental degradation, loss of biodiversity, affecting terrestrial ecosystems (SDG 15). Wildfires also promote air pollution, which affects public health, as per SDG 3. In this sense, the use of predictive methodologies, such as vegetation fire danger indices, becomes indispensable to support public policies and fire prevention and control actions, adjusted to socioeconomic and environmental needs, especially in regions with large demographic differences and that suffer the effects of several combined meteorological factors, such as the Cerrado-Amazon transition [
30].
The frequency and severity of wildfires have reinforced the need for monitoring systems that allow for faster and more efficient prevention and response. Climatic conditions are directly related to the occurrence of wildfires in certain regions. Therefore, understanding their relationships can help in the development of plans to mitigate and combat vegetation fires, as it indicates the periods and locations with the highest probability of fire occurrence, allowing for the proper targeting of fire prevention and fighting activities [
31,
32,
33].
Two terms widely used in studies on vegetation or forest fires are “fire danger” and “fire risk” [
34]. In this case, fire danger is related to factors that directly interfere with fire, such as the characteristics of the combustible material (type, quantity, condition, arrangement, climate, relief and location), which can create special conditions for ignition. Fire risk, on the other hand, is linked to the presence or absence of causative agents, such as forestry activities, agricultural activities near forest areas, and proximity to railways, among others. Specifically regarding climate, its relationship with fires can be understood as a fire production relationship, since according to Nunes et al. [
35], climatic conditions (local and regional) are responsible for the occurrence and spread of vegetation fires, while the speed of spread and intensity of the fire is directly related to accumulated precipitation, air temperature, relative humidity, wind speed and direction. In this case, a higher volume of precipitation, lower temperature and lower relative humidity result in a lower number of fires [
36].
Constant and variable factors influence the likelihood of wildfires. Among the constant factors, the type and quantity of combustible material (vegetation) and the terrain stand out, as they do not vary or vary little over time (except in crop and pasture areas). Variable factors include the moisture content of the combustible material and climatic conditions, such as air temperature, wind speed and direction, relative humidity, and precipitation, which can vary spatially in short intervals. Each of these factors exerts a distinct influence on the fire danger in a given location, making it necessary to know their seasonality to determine the danger of vegetation fires.
The fire danger index “constitutes an attempt to quantify the probability of a fire occurring and spreading when there is a source of ignition”. In general, this index is represented by a single number and should be evaluated daily based on observed or measured data. For the composition of fire danger indices, a series of environmental factors and conditions is considered. Thus, the suitability of a given index may vary depending on the area in which it will be used; that is, an index that shows good results in area “a” may show unsatisfactory results in another “b”, provided that these areas have differences, especially in their environmental and climatic conditions [
37].
As strategies for monitoring and preventing fires, indices based on meteorological information have been developed worldwide to indicate the fire danger. In the context of Brazil, the main indices used are the Monte Alegre Formula (FMA) and its modified version (FMA+), developed under the climatic conditions of the state of Paraná, and the international Angström, Telecyn and Nesterov indices, as well as P-EVAP and EVAP/P [
38,
39,
40,
41,
42,
43]. These formulas have already been applied and tested in several locations in Brazil; however, because they present different responses, it is still important to identify the model that best suits the climatic conditions of each region.
The major limitations to the widespread use of fire danger indices stem from the low density of automatic and/or conventional weather stations monitoring atmospheric conditions. The use of meteorological reanalysis data emerges as an alternative to minimize these difficulties and enable the expansion of regional fire prevention systems. Meteorological reanalysis combines historical observations/measurements with modern forecasting models to create a consistent and continuous record of the state of the atmosphere, oceans, and Earth over time. These datasets provide valuable information on variables such as temperature, precipitation, and wind, allowing for a better understanding of climate evolution and are being made freely available on various digital platforms, such as the Global Precipitation Climatology Centre (GPCC), the European Center for Medium-Range Weather Forecast (ECMWF), the Climatic Research Unit (CRU), the Center for Weather Forecasting and Climate Studies (CPTEC/INPE), as well as many others widely used in Brazil and worldwide. These data are obtained by compiling information from various sources, such as automatic and conventional weather stations, ships, airplanes, radars, and satellites, which can be interpolated using mathematical models, helping to estimate data in regions without measurement means [
44].
These databases have been widely used in scientific research around the globe, mainly in environmental studies, without verifying the principles of normality. In this context, the present study analyzes the adequacy of ERA5 (5th Generation of European ReAnalysis - ECMWF) reanalysis data to different vegetation fire danger indices, comparing them with measurements obtained from automatic weather stations. In addition, this work seeks to identify the danger indices that present greater accuracy in predicting the occurrence of fires in this transition region between two important Brazilian biomes.
2. Materials and Methods
This study was developed for the Cerrado-Amazon transition region, considering a buffer zone of 200 km on each side of the confluence between the Cerrado and Amazon biomes. The total area delimited was 1,495,321.78 km² (
Figure 1), encompassing regions of six Brazilian states. Among these, the state of Mato Grosso had the largest portion of area within this delimitation, with 728,996.42 km², which corresponds to 81% of the state's territory; Similarly, in the states of Pará, Maranhão, Rondônia, Tocantins, and Piauí, the areas included in the evaluated buffer were 206,152.7, 280,388.6, 65,239.7, 202,220.62, and 12,323.70 km², which represent approximately 17, 84, 27, 73, and 5% of the total area of each state, respectively.
In this research, daily precipitation (rainfall), air temperature (maximum, minimum, and average), relative air humidity (maximum, minimum, and average), and wind speed (measured at 10.0 m height – daily average values) data were used, obtained from automatic and conventional meteorological stations (
Figure 1) of the National Institute of Meteorology (INMET), through the Meteorological Database for Teaching and Research (DBMEP –
https://terrabrasilis.dpi.inpe.br/queimadas/bdqueimadas/). The study area has 87 automatic and conventional INMET stations, which were subjected to database consistency assessment. Therefore, 13 stations were excluded because they did not cover the study period (2010 to 2022). Of the remaining 74 stations, seven (07) were excluded because they presented more than 30% data gaps and/or sequential gaps for more than 6 months. Thus, 67 meteorological stations were used (
Figure 1), of which 49 were automatic, and 18 were conventional (
Table S1 - supplementary document).
Based on the locations of each meteorological station, re-analysis data from the ERA5-Land model were obtained from the Copernicus Climate Change Service platform via the C3S Climate Data Store (CDS -
https://cds.climate.copernicus.eu/), which are developed and operated by the European Centre for Medium-Range Weather Forecasts (ECMWF); these data correspond to the fifth generation of atmospheric re-analyses developed by the ECMWF and provide estimates of several atmospheric parameters, with a spatial resolution of 0.1° x 0.1° (latitude and longitude) for ERA5-Land [
45].
To perform statistical comparisons between meteorological station data and ERA5-Land reanalysis data, the values of all analyzed meteorological variables were extracted based on station coordinates, from 2010 to 2022, on a daily scale. The reanalysis data were subjected to deviation correction, considering the measured data (meteorological station) as a reference, aiming to minimize trends and systematic errors (Eq. 1), since, in the studied region, several geographical factors and distinct atmospheric movements occur, generating significant climatic differences between the states (Equation (1)).
where:
refers to the reanalysis data, and
are the data from the meteorological stations.
Danger index estimates were based on a baseline height of 2.0 m, since most pastures and crops in this region do not exceed this limit. Furthermore, meteorological elements are measured in accordance with Allet et al. [
46], including height. To this end, the wind speed unit of measurement was converted from km/h to m/s, and the height of 2.0 m was adjusted according to the measurements from meteorological stations, since the reanalysis data are provided for a height of 10 meters. For this, a logarithmic adjustment of the wind gradient in height was applied, using a short grass surface roughness coefficient as a correction factor [
46] (Equation (2)). This adjustment was performed for both the data from the National Institute of Meteorology (INMET) and the ECMWF reanalyses (ERA5-LAND).
where:
u2 wind speed at 2.0 m above the ground surface [m s
-1],
u10 wind speed at 10.0 m above the ground surface [m s
-1],
uz is the wind speed measured at z m above the ground surface [m s
-1];
Z height of the measurement above the ground surface [m], and
ln logarithmic wind speed profile for measurements above a short grass surface.
Rainfall data were adjusted using the Normalized Precipitation Index (SPI), employed in monitoring annual variability [
47]. Rainfall has an asymmetrical distribution; in this sense, the data were first transformed into a normal distribution and then calculated according to equation 3.
where:
i is the time scale;
Pi is the observed precipitation;
Pl and
σi are, respectively, the mean and standard deviation of the fitted series.
SPI is the reduced variable Zi of the normal distribution of precipitation.
2.1. Filling in Database Gaps
The assessment of fire season indices requires a continuous daily series of meteorological data, and, therefore, for data measured at conventional and automatic weather stations, it was necessary to fill in the gaps. For the climatic variables of air temperature and relative air humidity, the daily gaps were corrected by the regional weighting method, using regressions between the three closest stations [
48].
To fill in the gaps in the rainfall data, TRMM (Tropical Rainfall Measuring Mission) data were used, available with a spatial resolution of 0.25° x 0.25° (degrees of latitude and longitude), in the database of the Agrometeorological Monitoring System (AGRITEMPO), coordinated by the Brazilian Agricultural Research Corporation (EMBRAPA). To obtain the TRMM data, the geographic coordinates of the INMET meteorological station were used, prioritizing the surroundings and proximity to the station to be filled in. Four TRMM data points were selected for each INMET meteorological station. After selecting TRMM with daily values from 2010 to 2022, the rainfall data from the local station and TRMM were separated by year and by period (dry and rainy) to obtain the deviations. When deviations greater than 40% were observed between the data measured at the local station and the average TRMM in the monthly totals, the discrepant values from the local station were filled in with average daily TRMM data.
The filling in of the gaps in wind speed data was carried out based on the monthly averages from the INMET station itself [
49].
2.2. Fire Danger Indices
After correcting the daily continuous series of meteorological variables for each station, the Angström, FMA, FMA+, P-EVAP and EVAP/P fire danger indices were obtained, considered recommended indices for the Cerrado-Amazon transition region of Mato Grosso [
38]. These indices were applied to both meteorological station data and reanalysis data.
The Angström Index is a non-cumulative fire danger index that uses temperature and relative humidity data, measured daily at 13:00, or by the relationships between the daily maximum temperature and the daily minimum relative humidity [
38,
50]. Initially, the interpretation of the index was based on the value of “B”, so that values below 2.5 indicated a fire danger; that is, the atmospheric conditions of the day would favor the occurrence of fire. Casavecchia et al. (2019) [
38] performed the discretization of fire danger classes based on frequency histograms and probabilities of occurrence. They standardized the risk assessments into five classes, similar to those of other danger indices. Obtaining the daily index is given by Equation (3).
where:
B is the Ångström index;
H is the relative humidity (%);
T is air temperaturre (°C).
The Monte Alegre Formula (FMA) is one of the most widely used indices in fire risk studies in Brazil. It is a cumulative index that considers the influence of days without rain, in order to reflect the accumulation or loss of moisture in plant fuels. In addition to days without rain, the FMA index also considers the relative humidity of the air (Equation (4)) [
38,
50].
where:
H is the relative humidity (%), measured at 1:00 PM or the daily minimum value;
n is the number of days without rain greater than or equal to 12.9 mm.
To allow for better representations in different climatic conditions and vegetated surfaces, the Modified Monte Alegre Formula (FMA+) was developed, which is also a cumulative index and associates the effects of relative air humidity (H) and wind speed (v), both measured at 13:00h (Equation (5)) [
51,
52].
where:
H is the relative humidity (%), measured at 1:00 PM or the daily minimum value;
n is the number of days without rain greater than or equal to 12.9 mm; v is the wind speed (m s
-1).
The fire danger indices P–EVAP (Equation (6)) and EVAP/P (Equation (7)) are also cumulative and show the deficit relationships under conditions of a sequential water balance on a microscale, considering the relationship between the daily water depths (mm) of precipitation (P) and the potential reference evapotranspiration (EVAP); in this case, EVAP was obtained by the Camargo model [
53] (Equation (8)), as it depends only on the average daily air temperature (Tmed) and presents good results for this study region [
53].
where:
is the potential evapotranspiration (mm day
-1);
F is the model correction factor;
Ho is extraterrestrial radiation;
Tmed is the average daily temperature.
In addition to the formulas presented, the fire danger indices FMA, FMA+, P-EVAP and EVAP/P have application restrictions (
Table 1).
After applying the indices, the results were grouped into five classes of danger level: none, low, medium, high, and very high (
Table 2).
2.3. Statistics
To verify the performance of the indices, the Skill Score methodology was applied, which evaluates the quality of the forecasting system and validates the indices produced. The Skill Score is obtained by applying a contingency table (
Table 3), which compares the observed values to the predicted values for a given event, population or time interval [
54].
For the application of the Skill Score method, the observations (days) were associated with their respective fire danger classes, being separated into two groups: i) the high and very high danger classes were considered as days predicted for fire occurrence; ii) the zero, small, and medium danger classes were considered as days with a prediction of no fire occurrence. These groupings allowed for danger predictions. Consequently, for the validation of the Skill Score method, the observed data were obtained from the heat source observation database of the Burning Data Bank (BDQueimadas) of the National Institute for Space Research (INPE), referring to the years 2010 to 2022, for the states (Mato Grosso, Pará, Rondônia, Maranhão, and Tocantins) included in the study area, on a daily time scale.
The burning data from BDQueimadas are available in vector point format. To account for the presence of fire outbreaks in relation to the indices of each station, the outbreak must be less than 50 km from the location of the meteorological station, a point at which the reanalysis data were also considered.
To compare the variables of the meteorological stations with the reanalysis data, as well as their results in the fire danger indices, the following methods were applied to evaluate statistical performance: Willmott's concordance index (d) (Equation (9)), MBE (Mean Bias Error) (Equation (10)), RMSE (Root Mean Square Error) (Equation (11)) and the Mann-Whitney test (Equation (12)).
where:
Pi represents the observed data (data from weather stations);
Oi represents the estimated data; in this research, it represents the reanalysis data.
Willmott's index of agreement measures the fit between estimated and observed values, ranging from 0 to 1, where 0 indicates the worst fit and 1 the best possible [
54]. The MBE (Mean Bias Error) quantifies the average deviation between estimated and observed values, being negative when estimated values are underestimated, positive when they are overestimated, and zero when there is a perfect simulation. The RMSE (Root Mean Square Error) indicates the actual dispersion of errors between estimated and observed values. Unlike the MBE, it does not indicate whether there is underestimation or overestimation, but the smaller its value or the closer to zero, the better the model's performance. The non-parametric Mann-Whitney test evaluates significant differences between the distributions of two datasets. The analysis considers the critical p-value (< 0.05) to validate trends, based on the calculation of the position of the elements between the samples; the result indicates whether or not there are statistically significant differences between the distributions of the two datasets [
55].
4. Discussion
The Cerrado-Amazon transition in Brazil is considered the largest savanna-forest transition in the world [
1], identified as an Ecological Tension Zone (ETZ) due to permanent instability and climatic variation and the hyperdynamics of the vegetation [
25]. Fires occurring in the Cerrado-Amazon transition region equally threaten both biomes, the Cerrado and the Amazon [
1]. In addition to these particularities, the region is located on the Brazilian agricultural frontier and is internationally known as the “Arc of Deforestation” [
1]. In this context, the FMA (Monte Alegre Formula), FMA+ (Modified Monte Alegre), Ängström, P-EVAP and EVAP/P indices are used as essential tools to predict and monitor the occurrence of wildfires [
38,
51].
The analysis of these indices in the Cerrado-Amazon Transition showed that the combination of low humidity, high temperatures and intense wind speed contributes to the increased risk of vegetation fires [
56,
57]. In the study area, when evaluating the performance of the indices, P-EVAP stood out as the best and most reliable predictive model for fire danger, followed by the FMA and FMA+ indices, considered to have the highest accuracy in predicting the occurrence of fires.
Beu (2022) [
58], when evaluating the fire risk in the Ipanema National Forest (Flona de Ipanema/SP) with meteorological data from the INMET automatic station, indicated that the modified Monte Alegre Formula (FMA+) is the appropriate tool for forest fire prevention and control activities. In the research developed by Casavecchia et al. (2019) [
38], the index that presented the best performance was Ängström, followed by FMA and FMA+ in the Sinop-MT region, a transition area between the Amazon and Cerrado. While in our study area, the FMA index can be an intermediate alternative, and Angstrom and EVAP/P show high variability, indicating lower reliability, and should be used with caution due to lower precision and lower reproducibility in the region.
This superiority can be attributed to specific meteorological conditions in the region, such as reduced precipitation, low air humidity, and high temperatures, factors that contribute to the drying of fuel material. This combination, associated with heat sources, provides insight into the determining factors of fires in the Cerrado-Amazon Transition [
56,
57].
A study conducted by Casavecchia et al. (2019) [
38] observed that the risk indices obtained in the Monte Alegre Formula (FMA) and modified Monte Alegre (FMA+), in the Cerrado-Amazon transition, showed cumulative dependence on the number of days without rain, which could cause prediction errors when lower accumulated precipitation occurs; changes in rainfall regimes and relative humidity are the factors that most interfered with the performance of the indices. The FMA, as well as other fire risk indices that use climate data, is important and effective; however, depending on the study region, there is a need to adjust the danger classes [
38].
Through local climate analysis, it is possible to determine the periods with the highest probability of fire occurrence [
56,
57]. This demonstrates that, when analyzing the influence of climate on fires, it is necessary to understand the behavior of all climatic variables [
25,
59], since the explanation for the increase or decrease in fires may be related to the set of these variables [
56,
57]. For this reason, it is important to know the main meteorological variables and their relationships with fires, which increases the efficiency in the analysis of fire danger indices and in the development of mitigation and firefighting plans for forest fires [
25,
60].
Hot spots, detected by satellite sensors, represent points of high temperature on the Earth's surface, often associated with wildfires and forest fires. The analysis of meteorological indices, together with data on hot spots, allows for more efficient monitoring of the areas of greatest risk, assisting in the planning of preventive strategies and firefighting actions [
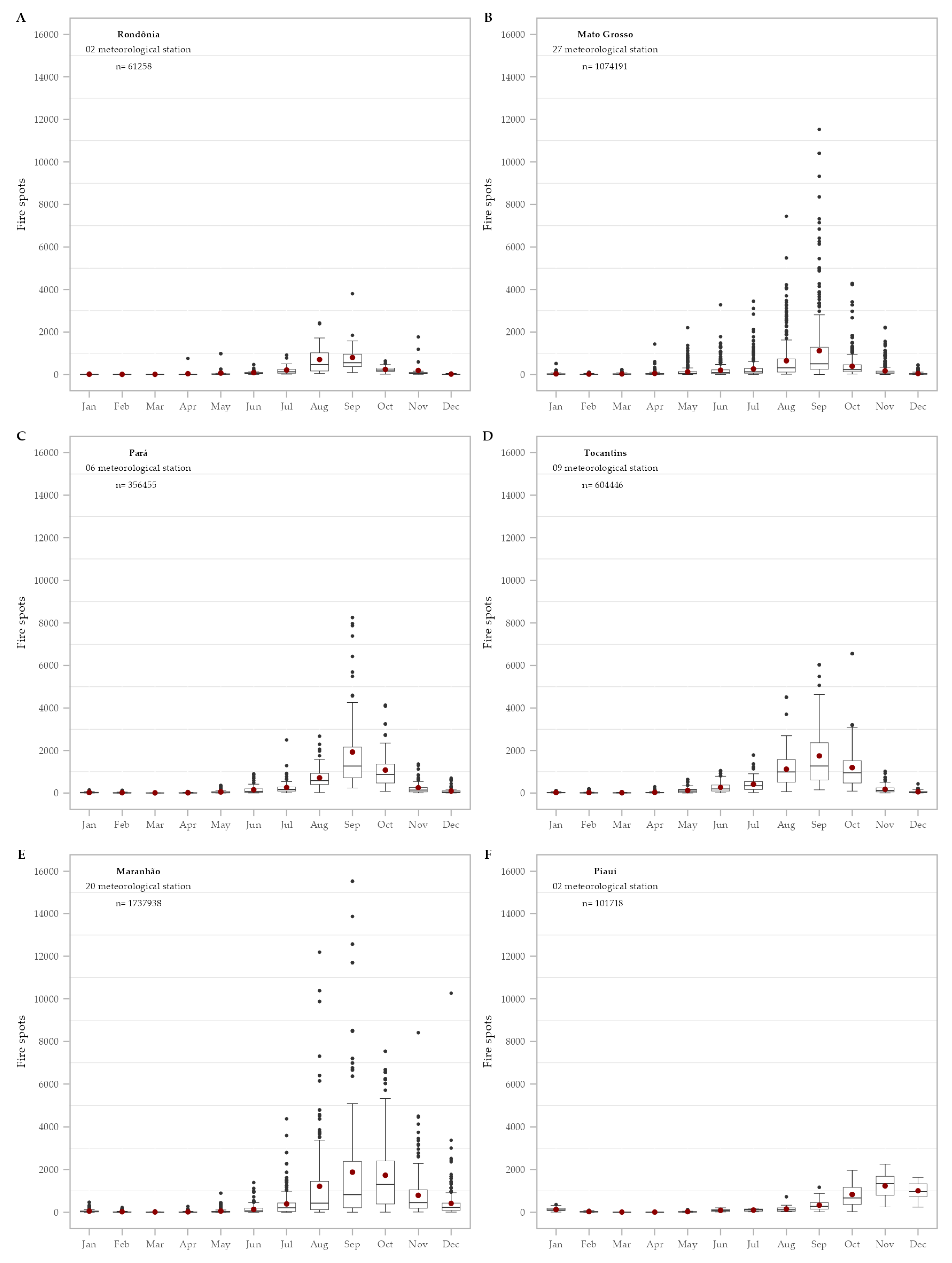
60]. In the present study, 88% of the hotspots were recorded between July and November, with August standing out as the month with the highest number of occurrences. Of this total, 36% of the hotspots occurred in September and 24% in October, mainly concentrated in the months of August, September, and October (
Figure 9). This behavior is directly related to the prevailing climatic conditions during this period, characterized by low relative humidity and high temperatures in the analyzed region. These factors contribute to the increased incidence of hotspots (
Figure 2).
Lima [
40] also observed that the incidence of hotspots increases in the drier months, with the months of August to November being the most critical between 2016 and 2019 in the state of Pará. However, there is no annual pattern; climatic factors, such as the El Niño phenomenon, should be considered when making decisions about wildfires and forest fires [
7,
26,
29]. In analyzing the hotspots recorded over the years in the study area, it was observed that, from January to May, the hotspots are scattered and have low intensity, justified by humidity, due to the greater availability of rain and relative air humidity, factors that contribute to the spread of fire.
In June, there is a progressive increase in the number of hotspots, which intensifies in the following months. Between July and October, the highest number of records is observed, with significant spatial distribution and high density of hotspots, especially in the south and center of the state of Pará, the north of Mato Grosso, Maranhão and Tocantins, regions that are identified with the highest number of occurrences, which can exceed 50,000 monthly records in some points of these regions. With peak activity in August and September, characterized by the driest months of the severe drought period, when the combination of high temperatures, low humidity, and anthropogenic activities (deforestation and land management with the use of fire) substantially contributes to the spread of fires [
7,
40,
59].
Although parts of the states of Maranhão, Tocantins, and Piauí still show a high concentration of hotspots in the month, there is a reduction compared to previous months, indicating the return of the rains. In December, there is a radical decrease in hotspots, with a distribution close to the beginning of the year, marking the annual closing of the hotspot cycle.
The demonstrated seasonality reinforces the region's vulnerability during the dry season, as well as the need for efficient and rigorous legislation, with continuous monitoring strategies, in order to mitigate the risks of fires and the environmental, social, and economic impacts resulting from vegetation fires. The high concentration of hotspots in this region demonstrates the need for efficient public policies aimed at mitigating deforestation and controlling wildfires, integrating environmental monitoring and enforcement, to preserve natural resources, as well as maintain ecosystem services in the region.
All meteorological parameters varied throughout the analyzed period. The Mann-Whitney test result demonstrated that, although some variables are statistically compatible between the observed (weather stations) and estimated (reanalysis) data, there are significant divergences for different variables and states, which highlights the importance of considering regional characteristics in evaluating the performance of the reanalysis product, since the fidelity of the simulations can present considerable variation, according to the variable and the location studied, as there are periods of the year in which meteorological elements contribute decisively to the occurrence and spread of fire [
60].
For all states in the study area, the rainfall variable showed a statistically significant difference, indicating low agreement between the estimated and observed data. This result is consistent with the high RMSE values and the low Willmott indices, which indicate that the estimated rainfall model has low reliability.
In maximum and minimum temperatures, there was greater variation between the states. The maximum temperature (Tmax) showed a significant difference only in the state of Rondônia, while the minimum temperature (Tmin) showed a significant difference in the states of Rondônia, Mato Grosso, and Pará, revealing heterogeneous performance of the model for these variables. As for the average temperature (Tmed), statistically, there was no difference between the states, suggesting that the model has a good capacity to simulate regional temperature averages. Air temperature also influences fires by altering other meteorological elements, such as wind speed and direction and air humidity [
61]. Prolonged high temperatures can worsen drought [
41,
62].
In general, in the analysis of the estimated meteorological data, the ERA5-Land reanalysis data confirm that the months with the highest temperatures in the study area are from August to October; June has the lowest average temperature, and July has the lowest average minimum temperature. Thus, the results demonstrated that reanalysis is viable for estimating air temperature in regions without monitoring stations.
Regarding average relative humidity (Urmed), the states of Pará and Mato Grosso showed statistically significant differences, while minimum relative humidity (RHmin) showed a statistically significant difference only in Rondônia, indicating that the model, despite showing coherence in humidity estimates, is still limited for extreme values in some regions. Rainfall and relative air humidity stand out among the most used meteorological variables, while high temperatures and low relative humidity are key to the ignition of fires [
25,
59].
In the study area located in the Cerrado-Amazon transition zone, the average wind speed was statistically different between Rondônia and Piauí, while in the other states, the model did not show differences. The average wind speed is higher in August and September, coinciding with the driest months, while the average and minimum relative humidity are low during this period, which increases the risk of fires. Due to the large short-term variation, determining wind behavior is a challenge in fire studies [
56,
63]. However, due to the low values of the Willmott index, it is observed that the model's performance for the wind variable is almost always unsatisfactory, due to the structural limitations of this variable.
Souto et al. [
25] studied fire behavior in the State of Minas Gerais, correlated wind speed with fire variables and other meteorological variables, finding a predominantly positive and significant correlation, and observed that the higher the wind speed, the greater the number of heat spots, since wind is the main element for fire propagation.
Gonçalves and Dias [
39] evaluated the correlation between meteorological elements and the number of fire occurrences in the municipality of Jataí, in Goiás, and found, however, a low correlation with wind speed. According to the authors, the non-significance of the correlation between fires and wind speed can be explained by the greater wind movement in the summer; however, during this period, rainfall is frequent, which prevents fires. Furthermore, according to the authors, it cannot be stated that wind does not influence the occurrence of fires, as the analysis applied may not be sufficient to detect this influence [
39]. Climatic conditions are responsible for the occurrence and spread of vegetation fires [
25,
59,
60].
The normalization of the data allowed comparisons between variables with different scales, using average values and standard deviation, with the aim of standardizing the data, indicating the ratio between the averages of the observed data (from meteorological stations) and the estimated data (from reanalyses) made it possible to analyze the relative distribution of meteorological variables, through spatialization by categorization, allowing to qualify how close or far the model is from the observed reality at each point in the study area.
The comparison of time series between the averages of variables obtained from meteorological stations and reanalysis data (ERA5-Land), generated from these sources, revealed substantial differences, particularly in the daily average rainfall and the mean bias error (MBE). It was observed that the reanalysis data underestimate the amount of rainfall recorded at the stations, which can be attributed to limitations in the spatial resolution of the sensors and in the calibration of the models. This discrepancy affects the accuracy of climate studies and environmental monitoring, hindering weather forecasts and the modeling of vegetation fire risk. Strategies such as the integration of multiple data sources and adjustments to the models can improve the accuracy of satellite estimates [
64].
The results indicated an underestimation of the reanalysis data, evidenced by the fact that the values estimated based on these data were consistently lower than the values recorded at meteorological stations for the same variable. This discrepancy can be attributed to several limitations inherent in the remote sensing estimation process, which cannot always accurately capture the actual amount of rain that reaches the ground, and may include insufficient spatial resolution of satellite sensors and possible inadequacies in the models used for data calibration [
62,
64]. In addition, meteorological factors and specific environmental characteristics of the analyzed regions may also contribute to the observed difference between in situ measurements and estimates based on reanalysis data.
From a methodological point of view, the underestimation of rainfall data can compromise the accuracy of climate studies, fire hazard studies, and environmental monitoring, directly impacting research related to the forecasting of extreme weather events and the modeling of vegetation fire risk. Thus, it becomes essential to develop strategies that allow improving the accuracy of satellite estimates, such as the integration of multiple data sources, the adjustment of numerical forecasting models and the application of statistical techniques to correct observed biases [
64]. It is also important to emphasize that rainfall, relative air humidity and air temperature are the meteorological factors that most influence the moisture content of fuel material and, therefore, must be constantly monitored to determine the danger of forest fires [
25].
The study by Moraes et al. [
65] used data from the ECMWF reanalysis in the estimation of precipitation and temperature and demonstrated that it is accurate and able to redistribute prediction patterns in the Brazilian Amazon and that the higher concentrations of surface meteorological stations in the eastern/southeastern portion of the Amazon region were decisive for the model's performance. For rainfall, the model data were considered averages, with better values at the weather station, as it determines precipitation in a point-by-point manner, while the ECMWF measurements cover an area of 0.25° x 0.25° [
64]. It is concluded that models can be used as a reliable source of data when information from surface stations is not available [
64,
66].
The use of concise meteorological data is important for the development of a prevention program and for fighting vegetation fires, as well as for making quick and assertive decisions [
57,
58]. Precipitation and relative humidity stand out among the most used meteorological variables [
25], while high temperatures and low relative humidity are key to the ignition of fires [
25,
60].
The average wind speed showed great variation; however, when observing this heterogeneous distribution, it can be inferred that there is a different behavior of this variable throughout the analyzed territory, which highlights the need for caution in its use in local analyses. This condition may be related to the limitations of reanalysis data in accurately capturing wind dynamics near the surface. These products tend to provide a better representation of the middle and upper layers of the atmosphere. However, local characteristics such as relief, land cover, and surface roughness directly influence wind behavior in the lower layers, which, in reanalysis models, are considered a challenge due to the constraints imposed by the spatial scale used.
5. Conclusions
For the entire study area, the FMA+ and P-EVAP indices stand out for their greater ability to estimate the risk of vegetation fires more accurately and consistently under different climatic conditions, as well as greater agreement and lower errors. The FMA index can be an intermediate alternative, while Angstrom and EVAP/P show high variability, indicating lower reliability, and should be used with caution due to lower accuracy and lower reproducibility in the region. Their efficiency and applicability depend on observations of local and point climatic characteristics for a better response and greater representativeness of these indices. All indices, even the most consistent in the literature, showed variation by season, both in the data obtained on the surface and in the reanalysis.
The P-EVAP index stands out in the study area as a reliable model for predicting fire risk. However, Angstrom is the index with the most limited performance. When comparing the weather station conditions with the reanalysis data, it is observed that the reanalysis data tend to present slightly superior results, except for EVAP-P, which showed a slight reduction. The choice of the ideal method depends on the specific characteristics of each weather station.
The results demonstrated that the ERA5 Land reanalysis data are reliable and can be used when there is no data from local weather stations.
Given the observed local climatic conditions and their variation throughout the area, our study highlights the importance of using indices capable of performing a fire hazard assessment based on models that utilize climatic variables such as rainfall, temperature, relative humidity, and wind, derived from weather stations or reanalysis, thus contributing to fire prevention and control.
Thus, the application of indices that enable the fight against fire events not only in the transition zone, but also throughout the Amazon and Cerrado ecotone, considering the similar climatic characteristics, is crucial. Furthermore, it is necessary to emphasize that preserving these areas and monitoring them, based on a proposed fire hazard assessment, can contribute to the development of targeted public policies with short- and long-term actions, as well as global actions aimed at reducing greenhouse gas emissions.
Figure 1.
Representation of the 200 km buffer zone from the Cerrado-Amazon transition zone (considered the study area) and the location of the evaluated conventional and automatic weather stations.
Figure 1.
Representation of the 200 km buffer zone from the Cerrado-Amazon transition zone (considered the study area) and the location of the evaluated conventional and automatic weather stations.
Figure 2.
Meteorological variables throughout the year measured at meteorological stations in the Cerrado-Amazon transition zone, from 2010 to 2020: (A) total monthly rainfall, (B) daily maximum air temperature, (C) daily average air temperature, (D) daily minimum air temperature, (E) daily average relative humidity, (F) daily minimum relative humidity, and (G) daily average wind speed – 2.0 m height. The box in the Boxplot represents the interquartile range; the line inside the box is the median; the stems are the lower and upper limits; the points outside the box are the outliers; and the point inside is the mean.
Figure 2.
Meteorological variables throughout the year measured at meteorological stations in the Cerrado-Amazon transition zone, from 2010 to 2020: (A) total monthly rainfall, (B) daily maximum air temperature, (C) daily average air temperature, (D) daily minimum air temperature, (E) daily average relative humidity, (F) daily minimum relative humidity, and (G) daily average wind speed – 2.0 m height. The box in the Boxplot represents the interquartile range; the line inside the box is the median; the stems are the lower and upper limits; the points outside the box are the outliers; and the point inside is the mean.
Figure 3.
Observed spatial variation (OSMV) of meteorological elements (average annual total rainfall; average daily maximum, average and minimum temperatures) and statistical indicators Mean Bias Error (MBE), Root Mean Square Error (RMSE) and Willmott's index of agreement, between data measured at meteorological stations (INMET) and reanalysis (ERA5 Land), in the Cerrado-Amazon transition, from 2010 to 2022. Represented by symbols (circles and triangles). The reference is the data measured at meteorological stations and for the interpretation of the statistical indices, we have: i) MBE - circles represent values from 0.99 to -0.99, considered perfect; red triangle, values of 1 > 20%, indicate underestimation; and the inverted triangle, blue color, values of -1 < -35% overestimation; ii) RMSE, the color variation from yellow to red (0 to 20 excellent dispersion; 20 to 60 moderate dispersion; 60 to 100 large spread of errors); iii) Willmott's d, varies on a scale of 0 to 1 from yellow to red (0.9 to 1.0 excellent; 0.8 to 0.9 very good; 0.7 to 0.8 good; 0.5 to 0.7 fair, and < 0.5 poor). *The acronym OVMS refers to Observed Spatial Variability in Weather Station Data
Figure 3.
Observed spatial variation (OSMV) of meteorological elements (average annual total rainfall; average daily maximum, average and minimum temperatures) and statistical indicators Mean Bias Error (MBE), Root Mean Square Error (RMSE) and Willmott's index of agreement, between data measured at meteorological stations (INMET) and reanalysis (ERA5 Land), in the Cerrado-Amazon transition, from 2010 to 2022. Represented by symbols (circles and triangles). The reference is the data measured at meteorological stations and for the interpretation of the statistical indices, we have: i) MBE - circles represent values from 0.99 to -0.99, considered perfect; red triangle, values of 1 > 20%, indicate underestimation; and the inverted triangle, blue color, values of -1 < -35% overestimation; ii) RMSE, the color variation from yellow to red (0 to 20 excellent dispersion; 20 to 60 moderate dispersion; 60 to 100 large spread of errors); iii) Willmott's d, varies on a scale of 0 to 1 from yellow to red (0.9 to 1.0 excellent; 0.8 to 0.9 very good; 0.7 to 0.8 good; 0.5 to 0.7 fair, and < 0.5 poor). *The acronym OVMS refers to Observed Spatial Variability in Weather Station Data

Figure 4.
Observed spatial variation (OSMV) of meteorological elements in annual averages of daily data (average and minimum relative air humidity and average wind speed) and statistical indicators Mean Bias Error (MBE), Root Mean Square Error (RMSE), and Willmott's concordance index, between data measured at meteorological stations (INMET) and reanalysis (ERA5 Land), in the Cerrado-Amazon transition, from 2010 to 2022. Variability is represented by a color gradient, and statistical indicators (MBE, RMSE, and Willmott) are indicated by symbols (circles and triangles). The reference is the data measured at meteorological stations, and for the interpretation of the statistical indices, we have: i) MBE - circles represent values from 0.99 to -0.99, considered perfect; red triangle, values of 1 > 20%, indicate underestimations; and the inverted triangle, blue color, values of -1 < -35% overestimation; ii) RMSE, the color variation from yellow to red (0 to 20 excellent dispersion; 20 to 60 moderate dispersion; 60 to 100 large spread of errors; iii) Willmott's d, varies on a scale of 0 to 1 from yellow to red (0.9 to 1.0 excellent; 0.8 to 0.9 very good; 0.7 to 0.8 good; 0.5 to 0.7 fair, and < 0.5 poor). *The acronym OVMS refers to Observed Spatial Variability in Weather Station Data*
Figure 4.
Observed spatial variation (OSMV) of meteorological elements in annual averages of daily data (average and minimum relative air humidity and average wind speed) and statistical indicators Mean Bias Error (MBE), Root Mean Square Error (RMSE), and Willmott's concordance index, between data measured at meteorological stations (INMET) and reanalysis (ERA5 Land), in the Cerrado-Amazon transition, from 2010 to 2022. Variability is represented by a color gradient, and statistical indicators (MBE, RMSE, and Willmott) are indicated by symbols (circles and triangles). The reference is the data measured at meteorological stations, and for the interpretation of the statistical indices, we have: i) MBE - circles represent values from 0.99 to -0.99, considered perfect; red triangle, values of 1 > 20%, indicate underestimations; and the inverted triangle, blue color, values of -1 < -35% overestimation; ii) RMSE, the color variation from yellow to red (0 to 20 excellent dispersion; 20 to 60 moderate dispersion; 60 to 100 large spread of errors; iii) Willmott's d, varies on a scale of 0 to 1 from yellow to red (0.9 to 1.0 excellent; 0.8 to 0.9 very good; 0.7 to 0.8 good; 0.5 to 0.7 fair, and < 0.5 poor). *The acronym OVMS refers to Observed Spatial Variability in Weather Station Data*

Figure 5.
Normalized Precipitation Index in the Cerrado-Amazon Transition, presented by symbols, in a color gradient, with inverted blue triangles representing underestimated values (< -1.0 large, -1.0 to -0.40 medium; -0.40 to -0.10 small), circles without color filling (-0.10 to 0.10 normal) and red triangles representing overestimated values (0.10 to 0.40 small; 0.40 to 1.0 medium; and ≥ 1.0 large).
Figure 5.
Normalized Precipitation Index in the Cerrado-Amazon Transition, presented by symbols, in a color gradient, with inverted blue triangles representing underestimated values (< -1.0 large, -1.0 to -0.40 medium; -0.40 to -0.10 small), circles without color filling (-0.10 to 0.10 normal) and red triangles representing overestimated values (0.10 to 0.40 small; 0.40 to 1.0 medium; and ≥ 1.0 large).
Figure 6.
Normalization categories (ratio) of meteorological variables between the averages obtained at meteorological stations and the ERA-5 reanalysis data, in the Cerrado-Amazon transition. Index categorized on a color scale.
Figure 6.
Normalization categories (ratio) of meteorological variables between the averages obtained at meteorological stations and the ERA-5 reanalysis data, in the Cerrado-Amazon transition. Index categorized on a color scale.
Figure 7.
Dispersion (a) and interannual variation (b) of fire danger indices obtained with data measured by the meteorological station and by reanalysis for the Vilhena (RO) station, in the Cerrado-Amazon Transition. Graphs from other meteorological stations can be viewed in
Figure S1 of the supplementary document.
Figure 7.
Dispersion (a) and interannual variation (b) of fire danger indices obtained with data measured by the meteorological station and by reanalysis for the Vilhena (RO) station, in the Cerrado-Amazon Transition. Graphs from other meteorological stations can be viewed in
Figure S1 of the supplementary document.
Figure 8.
Annual totals and hotspots in the Cerrado-Amazon transition region, between 2010 and 2022.
Figure 8.
Annual totals and hotspots in the Cerrado-Amazon transition region, between 2010 and 2022.
Figure 9.
Boxplots of the monthly distribution of the number of hotspots recorded in the states of the region that belong to the buffer area in the Cerrado-Amazon transition: Rondônia (A), Mato Grosso (B), Pará (C), Tocantins (D), Maranhão (E) and Piauí (F) in the period from 2010 to 2022. In the boxplot, the box represents the interquartile range; the line inside the box is the median; the stems are the lower and upper limits; the points outside the box are the outliers; and the point inside is the average of the hotspots throughout the months of the year, in the period from 2010 to 2022, for the states. * n - number of hotspots and the number of stations per state.
Figure 9.
Boxplots of the monthly distribution of the number of hotspots recorded in the states of the region that belong to the buffer area in the Cerrado-Amazon transition: Rondônia (A), Mato Grosso (B), Pará (C), Tocantins (D), Maranhão (E) and Piauí (F) in the period from 2010 to 2022. In the boxplot, the box represents the interquartile range; the line inside the box is the median; the stems are the lower and upper limits; the points outside the box are the outliers; and the point inside is the average of the hotspots throughout the months of the year, in the period from 2010 to 2022, for the states. * n - number of hotspots and the number of stations per state.
Figure 10.
Monthly distribution of hotspots in the Cerrado-Amazon transition zone from 2010 to 2022.
Figure 10.
Monthly distribution of hotspots in the Cerrado-Amazon transition zone from 2010 to 2022.
Figure 11.
Spatial distribution of the total number of hotspots from 2010 to 2022 in the Cerrado-Amazon Transition Zone.
Figure 11.
Spatial distribution of the total number of hotspots from 2010 to 2022 in the Cerrado-Amazon Transition Zone.
Figure 12.
Spatialization of accuracy in fire occurrence predictions (AP), according to the skill score method, of the relationship between fire indices and fire hotspots, using variables from meteorological stations and reanalysis data.
Figure 12.
Spatialization of accuracy in fire occurrence predictions (AP), according to the skill score method, of the relationship between fire indices and fire hotspots, using variables from meteorological stations and reanalysis data.
Figure 13.
Spatialization of the Success Percentage (SP) of the relationship between fire danger indices and fire outbreaks, using variables from meteorological stations and re-analysis data.
Figure 13.
Spatialization of the Success Percentage (SP) of the relationship between fire danger indices and fire outbreaks, using variables from meteorological stations and re-analysis data.
Table 1.
Restrictions on the application of fire danger indices: FMA, FMA+, P-EVAP and EVAP/P.
Table 1.
Restrictions on the application of fire danger indices: FMA, FMA+, P-EVAP and EVAP/P.
| Daily rainfall (mm) |
Changes to the calculations |
| FMA and FMA+ |
| ≤ 2.4 |
None |
| 2.5 a 4.9 |
Subtract 30% of the FMA calculated the previous day, and add (100/H) for the day |
| 5.0 a 9.9 |
Subtract 60% of the FMA calculated the previous day, and add (100/H) for the day |
| 10.0 a 12.9 |
Subtract 80% of the FMA calculated the previous day, and add (100/H) for the day |
| > 12.9 |
Stop the calculation (FMA = 0) and restart the summation the following day |
| |
P-EVAP |
| ≤ 2.0 |
None |
| 2.1 a 5.0 |
Subtract 25% from the value of G calculated the previous day, and add (d.t) for the current day |
| 5.1 a 8.0 |
Subtract 50% from the value of G calculated the previous day, and add (d.t) for the current day |
| 8.1 a 10.0 |
Abandon the previous summation and restart the calculation, that is, G = (d.t) of the day |
| |
EVAP/P |
| < 1.0 |
It's not included in the calculation |
| 1.0-15.0 |
Divide the previous day's EVAP/P by the day's rainfall. |
| >15 |
Interrupt the calculation and restart the next day or when the rain stops. On the day of the rain, EVAP/P = 0.00 |
Table 2.
Grouping into fire danger classes according to the danger index.
Table 2.
Grouping into fire danger classes according to the danger index.
| Danger classes |
FMA |
FMA+ |
P-EVAP |
EVAP/P |
Ängstrom |
| Null |
≤ 1.0 |
≤ 3.0 |
≤ -5 |
<11 |
< 4.5 |
| Low |
1.1 to 3.0 |
3.1 to 8.0 |
-5 to -15 |
11 to 30 |
4.5 to 4.2 |
| Medium |
3.1 to 8.0 |
8.1 to 14.0 |
-15 to -35 |
30 to 56 |
4.2 to 4 |
| High |
8.1 to 20.0 |
14.1 to 24.0 |
-35 to -75 |
56 to 93 |
4 to 3.5 |
| Very High |
> 20.0 |
> 24.0 |
< -75 |
> 93 |
< 3.5 |
Table 3.
Contingency of Skill Score.
Table 3.
Contingency of Skill Score.
Forecast |
Observed |
Total Forecast |
| Fire |
No Fire |
| Fire |
A |
b |
N2 = a + b |
| No Fire |
C |
d |
N4 = c + d |
| Total Forecast |
N1= a + c |
N3 = b + d |
N = a + b +c + d |
Table 4.
Mann-Whitney test for meteorological variables obtained from measurements at weather stations (observed) and reanalysis (estimated), in the states located in the Cerrado-Amazon transition zone.
Table 4.
Mann-Whitney test for meteorological variables obtained from measurements at weather stations (observed) and reanalysis (estimated), in the states located in the Cerrado-Amazon transition zone.
| By state in the study area |
| States / Variables |
MT |
TO |
MA |
PA |
PI |
RO |
| Rainfall |
0.00 |
0.00 |
0.00 |
0.00 |
0.00 |
0.00 |
| Maximum air temperature (Tmax) |
0.28 |
0.31 |
0.16 |
0.15 |
0.24 |
0.03 |
| Average air temperature (Tmed) |
0.14 |
0.21 |
0.19 |
0.19 |
0.09 |
0.32 |
| Minimum air temperature (Tmin) |
0.03 |
0.06 |
0.16 |
0.03 |
0.10 |
0.04 |
| Medium relative humidity (RHmed) |
0.05 |
0.08 |
0.20 |
0.00 |
0.19 |
0.31 |
| Minimum relative humidity (RHmin) |
0.30 |
0.38 |
0.31 |
0.20 |
0.10 |
0.04 |
| Medium wind speed (WS) |
0.12 |
0.15 |
0.19 |
0.14 |
0.01 |
0.01 |
| By variables |
| Values |
Chuva |
Tmax |
Tmed |
Tmin |
Urmed |
Urmin |
Vvento |
| Average |
0.00 |
0.23 |
0.17 |
0.08 |
0.10 |
0.29 |
0.14 |
| Maximum |
0.00 |
0.98 |
0.99 |
0.92 |
1.00 |
0.98 |
0.91 |
| Minimum |
0.00 |
0.00 |
0.00 |
0.00 |
0.00 |
0.00 |
0.00 |
Table 5.
Statistical performance (MBE, RMSE and d'Willmot) of the FMA, FMA+, Angstrom, P-EVAP and EVAP/P indices, estimated with meteorological station and reanalysis data, for the Cerrado-Amazon Transition, which covers parts of the territories of the states of MA, MT, PA, PI, RO and TO.
Table 5.
Statistical performance (MBE, RMSE and d'Willmot) of the FMA, FMA+, Angstrom, P-EVAP and EVAP/P indices, estimated with meteorological station and reanalysis data, for the Cerrado-Amazon Transition, which covers parts of the territories of the states of MA, MT, PA, PI, RO and TO.
| States |
|
| Indexes |
MA |
MT |
PA |
PI |
RO |
TO |
| MBE |
| Angstrom |
-0.014 |
-0.052 |
-0.040 |
-0.070 |
0 |
-0.007 |
| EVAP/P |
164.268 |
66.911 |
123.403 |
264.61 |
72.445 |
109.011 |
| FMA |
46.487 |
32.503 |
33.045 |
76.34 |
30.855 |
31.149 |
| FMA+ |
35.940 |
22.248 |
22.208 |
61.13 |
21.66 |
28.407 |
| P-EVAP |
-40.736 |
-15.864 |
-35.695 |
-88.835 |
-6.965 |
-37.881 |
| |
RMSE |
| Angstrom |
0.764 |
0.916 |
0.815 |
1.02 |
0.72 |
0.91 |
| EVAP/P |
609.426 |
281.324 |
340.758 |
554.9 |
212.805 |
290.754 |
| FMA |
132.657 |
129.974 |
105.455 |
166.055 |
106.565 |
126.481 |
| FMA+ |
121.0984 |
120.350 |
95.028 |
154.565 |
91.910 |
130.037 |
| P-EVAP |
169.284 |
115.452 |
128.575 |
222.945 |
73.88 |
140.871 |
| |
d Willmott |
| Angstrom |
0.747 |
0.730 |
0.758 |
0.71 |
0.795 |
0.635 |
| EVAP/P |
0.496 |
0.577 |
0.608 |
0.54 |
0.665 |
0.613 |
| FMA |
0.699 |
0.728 |
0.762 |
0.62 |
0.74 |
0.732 |
| FMA+ |
0.716 |
0.741 |
0.765 |
0.65 |
0.8 |
0.718 |
| P-EVAP |
0.728 |
0.737 |
0.725 |
0.7 |
0.83 |
0.736 |
Table 6.
Average Skill Score of fire hazard indices in the study area.
Table 6.
Average Skill Score of fire hazard indices in the study area.
| Danger Indices |
Meteorological station |
Reanalysis |
| FMA |
0.35 |
0.35 |
| FMA+ |
0.38 |
0.40 |
| Angstron |
0.01 |
0.08 |
| P-EVAP |
0.40 |
0.45 |
| EVAP-P |
0.34 |
0.30 |