Submitted:
15 January 2026
Posted:
16 January 2026
You are already at the latest version
Abstract
Keywords:
1. Introduction
1.1. Background
1.2. Preliminaries
2. Materials and Methods
2.1. Preliminaries
2.2. Computational Approach
2.3. Number of Accurate Digits
2.4. Working Precision, Data Range, and Accuracy
2.5. Phase Method
2.5.1. PM in a nutshell
- Phase Method is related to Shooting Method, but upside down and backwards.
- Sturm’s separation theorem implies the number of zeros in the solution doesn’t change even if the initial conditions do: their locations just move around.
- You don’t have to find a proper convergent wave function to find eigenvalues.
- “Shoot First” Method - uses nominal initial slope/value conditions for specified energy parameter (no tweaking initial conditions/boundary conditions is needed).
- Choose x-range so as to promote divergent solutions by placing initial point far enough into the classically forbidden region. It actually is beneficial for reasons described below and in [1]
- Automatic x-range setting is/can be done by scaling computed classical turning points at highest energy (easily overridden if desired). The small x (aka r) criterion is different for potentials singular at , see below.
- “Phase Plot” digitizes divergent ODE solution for the purpose of counting transitions/ # of bound states, and visualizing to check appropriate x-range.
- Use Adaptive ODE solver (no fixed grids!) with Stiffness Switching for robustness.
- Parallel interval-based evolutionary solver finds all eigenvalues accurately and efficiently, no initial guessing is needed, as it is in Shooting Method.
- Automatic maximum and minimum -search range setting is/can be calculated based on potential (easily overridden if desired).
- Use Arbitrary Precision Arithmetic - really big numbers are fine. Take care not to pollute high precision numbers with low precision.
- The number of accurate digits of the computed eigenvalues is reliably half the number of digits of working precision, iff range is adequate. The reason is explained below. User chooses the accuracy, you just have to wait for the answer.
- “Shoot First” method can be used to compute wave functions starting with the very accurate eigenvalues from above, with automatic divergence detection/truncation at large x.
- “Self-healing” of differences in the logarithmic derivatives owing to different initial conditions occurs well into classically forbidden region (see below); solution is robust even if transient overflow occurs.
- Automatic validation of wave functions: Virial Theorem tests, expectation value vs eigenvalue; wave function convergence tests.
2.5.2. Expanded Description
2.5.3. “Self-healing” Logarithmic Derivative
2.5.4. Phase Plot
2.5.5. Arbitrary Precision Arithmetic
2.5.6. Evolutionary Search: Sifting and Refining
2.6. Eigenvalues and Critical Binding Parameters
2.7. Adapting the Phase Method for Determining Critical Screening Lengths
2.8. -Scaling Test
- Yukawa:
- Hulthén:
- Pseudo-Hulthén:
- ECSC: .
2.9. Pseudo-Hulthén Internal Self-Consistency Tests
2.10. Alternative Method for Calculating Critical Screening Lengths
2.11. Recommendations for Obtaining Accurate Calculations
- Use arbitrary precision arithmetic sufficient to get the desired accuracy. It is not necessary to limit oneself to machine arithmetic or to use GPUs, which normally support at most double precision floating point. Our code for this class of problems (and more generally, Phase Method) primarily uses CPU cores, not GPU.
- Take care to avoid polluting high precision numerics by introducing lower precision numbers into the calculation, intentionally or inadvertently. For example "1./2."≠ "1/2": the real number is machine precision, while the rational fraction has infinite precision. Mathematica/Wolfram Language automatically tracks precision and accuracy of real numbers in its computations, a powerful feature. SetPrecision is your friend.
- For robustness use adaptive ODE solvers with stiffness detection and switching. Alternatively change variables so the function being integrated is rather smooth. Or do both.
- Use very short and reasonably long distance cutoffs sufficient to obtain the desired accuracy. For singular potentials, and for , the short distance cutoff needs to be much shorter than it does for because in the latter the centrifugal potential pushes the wave function to larger r. For near-zero energies the time cost is very modest to use an absurdly long range with an adaptive ODE solver. For , the solution at large r where , is close to a straight line. But to determine a near-zero slope of a computed solution a long lever-arm (i.e. long range) is still needed.
- Compare with known exact values as benchmarks (and of course literature values) to validate the computational apparatus. Use -scaling tests and internal cross checks as applicable.
3. Results
- Compare PM eigenvalues to 60 digit accuracy with exact values for Coulomb and Pseudo-Hulthén potentials.
- Compare PM eigenvalues to 30 digit accuracy with Stubbins’s variational calculations for the Yukawa, Hulthén, and Pseudo-Hulthén potentials for , confirming the correct ordering of levels at small , and Stubbins’s values.
- Compare our results to 30 digits with Demiralp’s for the Yukawa and Hulthén potentials.
- Compare our results to 30 digits to those of Jiao’s values printed in the paper, for several potentials.
- Compare PM results to 60 digit accuracy with exact values for Pseudo-Hulthén potentials.
- Present our tables at 60 digits accuracy of values for PseudoHulthén, Hulthén, Yukawa, and ECSC potentials for all states up to and .
- These are followed by our computed values at 30 digits accuracy up to for for the Yukawa potential and ECSC potentials. Over this range the asymptotic dependence is clear. The ECSC values show interesting structure that is not present in the former. Asymptotic convergence is clear.
- Confirm the correct ordering of for the various potentials in all cases:
- Using semiclassical approximation, we analytically derive the asymptotic forms of vs for Yukawa and Hulthén potentials, which agree with fits to the numerically calculated behavior.
3.1. Phase Method Eigenvalues - Validation Tests
3.1.1. Comparison with Exact Pseudo-Hulthén Potential Eigenvalues
3.1.2. Comparison with Exact Coulomb Eigenvalues, Confirmation of SO(4) Degeneracy
3.1.3. Comparison with Exact Coulomb Eigenvalues Near
3.1.4. Comparison of PM-calculated Energy eigenvalues to Stubbins, and Vrscay
3.1.5. Comparison of PM eigenvalues with Stubbins for ; Perturbation Theory
3.2. Critical Binding Parameters
3.2.1. Comparison with Exact Pseudo-Hulthén Potential Eigenvalues
3.2.2. Comparison with Demiralp’s1989 calculations for the Yukawa Potential
3.3. Comparison with Singh and Varshni’s [16] Calculations of for the ECSC Potential
3.4. Comparison with of Jiao et al [3] for Yukawa, ECSC, and Hulthén Potentials
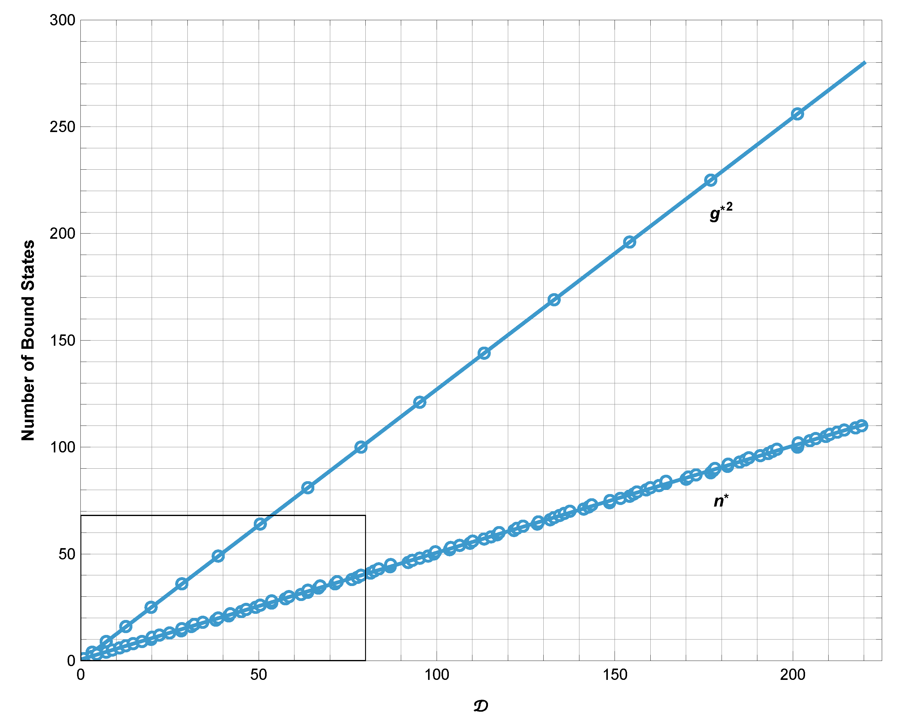
3.5. -Scaling Tests
3.6. Our Tables
3.7. Comparison with Rogers et al
3.8. Yukawa
3.9. Inequality Plots
4. Discussion
4.1. Asymptotic Behavior of vs
5. Conclusions
Funding
Data Availability Statement
Acknowledgments
Conflicts of Interest
Appendix A. Data Tables
Appendix A.1. Yukawa Potential μ c vs l for D=1/μ≤1000 au
Appendix A.2. Exponential Cosine Screened Coulomb (ECSC) Potential μ c vs l for D=1/μ≤1000 au
Appendix A.3. Hulthén Potential μ c vs l for D=1/μ≤1000 au
Appendix A.4. Pseudo-Hulthén Potential μ c vs l for D=1/μ≤1000 au
References
- Bunker, G.B.; Bunker, G. B. The Phase Method: for Numerical Solution of the Schrödinger Equation; Kindle Edition: Oak Park, Illinois, 2024. [Google Scholar]
- Demiralp, M. Rapidly converging threshold value calculations in screened coulomb potential systems: Critical values of the screening parameter for the Yukawa case Theor. Chim. Acta 1989, 75, 223–232. [Google Scholar] [CrossRef]
- Jiao, L.G.; Xie, H.H.; Liu, A.; Montgomery, H.E., Jr.; Ho, Y. K. Critical screening parameters and critical behaviors of one-electron systems with screened Coulomb potentials J. Phys. B: At. Mol. Opt. Phys. 2021, 54, 175002–175015. [Google Scholar] [CrossRef]
- Lam, C.S.; Varshni, Y.P. Energies of s Eigenstates in a Static Screened Coulomb. Phys. Rev. A 1971, 4(5), 1875–1881. [Google Scholar] [CrossRef]
- Hulthén; Hulthsn, L. L.; Arkiv Mat. Astron. Fysik 1942, 23A(No. 5), 12. [Google Scholar]
- Flügge, S. Practical Quantum Mechanics; Springer-Verlag: Berlin, Heidelberg, New York, 1971. [Google Scholar]
- Greene, R.L.; Aldrich, C. Variational wave functions for a screened Coulomb potential. Phys. Rev. A 1976, 14(6), 2363–2366. [Google Scholar] [CrossRef]
- Landau, L.D.; Lifshitz, E.M. Quantum Mechanics Non-Relativistic Theory; Pergamon Press Inc.: Elmsford, New York, 1977. [Google Scholar]
- Qi, Y.Y.; Wang, J.G.; Janev, R.K. Dynamics of photoionization of hydrogenlike ions in Debye plasmas. Phys. Rev. A 2009, 80, 063404-1–15. [Google Scholar] [CrossRef]
- Janev, R.K; Zhang, S.; Wang, J. Review of quantum collision dynamics in Debye Plasmas, Matter Radiat. Extremes 2016, 1, 237–248. [Google Scholar]
- Roy, A. K. Critical Parameters and Spherical Confinement of H Atom in Screened Coulomb Potential. Int. J. Quantum Chem. 2016, 116, 953–960. [Google Scholar] [CrossRef]
- Stubbins, C. Bound states of the Hulthén and Yukawa potentials. Phys. Rev. A 1993, 48, 220–227. [Google Scholar] [CrossRef] [PubMed]
- Vrscay, E. R Hydrogen atom with a Yukawa potential: Perturbation theory and continued-fractions-Padé approximants at large order. Phys. Rev. A 1986, 33(2), 1433–1436. [Google Scholar] [CrossRef] [PubMed]
- Edwards, J.P.; Gerber, U.; Schubert, C.; Trejo, M.A.; Weber, A. The Yukawa potential: ground state energy and critical screening Prog. Theor. Exp. Phys. 2017, 8, 083A01. [Google Scholar] [CrossRef]
- Rogers, F. J; Graboske, H. C., Jr.; Harwood, D. J Bound Eigenstates of the Static Screened Coulomb. Phys. Rev. A 1970, 6, 1577–1586. [Google Scholar] [CrossRef]
- Singh, D.; Varshni, Y.P. Accurate eigenvalues and oscillator strengths for the exponential-cosine screened Coulomb potential. Phys. Rev. A. 1983, 28(5), 2606–2610. [Google Scholar] [CrossRef]
- Napsuciale, M.; Rodríguez, S. Complete analytical solution to the quantum Yukawa potential Phys. Lett. B 2021 816, 136218-1–5. [Google Scholar]
- del Valle, J.C.; Nader, D.J. Toward the theory of the Yukawa potential J. Math. Phys. 2018, 59, 102103-1–19. [Google Scholar] [CrossRef]
- Gomes, O.A.; Chacham, H.; Mohallem, J. R. Variational calculations for the bound-unbound transition of the Yukawa potential. Phys. Rev. A 1994, 50, 228–231. [Google Scholar] [CrossRef] [PubMed]
- Diaz, C.G.; Fernández, F. M.; Castro, E. A. Critical screening parameters for screened Coulomb potentials J. Phys. A 1991, 24, 2061–2068. [Google Scholar] [CrossRef]
- Bylicki, M; Stachów, A.; Karawowski, J.; Mukherjee, P. K. The resonance levels of the Yukawa potential Chem. Phys. 2007, 331, 346–350. [Google Scholar]
- Schey, H.M; Schwartz, J.L. Counting the Bound States in Short-Range Central Potentials. Phys. Rev. 1965, 138(5), B1428–1432. [Google Scholar] [CrossRef]
- Wolfram Research; Inc. Mathematica, Version 14.3; Champaign, IL, 2025. [Google Scholar]







Disclaimer/Publisher’s Note: The statements, opinions and data contained in all publications are solely those of the individual author(s) and contributor(s) and not of MDPI and/or the editor(s). MDPI and/or the editor(s) disclaim responsibility for any injury to people or property resulting from any ideas, methods, instructions or products referred to in the content. |
© 2026 by the authors. Licensee MDPI, Basel, Switzerland. This article is an open access article distributed under the terms and conditions of the Creative Commons Attribution (CC BY) license (http://creativecommons.org/licenses/by/4.0/).