Preprint
Article

This version is not peer-reviewed.

AI Transparency and Climate-Adaptive Agritourism: Farm-Level Decision-Making and Rural Resilience

A peer-reviewed article of this preprint also exists.

Submitted:

14 January 2026

Posted:

15 January 2026

You are already at the latest version

Abstract
Climate change increases uncertainty in agricultural production and rural livelihoods, encouraging farms to pursue diversification strategies that can buffer climate-related risks. At the same time, the growing use of digital and AI-based climate and decision-support tools raises questions about how the transparency of such information shapes farm-level adaptation. This study examines the relationships among AI transparency, climate awareness, decision confidence, agritourism diversification intention, and perceived farm resilience in climate-sensitive rural systems. Data were collected through in-person fieldwork conducted throughout 2025 among agritourism-oriented farm operators in two Serbian rural clusters: a Western mountain agritourism belt and an Eastern/Southeastern dry-stress zone. Using structural equation modeling, the analysis reveals a coherent pattern of positive associations across all modeled relationships. Higher perceived transparency of AI-based climate information is associated with stronger climate awareness, greater decision confidence, increased intention to diversify toward agritourism, and higher perceived farm resilience. Perceived farm resilience was most strongly related to agritourism diversification intention, underscoring diversification as a key adaptive pathway under climate stress. The findings highlight AI transparency as a critical informational precondition for adaptive decision-making and resilience building, with implications for farmer-centric digital tools and rural climate adaptation policy.
Keywords: 
;  ;  ;  ;  ;  ;  ;  

1. Introduction

According to Zewdu et al. [1] climate change increasingly challenges the viability of agricultural systems and rural livelihoods, particularly in climate-sensitive regions [2] where environmental variability directly affects production stability, income security, and long-term sustainability [3]. Rising temperatures, altered precipitation patterns, water stress, and the increasing frequency of extreme weather events complicate farm-level planning and intensify uncertainty, compelling farmers to reconsider traditional production models and explore adaptive strategies [4,5,6,7]. In this context, many rural areas have increasingly turned to livelihood diversification, with agritourism often discussed as a practical pathway for enhancing adaptive capacity and buffering climate-related risks [8,9].
Agritourism can offer farm operators a way to stabilize income [10], lessen reliance on climate-sensitive agricultural production [11], and incorporate tourism activities into existing farming systems [12]. Additionally, clustering in agriculture assists members of clusters to achieve the the full potential in the context of the development of rural tourism [13]. At the same time, decisions to diversify are rarely straightforward [14,15]. They involve weighing environmental uncertainty against investment constraints and long-term sustainability goals [16]. According to Nguyen et al. [17], adaptive decision-making under climate risk is shaped not only by objective environmental conditions, but also by how farmers themselves perceive, interpret, and respond to climate-related information.
Recent advances in artificial intelligence (AI) and trends, such as AI-powered accessibility solutions [18], and digital decision-support systems have increased the availability of climate forecasts, water-stress alerts, yield simulations, and risk assessments designed for agricultural use [19,20]. According to Bayar et al. [21], such tools can support climate adaptation by helping farmers translate complex environmental data into information that is useful for everyday planning [22]. In practice, however, their effectiveness at the farm level depends heavily on transparency—that is, on whether AI-based information is perceived as clear, interpretable, and reliable [23,24]. When transparency is lacking, AI systems may be experienced as opaque technological tools that do little to support meaningful decision-making or to build trust under conditions of uncertainty [25].
Employing smart technologies in agriculture has transformed conventional farming practices, which has led to increased productivity and sustainability [26]. Existing research on AI in agriculture has tended to prioritize technological performance, predictive accuracy, and optimization outcomes [27]. In many cases, this work implicitly assumes that improvements in algorithmic performance and optimization outcomes will translate directly into better farm-level decisions, despite limited attention to how such outputs are interpreted, trusted, or operationalized by farmers [28,29]. At the same time, tourism and agritourism studies have largely concentrated on destination competitiveness [30,31,32], visitor motivations, and consumer behavior [33], devoting far less attention to farm operators themselves as strategic decision-makers operating under climate risk [34]. Consequently, there is still limited empirical understanding of how AI transparency shapes farmers’ climate awareness, decision confidence, diversification intentions, and perceptions of farm resilience. From a theoretical standpoint, this gap sits at the intersection of several strands of research, including work on trust in AI and algorithmic transparency, farm-level climate risk awareness, and adaptive capacity and resilience in agricultural and rural systems.
According to Wanner et al. [35] studies grounded in trust-based frameworks suggest that transparent information systems help users make sense of risk signals and act with greater confidence under uncertain conditions. Research on climate adaptation similarly shows that awareness of environmental threats does not inevitably lead to inaction; when supported by usable and actionable knowledge, it can instead stimulate adaptive responses [36]. Resilience-oriented scholarship further points to livelihood diversification as a central mechanism through which rural systems cope with shocks, reorganize, and maintain their core functions over time [37]. Drawing on these perspectives, this study views AI transparency as a key cognitive and informational link between climate awareness, adaptive decision-making, and agritourism-based resilience. In this framing, AI is not treated as a stand-alone technological input, but as part of a relational process through which farmers interpret climate risks, weigh adaptive options, and evaluate the long-term robustness of their farms. Empirically, the study focuses on agritourism-oriented farm operators located in two climate-sensitive rural clusters within Serbia: A Western mountain agritourism belt characterized by higher elevation, pronounced tourism seasonality, and mixed livestock and fruit production [38], and an Eastern and Southeastern dry-stress zone exposed to recurrent drought, water scarcity, lower agricultural yields, and heightened climatic vulnerability [39]. These clusters were selected to capture variation in perceived climate risk while examining a common farm-level adaptation mechanism across heterogeneous agro-climatic contexts.
Using structural equation modeling (SEM) based on farmer perceptions, the study examines the interrelationships among AI transparency, climate awareness, decision confidence, agritourism diversification intention, and perceived farm resilience within a unified analytical framework. The purpose of this study is to examine whether and how transparency in AI-based climate information functions as a cognitive-enabling mechanism linking climate awareness, adaptive decision confidence, agritourism diversification intentions, and perceived farm resilience at the farm level. In doing so, the study addresses two interrelated research questions: (1) how transparency in AI-based climate and decision-support tools influences farmers’ decisions to diversify toward agritourism under climate risk, and (2) whether AI transparency strengthens perceived farm resilience in climate-sensitive rural systems. By answering these questions, the study contributes to AI and digital agriculture research by foregrounding transparency and trust as determinants of farm-level adaptation, advances agritourism scholarship by shifting analytical attention from destinations to farmers as adaptive agents, and enriches rural resilience literature by empirically linking AI-enabled information processes to diversification and perceived resilience outcomes across climate-sensitive agricultural contexts.

2. Literature Review and Hypothesis Development

2.1. AI Transparency, Trust, and Climate Risk Awareness

The growing integration of artificial intelligence into agricultural decision-support systems has drawn increasing scholarly attention to questions of trust and algorithmic transparency, especially in settings marked by high levels of uncertainty [40]. Transparency—typically understood as the clarity, interpretability, and perceived reliability of algorithmic outputs—is widely regarded as a basic condition for trust and effective information use [41]. In agricultural systems exposed to climate variability, farmers’ engagement with AI-based tools appears to depend less on technical sophistication or predictive accuracy than on whether the information provided is understandable, credible, and usable in everyday farm planning [42]. Within trust-in-AI research, transparency is therefore viewed not simply as a technical feature, but as a relational property that shapes how users make sense of and internalize algorithmic information [43]. When systems are transparent, users are better able to contextualize outputs, judge their relevance, and integrate them into decision-making, particularly under conditions of uncertainty and risk. At the farm level, climate risk awareness is not formed through abstract assessments of long-term climate trends [44], but through lived experiences of weather instability, water stress, and increasing difficulty in planning agricultural activities [45]. When AI-based climate information is perceived as transparent, farmers are more likely to actively incorporate it into their understanding of environmental risk, strengthening climate awareness rather than merely receiving information passively [46].
Accordingly, transparency in AI-supported climate information is expected to shape how farmers perceive and make sense of climate-related threats by improving the interpretability of climate signals and reducing informational opacity.
H1. AI Transparency is positively related to Climate Awareness within the proposed structural framework.
Beyond its influence on climate awareness, AI transparency also plays an important role in shaping decision confidence under conditions of uncertainty [47,48]. Research on trust in AI suggests that transparent systems help reduce decisional ambiguity by making clearer how information is produced, what it represents, and how it can be used in practice [49]. In agricultural settings affected by climate instability, decision confidence reflects farmers’ perceived ability to plan activities, respond to environmental risks, and manage uncertainty in day-to-day operations [50]. Transparent AI tools can contribute to this process by translating complex climate data into insights that are directly relevant for decision-making [51]. In doing so, they support farmers’ confidence in their adaptive choices rather than substituting human judgment. Consequently, greater transparency is expected to strengthen farmers’ perceived capacity to act decisively and competently in the face of climate-related uncertainty.
H2. AI Transparency is positively related to Decision Confidence within the proposed structural framework.
AI transparency may also shape strategic adaptation choices that go beyond immediate cognitive outcomes, including decisions related to diversification toward agritourism [52]. Research on digital decision support [53], rural innovation [54], and livelihood diversification [55], indicates that clear and trustworthy information can lower perceived barriers to entering new activities by reducing uncertainty around investment decisions, operational trade-offs, and risk exposure [56]. When AI-based climate information is experienced as transparent, farmers appear more willing to view agritourism not as a speculative or excessively risky option, but as a feasible and manageable strategy for adaptation [57,58,59]. From this perspective, AI transparency facilitates diversification-oriented decision-making by reducing informational uncertainty and strengthening the perceived viability of agritourism as a response to climate risk.
H3. AI Transparency is positively related to Agritourism Diversification Intention within the proposed structural framework.

2.2. Climate Awareness, Adaptive Cognition, and Diversification

Climate awareness has long been recognized as an important antecedent of adaptive behavior in agricultural and rural systems [60]. Earlier literature often portrayed awareness of climate risk as a potential source of anxiety, uncertainty, or even behavioral paralysis [61]. More recent research, however, highlights its activating role, particularly when risk awareness is accompanied by access to actionable knowledge and feasible adaptive options [62]. At the farm level, awareness of climate-related threats can encourage active cognitive engagement with adaptation strategies rather than avoidance, prompting farmers to reassess existing production models and livelihood arrangements [63]. From this perspective, climate awareness is expected to support adaptive cognition by motivating farmers to seek relevant information, evaluate alternative responses, and engage proactively with climate adaptation strategies [64,65]. Decision confidence captures this cognitive process by reflecting farmers’ perceived competence in planning farm activities, responding to environmental risks, and managing uncertainty [66]. Rather than weakening decisional capacity, heightened awareness of climate threats may serve as a cognitive trigger that strengthens perceived competence when farmers feel informed and capable of acting [67]. Accordingly, climate awareness is expected to positively influence decision confidence under conditions of climate uncertainty.
H4. Climate Awareness is positively related to Decision Confidence within the proposed structural framework.
Climate awareness is also closely connected to diversification-oriented adaptation strategies [68]. Within rural resilience and agricultural adaptation literature, agritourism is frequently discussed as a way to buffer climate-induced income volatility and to reduce dependence on climate-sensitive primary production [69]. When farmers experience climate change as a tangible and ongoing threat to production stability, they are more likely to consider supplementary income sources that are less directly exposed to climatic variability [70,71]. From this standpoint, heightened climate awareness can increase the perceived necessity and strategic relevance of diversification as a response to risk. As a result, climate awareness is expected to strengthen farmers’ intentions to pursue agritourism as an adaptive strategy under conditions of climate uncertainty.
H5. Climate Awareness is positively related to Agritourism Diversification Intention within the proposed structural framework.

2.3. Decision Confidence, Diversification, and Farm Resilience

Adaptive capacity frameworks emphasize that behavioral change under environmental stress requires more than risk awareness alone; it also depends on confidence in one’s ability to act [72]. Decision confidence reflects farmers’ perceived control over adaptive processes and their ability to translate information into concrete actions [73]. In rural agricultural systems, diversification decisions often entail financial investment, operational complexity, and long-term commitment, which makes decision confidence a critical condition for the formation of adaptive intentions [74]. Within this context, farmers who feel more confident in interpreting climate-related information and planning adaptive responses are more likely to view agritourism diversification as a feasible and manageable option, rather than as an uncertain or excessively risky undertaking.
H6. Decision Confidence is positively related to Agritourism Diversification Intention within the proposed structural framework.
Diversification intention, in turn, represents a key pathway through which adaptive cognition is translated into perceived farm resilience [75]. In agricultural resilience literature, resilience is increasingly understood as the capacity of farming systems to absorb shocks, reorganize, and sustain their functioning over time under environmental stress [76,77]. Agritourism diversification can support this capacity by spreading income risk, stabilizing revenue streams, and increasing operational flexibility [78]. Accordingly, stronger intentions to diversify are expected to be associated with higher levels of perceived farm resilience.
H7. Agritourism Diversification Intention is positively related to Perceived Farm Resilience within the proposed structural framework.
Beyond its indirect role through diversification, decision confidence may also directly shape how farm resilience is perceived [79]. Confidence in adaptive decision-making influences how farmers assess their overall ability to cope with climate-related challenges, regardless of specific strategic choices [80]. Farms are therefore more likely to be viewed as resilient when operators feel capable of responding effectively to uncertainty and environmental change.
H8. Decision Confidence is positively related to Perceived Farm Resilience within the proposed structural framework.
Climate awareness may likewise contribute directly to perceived farm resilience [81]. Awareness of climate-related risks can foster anticipatory adaptation, proactive planning, and strategic reorientation—processes that are fundamental to resilience in agricultural systems [82]. Rather than diminishing optimism, informed awareness of environmental threats may strengthen farmers’ perceptions that their farms can withstand, adapt to, and recover from climatic pressures.
H9. Climate Awareness is positively related to Perceived Farm Resilience within the proposed structural framework.

2.4. AI Transparency as a Systemic Enabler of Farm Resilience

Bringing together insights from trust in AI research, adaptive capacity frameworks, and resilience theory suggests that AI transparency can influence perceived farm resilience not only indirectly—through climate awareness, decision confidence, and diversification intentions—but also in a more immediate and direct way. Transparent AI systems do more than support specific cognitive steps in decision-making; they shape farmers’ broader judgments about preparedness, control, and long-term sustainability under climate risk [83]. When AI-based climate and decision-support tools provide clear, interpretable, and trustworthy information, they can reduce perceived vulnerability and strengthen farmers’ sense of agency in managing environmental uncertainty [84]. In this way, transparency positions AI not merely as a technical aid but as a systemic resilience enabler, reinforcing perceptions that farms are capable of anticipating, absorbing, and adapting to climate-related shocks [85]. Rather than operating only through individual adaptive choices, AI transparency contributes to resilience by shaping how farmers assess the overall robustness and future viability of their farming systems. Accordingly, AI transparency is expected to be positively associated with perceived farm resilience at the farm level.
H10. AI Transparency is positively related to Perceived Farm Resilience within the proposed structural framework.

2. Materials and Methods

Data were collected from agritourism-oriented farm operators in two climate-sensitive rural clusters within Serbia. Field research was conducted continuously throughout 2025, during which the authors visited farm operators on multiple occasions and administered the survey in person at farm sites. The first cluster represents the Western Serbian mountain agritourism belt (Zlatibor–Zlatar–Golija), characterized by higher elevation, pronounced tourism seasonality, and mixed livestock production, fruit farming, and accommodation activities. The second cluster represents the Eastern and Southeastern dry-stress rural zone (Stara Planina–Svrljig–Sokobanja area), marked by recurrent drought, water stress, lower agricultural yields, and a stronger reliance on agritourism as an income-stabilization strategy.
Data were collected from agritourism-oriented farm operators in two climate-sensitive rural clusters within Serbia. Field research was conducted continuously throughout 2025, during which the authors visited farm operators on multiple occasions and administered the survey in person at farm sites. The first cluster represents the Western Serbian mountain agritourism belt (Zlatibor–Zlatar–Golija), characterized by higher elevation, pronounced tourism seasonality, and mixed livestock production, fruit farming, and accommodation activities. The second cluster represents the Eastern and Southeastern dry-stress rural zone (Stara Planina–Svrljig–Sokobanja area), marked by recurrent drought, water stress, lower agricultural yields, and a stronger reliance on agritourism as an income-stabilization strategy.
The final sample comprised 517 farm operators and exhibits a balanced and analytically robust distribution across key control variables, providing a solid empirical foundation for subsequent quantitative modeling. With respect to farming experience, the majority of respondents reported moderate to extensive tenure in agriculture. Nearly two-thirds of the sample (65.4%) had more than six years of experience, with the largest share in the 6–15 year category (35.0%), followed by those with more than 16 years of experience (30.4%). The presence of less experienced operators (9.5% with less than one year of experience) ensured sufficient variability in perspectives. The primary farm activity profile reflects a heterogeneous production structure. Mixed farming (27.9%) and livestock production (26.1%) are the most prevalent activities, while crop farming (22.6%) and fruit production (17.0%) are also substantially represented. The relatively small proportion of farms classified as “other” (6.4%) indicates that most respondents operate within clearly defined and conventional production systems, allowing this variable to be reliably incorporated as a control.
Engagement in agritourism is evenly distributed across response categories. Approximately one-third of respondents are already engaged in agritourism (34.4%), a comparable proportion plan to enter this activity (30.6%), and 35.0% report no engagement. This distribution suggests that agritourism represents a meaningful, though not universally adopted, diversification strategy. The use of digital or AI-based tools for production planning or climate monitoring reflects a moderate level of technological adoption: 32.9% report regular use, 37.9% occasional use, and 29.2% no use. This pattern captures a transitional phase of digital transformation in agriculture, where advanced technologies are increasingly integrated into decision-making processes but have not yet become standardized across all farms. Regionally, respondents are slightly more represented in Western Serbia (56.5%) than in Eastern and Southeastern Serbia (43.5%), supporting comparative analysis while maintaining adequate statistical power across subgroups. Overall, the descriptive structure of the sample indicates a heterogeneous and well-balanced composition across experiential, structural, technological, and regional dimensions, reducing the risk of bias associated with a dominant farmer profile.
Given the perception-based nature of the survey, the model captures how farmers interpret climate risk and AI-based information and how these perceptions relate to adaptive cognition and perceived resilience. The survey instrument initially consisted of 30 perception-based items capturing farmers’ experiences related to climate conditions, digital and AI-supported information use, decision-making under uncertainty, diversification considerations, and farm adaptability. Item formulation followed established practices in agricultural and rural research, where complex and multidimensional adaptation processes are explored through a broad pool of indicators prior to empirical refinement [86,87]. Items addressing digital and AI-supported information use were informed by research on digital agriculture and decision-support systems emphasizing perceived clarity, interpretability, and reliability of information as key determinants of technology use [88]. Climate-related items were grounded in farm-level climate risk and adaptation literature conceptualizing climate change as an experiential and operational challenge manifested through weather variability, water stress, and planning difficulty [89]. Items related to decision-making under uncertainty drew on adaptive capacity frameworks highlighting perceived competence, confidence, and control as enabling mechanisms for adaptive responses in agricultural systems [90]. Agritourism-related items were informed by rural diversification research framing diversification as a forward-looking strategic orientation aimed at stabilizing income and reducing exposure to climate-sensitive agricultural production [86]. Items related to farm resilience were derived from agricultural resilience literature conceptualizing resilience as the capacity to adapt, reorganize, and sustain function over time under stress [91,92].
Following data collection, exploratory factor analysis was applied to identify the latent structure of the item set and to refine the measurement model. Based on empirical results, 18 items were retained for subsequent analysis. Items with weak factor loadings, limited communalities, or substantial overlap with other indicators were excluded to reduce redundancy and improve factor interpretability [93]. Data analysis followed a multi-step procedure combining exploratory factor analysis, confirmatory factor analysis, and structural equation modeling. Prior to factor extraction, data suitability was assessed using the Kaiser–Meyer–Olkin measure of sampling adequacy and Bartlett’s test of sphericity. Exploratory factor analysis using Maximum Likelihood extraction was conducted to identify the latent structure of the item set, with factor retention guided by eigenvalues greater than one and overall interpretability. Rotation was applied to achieve a simple and stable factor solution. Confirmatory factor analysis was subsequently used to evaluate the reliability and validity of the measurement model. Internal consistency and convergent validity were assessed using composite reliability and average variance extracted, while discriminant validity was evaluated using the Fornell–Larcker criterion and the heterotrait–monotrait ratio. Finally, structural equation modeling was employed to examine the relationships among the latent factors, estimating standardized path coefficients and covariances within the proposed analytical framework.

3. Results

The KMO value (0.837) indicates good sampling adequacy, while Bartlett’s test of sphericity is significant (χ2 = 2642.602, df = 435, p < 0.001), confirming that the correlation matrix is suitable for factor analysis (Table 1).
As shown in Table 2, exploratory factor analysis using Maximum Likelihood extraction yielded a stable five-factor solution, with all retained factors exhibiting eigenvalues greater than 1. The first factor explains 18.34% of the total variance, indicating a dominant, though not overwhelming, latent dimension. The remaining factors contribute progressively smaller yet substantively meaningful shares of variance, ranging from 9.66% (Factor 2) to 6.86% (Factor 5). Cumulatively, the five-factor structure accounts for 51.17% of the total variance, which is considered satisfactory for perceptual and multidimensional constructs in agricultural and rural research.
The rotated factor matrix reveals a clear and theoretically coherent five-factor structure, with each item loading most strongly on its intended latent construct and exhibiting minimal cross-loadings. The first factor, AI Transparency, is defined by Information Clarity and System Reliability, capturing farmers’ perceptions of the clarity, interpretability, and trustworthiness of AI-based and digital tools used in climate- and weather-related farm planning. The second factor, Climate Awareness, is characterized by high loadings on Perceived Threat, Weather Uncertainty, Water Stress, and Planning Difficulty, indicating that climate awareness is rooted in farmers’ direct experiences of climatic variability, resource constraints, and increasing planning uncertainty. The third factor, Decision Confidence, comprises Adaptive Decisions, Planning Competence, Response Clarity, and Uncertainty Reduction, reflecting farmers’ perceived ability to interpret information, respond effectively to climate-related risks, and maintain confidence in decision-making under uncertain conditions. The fourth factor, Diversification Intention, includes Risk Buffering, Investment Willingness, Diversification Motivation, and Economic Stability, highlighting agritourism diversification as a forward-looking strategic response aimed at mitigating climate-related risks and stabilizing farm income. The fifth factor, Farm Resilience, is defined by Adaptive Capacity, System Flexibility, Resilience Building, and Long-Term Sustainability, capturing an integrated assessment of farms’ ability to adapt, remain flexible, and sustain operations over time in the face of climatic pressures. Overall, the rotated solution converges to a stable and interpretable simple structure, supporting the conceptual distinctiveness of the five constructs and providing a robust foundation for subsequent confirmatory and structural analyses.
Table 3. Rotated Factor Matrix.
Table 3. Rotated Factor Matrix.
Factor
AI Transparency Climate Awareness Decision Confidence Diversification Intention Farm Resilience
Information Clarity ,554 ,022 ,057 ,075 ,072
System Reliability ,470 ,107 ,098 ,063 ,078
Perceived Threat -,004 ,563 ,084 ,139 ,166
Weather Uncertainty ,066 ,490 ,039 ,069 ,049
Water Stress ,040 ,567 ,070 ,088 -,020
Planning Difficulty ,088 ,557 -,008 ,045 ,047
Adaptive Decisions ,046 ,086 ,546 ,097 ,123
Planning Competence -,002 ,080 ,542 ,178 -,056
Response Clarity ,105 ,122 ,645 ,058 ,086
Uncertainty Reduction ,073 ,055 ,538 ,036 ,063
Risk Buffering ,138 ,145 -,010 ,614 -,142
Investment Willingness ,074 ,083 ,064 ,493 ,065
Diversification Motivation ,054 ,169 ,070 ,512 ,168
Economic Stability ,083 ,077 ,053 ,569 ,092
Adaptive Capacity ,047 ,191 ,084 ,018 ,458
System Flexibility ,069 ,155 ,136 ,036 ,497
Resilience Building ,126 -,006 ,033 ,067 ,569
Long-Term Sustainability ,110 ,139 ,114 ,090 ,498
As shown in Table 4, all constructs exhibit satisfactory internal consistency, with composite reliability values exceeding the recommended threshold of 0.70. In addition, average variance extracted values meet or surpass the minimum criterion of 0.50, indicating adequate convergent validity. Together, these results confirm that the measurement model is reliable and suitable for subsequent structural equation modeling.
As shown in Table 5, discriminant validity is confirmed for all constructs, as the square roots of AVE exceed the corresponding inter-construct correlations. This indicates clear construct distinctiveness and confirms the adequacy of the measurement model for subsequent structural analysis.
As shown in Table 6, all HTMT values remain at or below the conservative threshold of 0.90, providing further support for discriminant validity among the latent constructs.
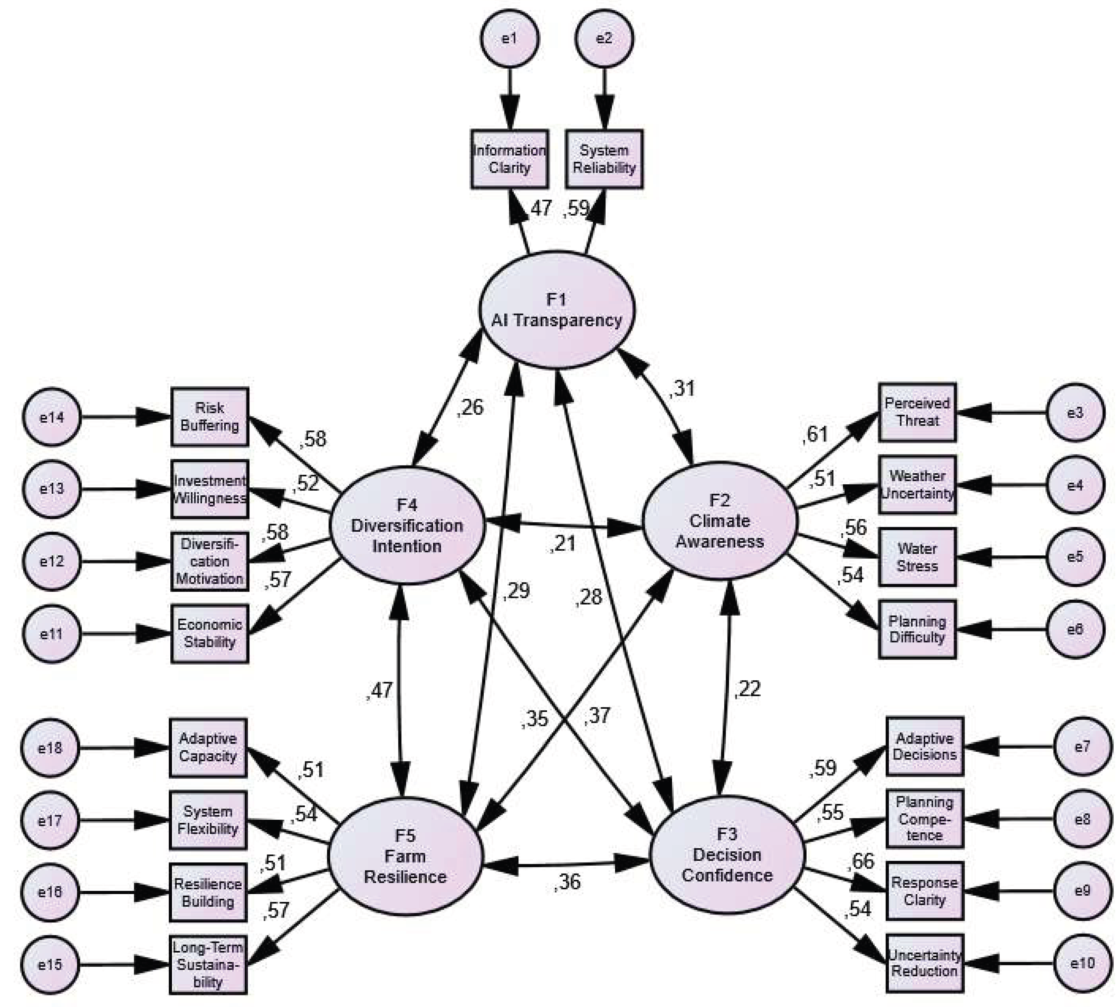
The structural equation modeling results indicate that all hypothesized relationships specified within the proposed framework are positive and statistically significant (Figure 1). The structural paths show that AI Transparency is positively related to Climate Awareness (β = 0.31, p = 0.003), Decision Confidence (β = 0.28, p = 0.004), Agritourism Diversification Intention (β = 0.26, p = 0.007), and Perceived Farm Resilience (β = 0.29, p = 0.004). Climate Awareness is positively related to Decision Confidence (β = 0.22, p < 0.01), Agritourism Diversification Intention (β = 0.21, p < 0.01), and Perceived Farm Resilience (β = 0.37, p < 0.001). Decision Confidence also shows positive relationships with Agritourism Diversification Intention (β = 0.35, p < 0.001) and Perceived Farm Resilience (β = 0.36, p < 0.001). Agritourism Diversification Intention exhibits the strongest relationship with Perceived Farm Resilience (β = 0.47, p < 0.001). Taken together, the results provide empirical support for all hypothesized relationships within the proposed structural framework.
The overall fit of the structural equation model was acceptable and within commonly recommended thresholds. The fit indices indicate a satisfactory model fit (χ2/df = 1.94; RMSEA = 0.041; CFI = 0.951; TLI = 0.944; SRMR = 0.046), supporting the adequacy of the proposed structural framework.

4. Discussion

This study deepens understanding of climate-adaptive agritourism by showing that AI transparency plays a central informational and cognitive role within the proposed framework in shaping farm-level decision-making and perceptions of resilience under climate risk. By moving the analytical focus away from tourist destinations and toward farm operators themselves, the findings contribute to agricultural and rural resilience research, where uncertainty management and livelihood diversification are persistent challenges. Rather than viewing digital tools as neutral or purely technical inputs, the results highlight AI transparency as a relational feature that influences how farmers make sense of climate signals, weigh adaptive options, and judge the long-term viability of their farming systems. The consistent empirical support across all hypothesized relationships points to an integrated pattern linking AI transparency, climate awareness, decision confidence, agritourism diversification intention, and perceived farm resilience.
The positive relationship between AI transparency and climate awareness (H1) indicates that when AI-based climate information is perceived as clear, understandable, and reliable, farmers are better able to recognize and make sense of climate-related risks. Rather than remaining abstract or distant, climatic trends are translated into signals that are cognitively accessible and relevant to everyday farm operations. In this way, AI transparency operates less as a channel for delivering information and more as an interpretive interface that helps farmers connect climate data with lived experience. This interpretation is consistent with research on trust in AI and decision-support systems, which shows that transparency allows users to situate uncertainty within their own knowledge frameworks and practical contexts. As a result, risk awareness is strengthened without triggering inaction or decisional paralysis.
AI transparency is also positively associated with decision confidence (H2), underscoring its role in reducing ambiguity under conditions of climate uncertainty. When AI systems communicate information in a transparent manner, farmers appear to feel more capable of planning, responding, and managing uncertainty in their operations. Importantly, these tools do not replace human judgment; instead, they reinforce farmers’ sense of competence by clarifying options and supporting informed choices. This finding is theoretically significant because it counters deterministic views of algorithmic governance, showing that AI-enabled adaptation remains grounded in human interpretation and agency. In volatile agricultural environments, confidence in one’s ability to understand information and act decisively emerges as a crucial condition for timely and effective adaptation.
The positive relationship between AI transparency and agritourism diversification intention (H3) further demonstrates that the influence of transparent AI information extends beyond operational or agronomic decisions to strategic livelihood choices. When climate information is perceived as interpretable and reliable, farmers appear more willing to evaluate agritourism as a viable and manageable adaptation pathway. This suggests that AI transparency lowers informational and cognitive barriers associated with diversification by clarifying climate-related trade-offs and reducing perceived uncertainty surrounding investment decisions. In this way, digital climate intelligence indirectly facilitates rural economic diversification without prescribing specific behavioral outcomes.
Climate awareness shows positive associations with both decision confidence (H4) and agritourism diversification intention (H5), indicating that heightened recognition of climate risk does not necessarily undermine adaptive capacity. Instead, awareness appears to activate cognitive engagement with adaptation options, particularly when supported by actionable information. This finding contributes to a growing body of literature that reframes climate awareness from a source of anxiety to a potential catalyst for proactive adaptation, especially in contexts where farmers retain agency over strategic decisions. Decision confidence emerges as a key mediating mechanism within the adaptive process. Its positive association with agritourism diversification intention (H6) suggests that diversification is more likely when farmers perceive themselves as capable of interpreting information and managing uncertainty. This supports adaptive capacity frameworks in agricultural systems, where perceived competence and control are understood as central precursors to behavioral change. The results thus reinforce the notion that adaptation is not driven by risk exposure alone but by the interaction between information, cognition, and perceived agency.
The strongest associations in the model involve agritourism diversification intention and perceived farm resilience (H7), underscoring diversification as a structural resilience-building strategy rather than a marginal or opportunistic activity. Agritourism is perceived as a mechanism for stabilizing income, spreading risk, and enhancing long-term sustainability in the face of climate volatility. This finding is particularly salient in climate-sensitive rural areas, where reliance on primary agricultural production increasingly exposes farms to environmental and economic shocks. Decision confidence (H8) and climate awareness (H9) also show positive associations with perceived farm resilience, indicating that resilience is not solely a material or infrastructural outcome but also a cognitive and evaluative state shaped by information quality, awareness, and confidence in adaptive capacity. The positive association between AI transparency and perceived farm resilience (H10) positions transparent AI systems as systemic enablers of resilience rather than isolated technological solutions. AI transparency appears to influence resilience through multiple interconnected pathways—enhancing climate awareness, strengthening decision confidence, and supporting diversification intentions—thereby contributing to farmers’ broader evaluations of preparedness, flexibility, and long-term sustainability. This multifaceted role highlights AI transparency as an integral component of adaptive governance at the farm level.
Importantly, these relationships were observed across two climate-sensitive rural clusters within Serbia: the Western Serbian mountain agritourism belt and the Eastern/Southeastern dry-stress rural zone. Despite substantial differences in agro-climatic conditions, production structures, and tourism seasonality, the consistency of the observed associations suggests that the underlying cognitive–informational mechanism linking AI transparency to adaptation and resilience remains stable across contexts. Modeling a single structural equation model across heterogeneous rural settings demonstrates the general relevance of the proposed framework while avoiding unnecessary methodological complexity. Taken together, the findings reinforce the view that effective climate adaptation in agriculture depends not only on access to digital technologies but on how transparently these technologies communicate uncertainty, limitations, and decision relevance. By integrating trust in AI, climate risk perception, adaptive cognition, and agritourism diversification within a unified empirical framework, the study deepens theoretical understanding of digitally enabled adaptation and provides a nuanced account of how AI transparency shapes farm-level resilience trajectories.

5. Conclusions

This study contributes to the growing literature on climate adaptation and rural resilience by demonstrating how AI transparency is related to farm-level decision-making within the proposed analytical framework and agritourism diversification under conditions of climate risk. By focusing on agritourism-oriented farm operators rather than tourists or destinations, the research advances an agriculture-centered perspective on AI-enabled adaptation, positioning farmers as active agents who interpret, evaluate, and operationalize digital climate information in their livelihood strategies. The findings show that transparent and reliable AI-based information is systematically associated with higher climate awareness, stronger decision confidence, greater diversification intention, and enhanced perceptions of farm resilience, revealing a coherent adaptive mechanism linking digital trust to rural sustainability outcomes. The results underscore agritourism diversification as a central resilience-building pathway in climate-sensitive rural systems. Rather than functioning as a marginal or opportunistic activity, agritourism is perceived as a strategic response to environmental uncertainty, income volatility, and long-term sustainability challenges. The strong association between diversification intention and perceived farm resilience highlights the importance of livelihood diversification as a structural adaptation strategy, particularly in contexts where primary agricultural production is increasingly exposed to climate stress.
Importantly, the proposed adaptive mechanism was observed across two distinct climate-sensitive rural clusters within Serbia—a Western mountain agritourism belt and an Eastern/Southeastern dry-stress zone—suggesting that while agro-climatic conditions and risk intensities differ, the underlying cognitive and informational processes linking AI transparency to adaptation remain stable. This finding enhances the external relevance of the model and supports its applicability across heterogeneous rural contexts without requiring excessive methodological complexity. From a practical and policy perspective, the findings highlight the importance of designing AI-based climate and decision-support tools that prioritize transparency, interpretability, and informational clarity. For farm operators, transparent AI systems can reduce decisional uncertainty and strengthen confidence in adaptive choices, including diversification toward agritourism. For rural development and agricultural policy, the results suggest that investments in digital infrastructure should be accompanied by efforts to enhance algorithmic transparency and user trust, particularly in climate-vulnerable regions where adaptive capacity is closely tied to information quality.
Several limitations should be acknowledged. First, the study relies on cross-sectional, perception-based data, which constrains causal inference and captures adaptation as a subjective evaluative process rather than an observed behavioral outcome. Second, although the sample covers two climatically distinct rural clusters, the analysis models a single adaptive mechanism, which may mask context-specific nuances in how AI transparency is interpreted or utilized. Third, the focus on agritourism-oriented farms limits generalization to purely production-oriented agricultural systems.
Future research could address these limitations by adopting longitudinal designs to examine how AI transparency influences adaptation trajectories over time and by incorporating objective indicators of diversification performance and resilience outcomes. Comparative studies across countries or agro-institutional settings would further clarify the boundary conditions of the proposed model. Additionally, future work could explore how specific AI functionalities—such as water-stress alerts, yield–tourism trade-off simulations, or seasonal demand forecasting—differentially affect adaptive decision-making across farming systems. The findings provide clear empirical answers to both research questions, demonstrating that transparency in AI-based climate and decision-support tools is systematically associated with farmers’ agritourism diversification decisions and with enhanced perceptions of farm resilience in climate-sensitive rural systems. This study positions AI transparency as a critical, yet underexplored, component within climate-adaptive agritourism and rural resilience research. By integrating trust in AI, climate risk perception, and diversification logic within a unified empirical framework, the research offers a robust foundation for future investigations into digitally enabled adaptation in agricultural and rural contexts.

Author Contributions

Conceptualization, A.V. and V.M.; methodology, N.P. and A.R.; software, A.V. and D.K.; validation, N.P., V.M. and A.R.; formal analysis, A.V.; investigation, N.P. and D.K...; resources, A.V. and V.M..; data curation, A.R. and D.K..; writing—original draft preparation, A.R., A.V., V.M.; writing—review and editing, N.P. and D.K.; visualization, V.M.; supervision, A.V.; project administration, A.V.; funding acquisition, A.R.. All authors have read and agreed to the published version of the manuscript.”.

Funding

This research received no external funding.

Institutional Review Board Statement

The study was conducted in accordance with the Declaration of Helsinki and approved by the Ethics Committee of Singidunum University (protocol code 199, 20 December 2024) for studies involving humans.

Informed Consent Statement

Informed consent was obtained from all subjects involved in the study.

Data Availability Statement

The aggregated data analyzed in this study are available from the corresponding author upon reasonable request.

Conflicts of Interest

The authors declare no conflicts of interest.

References

  1. Zewdu, D.; Krishnan, M.C.; Raj, P.P.N.; Arlikatti, S.; McAleavy, T. Climate-smart innovation practices and sustainable rural livelihoods: A systematic literature review. Technology in Society 2025, 82, 102914. [Google Scholar] [CrossRef]
  2. Thein, K.Y.M.; Kumar, V.; Chariar, V.M.; Tsusaka, T.W. Assessing livelihood vulnerability to climate change in rural India. World Development Sustainability 2025, 7, 100249. [Google Scholar] [CrossRef]
  3. Villamayor-Tomas, S.; Gaitán-Cremaschi, D.; Corbera, E.; Pierri-Daunt, A.B.; Santos de Lima, L. Vulnerability to climate change, depopulation and the global food regime: An index-based approach for rural Spain. Environmental Science & Policy 2025, 174, 104254. [Google Scholar] [CrossRef]
  4. Grigorieva, E.; Livenets, A.; Stelmakh, E. Adaptation of Agriculture to Climate Change: A Scoping Review. Climate 2023, 11, 202. [Google Scholar] [CrossRef]
  5. Yeleliere, E.; Antwi-Agyei, P.; Guodaar, L. Farmers’ response to climate variability and change in rainfed farming systems: Insight from lived experiences of farmers. Heliyon 2023, 9, e19656. [Google Scholar] [CrossRef]
  6. Vujko, A.; Karabašević, D.; Panić, A.; Arsić, M.; Mirčetić, V. AI Transparency and Sustainable Travel Under Climate Risk: A Geographical Perspective on Trust, Spatial Decision-Making, and Rural Destination Resilience. Sustainability 2025, 17, 11200. [Google Scholar] [CrossRef]
  7. Petrović, G.; Karabašević, D.; Vukotić, S.; Mirčetić, V.; Radosavac, A. The impact of climate change on the corn yield in Serbia. Acta Agriculturae Serbica 2020, 25, 133–140. [Google Scholar] [CrossRef]
  8. Valdivia, C.; Barbieri, C. Agritourism as a sustainable adaptation strategy to climate change in the Andean Altiplano. Tourism Management Perspectives 2014, 11, 18–25. [Google Scholar] [CrossRef]
  9. Arndt, M.; Helming, K. Agricultural diversification across spatial levels – A contribution to resilience and sustainability? Agriculture, Ecosystems & Environment 2025, 385, 109547. [Google Scholar] [CrossRef]
  10. Grilli, G.; Pagliacci, F.; Gatto, P. Determinants of agricultural diversification: What really matters? A review. Journal of Rural Studies 2024, 110, 103365. [Google Scholar] [CrossRef]
  11. Buttinelli, R.; Dono, G.; Cortignani, R. Assessing the impacts of chemicals reduction on arable farms through an integrated agro-economic model. Agricultural Systems 2025, 224, 104254. [Google Scholar] [CrossRef]
  12. Grillini, G.; Streifeneder, T.; Stotten, R.; Schermer, M.; Fischer, C. How tourists change farms: The impact of agritourism on organic farming adoption and local community interaction in the Tyrol–Trentino mountain region. Journal of Rural Studies 2025, 114, 103531. [Google Scholar] [CrossRef]
  13. Vukotić, S.; Mirčetić, V. Clustering in agriculture and tourism as a potential for development of rural tourism. Tourism International Scientific Conference Vrnjačka Banja-TISC 2020, 5(2), 470–487. [Google Scholar]
  14. Niemeyer, J.F.; Maier, R.; Zhang, A.N.; Mennenga, M.; Yang, S.; Yeo, Z.; Herrmann, C. Pattern-Based Decision-Support Tool to Enhance Resilience and Sustainability in Production Networks: A Framework Proposal and Application. Cleaner Logistics and Supply Chain 2025, 100290. [Google Scholar] [CrossRef]
  15. De Rosa, M.; McElwee, G.; Smith, R. Farm diversification strategies in response to rural policy: A case from rural Italy. Land Use Policy 2019, 81, 291–301. [Google Scholar] [CrossRef]
  16. Le, T.K.T.; Nguyen, H.P.; Nguyen, N.Q. Assessing Vietnam’s sustainable agritourism by integrated multi-criteria decision-making approach. Journal of Open Innovation: Technology, Market, and Complexity 2025, 11, 100652. [Google Scholar] [CrossRef]
  17. Nguyen, A.T.; Vu, T.T.T.; Nguyen, T.P.N.; Phuong, N.T.P.; Le, N.A.; Do Thi, T.; Le Huyen, T. Sustainable agritourism monitoring: An expert Delphi study on provincial-level indicators in Vietnam. Environmental and Sustainability Indicators 2025, 28, 100966. [Google Scholar] [CrossRef]
  18. Nacheva, R. Trends and best practices for ensuring digital accessibility in the workplace. Journal of Process Management and New Technologies 2025, 13(1-2), 56–66. [Google Scholar] [CrossRef]
  19. Cho, S.B.; Soleh, H.M.; Choi, J.W.; Hwang, W.-H.; Lee, H.; Cho, Y.-S.; Cho, B.-K.; Kim, M.S.; Baek, I.; Kim, G. Recent Methods for Evaluating Crop Water Stress Using AI Techniques: A Review. Sensors 2024, 24, 6313. [Google Scholar] [CrossRef]
  20. Kumari, K.; Mirzakhani Nafchi, A.; Mirzaee, S.; Abdalla, A. AI-Driven Future Farming: Achieving Climate-Smart and Sustainable Agriculture. AgriEngineering 2025, 7, 89. [Google Scholar] [CrossRef]
  21. Bayar, J.; Ali, N.; Cao, Z.; Ren, Y.; Dong, Y. Artificial intelligence of things (AIoT) for precision agriculture: Applications in smart irrigation, nutrient and disease management. Smart Agricultural Technology 2025, 12, 101629. [Google Scholar] [CrossRef]
  22. Soukaina, D.; Mohamed, L.; Radwa, F.; Sifeddine, D.; Hrimech, H.; Ali, K. AgriAlertX: Climate-driven disaster prevention for agriculture. SoftwareX 2025, 31, 102350. [Google Scholar] [CrossRef]
  23. Rose, D.C.; Wheeler, R.; Winter, M.; Lobley, M.; Chivers, C.-A. Agriculture 4.0: Making it work for people, production, and the planet. Land Use Policy 2021, 100, 104933. [Google Scholar] [CrossRef]
  24. Klerkx, L.; Jakku, E.; Labarthe, P. A review of social science on digital agriculture, smart farming and agriculture 4.0: New contributions and a future research agenda. NJAS: Wageningen Journal of Life Sciences 2019, 90–91, 100315. [Google Scholar] [CrossRef]
  25. Park, K.; Yoon, H.Y. Beyond the code: The impact of AI algorithm transparency signaling on user trust and relational satisfaction. Public Relations Review 2024, 50, 102507. [Google Scholar] [CrossRef]
  26. Kachare, O.; Vanadana, K.; Narayan Mohapatra, B.; Nehe, N. Image processing based plant fertilizer spraying robot. Journal of Process Management and New Technologies 2025, 13(3-4), 44–53. [Google Scholar] [CrossRef]
  27. Marchegiani, S.; Chiappini, S.; Choudhury, M.A.M.; E, G.; Trombetta, M.F.; Pasquini, M.; Marcheggiani, E.; Ceccobelli, S. Affordable 3D Technologies for Contactless Cattle Morphometry: A Comparative Pilot Trial of Smartphone-Based LiDAR, Photogrammetry and Neural Surface Reconstruction Models. Agriculture 2025, 15, 2567. [Google Scholar] [CrossRef]
  28. Wang, Y.; Song, D.; Jurić, F.; Duić, N.; Mikulčić, H. Multi-modal optimization of offshore wind farm collection system topology based on nearest better most attractive particle swarm optimization. Renewable and Sustainable Energy Reviews 2025, 222, 115978. [Google Scholar] [CrossRef]
  29. Liu, J.; Ye, Y.; Wang, C.; Chen, S.; Jiang, Y.; Guo, X.; Jiang, Y. Machine Learning-Based Comparative Analysis on Direct and Indirect Mapping of Soil Texture Types through Soil Particle Size Fractions Using Multi-Source Remote Sensing. Agriculture 2025, 15, 1395. [Google Scholar] [CrossRef]
  30. Mariani, M.; Bresciani, S.; Dagnino, G.B. The competitive productivity (CP) of tourism destinations: An integrative conceptual framework and a reflection on big data and analytics. International Journal of Contemporary Hospitality Management 2021, 33, 2970–3002. [Google Scholar] [CrossRef]
  31. Vujko, A.; Arsić, M.; Bojović, R. From Local Product to Destination Identity: Leveraging Cave-Aged Cheese for Sustainable Rural Tourism Development. Agriculture 2025, 15, 1137. [Google Scholar] [CrossRef]
  32. Turčinović, M.; Vujko, A.; Stanišić, N. Community-led Sustainable Tourism in Rural Areas: Enhancing Wine Tourism Destination Competitiveness and Local Empowerment. Sustainability 2025, 17, 2878. [Google Scholar] [CrossRef]
  33. Chaisriya, K.; Preeyawongsakul, P.; Gilbert, L.; Nualnoom, P.; Rattanarungrot, S.; Narongrach, R.; Silakun, N. Enhancing visitor experiences and economic outcomes through gamified AR: The impact of a location-based augmented reality game in agritourism. Journal of Open Innovation: Technology, Market, and Complexity 2024, 10, 100415. [Google Scholar] [CrossRef]
  34. Monios, J.; Wilmsmeier, G.; Martínez Tello, G.A.; Pomaska, L. A new conception of port governance under climate change. Journal of Transport Geography 2024, 120, 103988. [Google Scholar] [CrossRef]
  35. Wanner, J.; Herm, L.V.; Heinrich, K.; et al. The effect of transparency and trust on intelligent system acceptance: Evidence from a user-based study. Electronic Markets 2022, 32, 2079–2102. [Google Scholar] [CrossRef]
  36. Lemos, M.C.; Maillard, L.; Herbert, N.; Domingue, S.J.; Jagannathan, K.; Wong-Parodi, G.; Goto, E.A.; Gill, D.; Van Berkel, D.; Kalafatis, S.; Jorns, J.L.; Basaraba, A.; Harrison, T. Scaling up actionable climate knowledge. Proceedings of the National Academy of Sciences of the United States of America 2025, 122, e2515771122. [Google Scholar] [CrossRef] [PubMed]
  37. Kiani, A.K.; Sardar, A.; Khan, W.U.; He, Y.; Bilgic, A.; Kuslu, Y.; Raja, M.A.Z. Role of Agricultural Diversification in Improving Resilience to Climate Change: An Empirical Analysis with Gaussian Paradigm. Sustainability 2021, 13, 9539. [Google Scholar] [CrossRef]
  38. Panić, A.; Vujko, A.; Knežević, M. Rural tourism impact on the life quality of the local community: A case study of Western Serbia. Economics of Agriculture 2024, 71, 733–753. [Google Scholar] [CrossRef]
  39. Tošić, M.; Tošić, I.; Lazić, I.; Djurdjević, V. Reconstructing and Projecting 2012-like Drought in Serbia Using the Max Planck Institute Grand Ensemble. Atmosphere 2025, 16, 668. [Google Scholar] [CrossRef]
  40. Rashid, A.B.; Kausik, A.K.; Khandoker, A.; Siddque, S.N. Integration of Artificial Intelligence and IoT with UAVs for Precision Agriculture. Hybrid Advances 2025, 10, 100458. [Google Scholar] [CrossRef]
  41. Jantzen, L.; Philipp, M.; Tagalidou, N.; Bui, M.; Kempen, R. Trust Me, I’m Transparent: Describing AI Systems Using Global Explanations. International Journal of Human–Computer Interaction 2025, 1–23. [Google Scholar] [CrossRef]
  42. Prokopy, L.S.; et al. Agricultural Advisors: A Receptive Audience for Weather and Climate Information? Weather, Climate, and Society 2013, 5, 162–167. [Google Scholar] [CrossRef]
  43. Nizamani, M.M.; Zhang, H.-L.; Lai, Z. Human-centered AI: Advancing ethical, transparent, and context-aware systems for sustainable development. Technology in Society 2026, 84, 103121. [Google Scholar] [CrossRef]
  44. Grothmann, T.; Patt, A. Adaptive capacity and human cognition: The process of individual adaptation to climate change. Global Environmental Change 2005, 15, 199–213. [Google Scholar] [CrossRef]
  45. Yeleliere, E.; Antwi-Agyei, P.; Guodaar, L. Farmers’ response to climate variability and change in rainfed farming systems: Insight from lived experiences of farmers. Heliyon 2023, 9, e19656. [Google Scholar] [CrossRef]
  46. Chen, J.; Alsahag, A.M.; Mohammadi Ziabari, S.S. An analytics framework for interpretable subseasonal forecasting under decadal climate variability. Decision Analytics Journal 2025, 17, 100660. [Google Scholar] [CrossRef]
  47. Hina, M.; Islam, N.; Luo, X.R. Towards sustainable consumption decision-making: Examining the interplay of blockchain transparency and information-seeking in reducing product uncertainty. Decision Support Systems 2025, 189, 114370. [Google Scholar] [CrossRef]
  48. Badiane, A.; Kasanoski, D.S.; Mendes, O.; Bonnet, M.-P.; Sá, R.M. Landscapes of Uncertainty: Mangrove Rice Farmers’ Perceptions of Rainfall Variability and Climate Change Adaptation in Three Coastal Regions of Guinea-Bissau, West Africa. Agricultural Water Management 2026, 324, 110120. [Google Scholar] [CrossRef]
  49. Ribeiro, M.T.; Singh, S.; Guestrin, C. “Why Should I Trust You?” Explaining the Predictions of Any Classifier. In Proceedings of the 22nd ACM SIGKDD International Conference on Knowledge Discovery and Data Mining, 2016; pp. 1135–1144. [Google Scholar] [CrossRef]
  50. Ricart, S.; Gandolfi, C.; Castelletti, A. What drives farmers’ behavior under climate change? Decoding risk awareness, perceived impacts, and adaptive capacity in northern Italy. Heliyon 2025, 11, e41328. [Google Scholar] [CrossRef]
  51. Nadeem, W.; Ashraf, A.R.; Khan, H.; Kumar, V. Impact of AI strategies on climate-change performance: Responsible AI and crisis management perspectives. Technovation 2026, 150, 103390. [Google Scholar] [CrossRef]
  52. Dwivedi, Y.K.; Hughes, L.; Ismagilova, E.; Aarts, G.; Coombs, C.; Crick, T.; Duan, Y.; Dwivedi, R.; Edwards, J.; Eirug, A.; Galanos, V.; Ilavarasan, P.V.; Janssen, M.; Jones, P.; Kar, A.K.; Kizgin, H.; Kronemann, B.; Lal, B.; Lucini, B.; Medaglia, R.; Le Meunier-FitzHugh, K.; Le Meunier-FitzHugh, L.C.; Misra, S.; Mogaji, E.; Sharma, S.K.; Singh, J.B.; Raghavan, V.; Raman, R.; Rana, N.P.; Samothrakis, S.; Spencer, J.; Tamilmani, K.; Tubadji, A.; Walton, P.; Williams, M.D. Artificial Intelligence (AI): Multidisciplinary perspectives on emerging challenges, opportunities, and agenda for research, practice and policy. International Journal of Information Management 2021, 57, 101994. [Google Scholar] [CrossRef]
  53. Odu, N.B.; Prasad, R.; Onime, C.; Sharma, B.K. How to implement a decision support for digital health: Insights from design science perspective for action research in tuberculosis detection. International Journal of Information Management Data Insights 2022, 2, 100136. [Google Scholar] [CrossRef]
  54. Li, J.; Wang, J. From endowment to engine: The rural innovation effects of China’s specialty agricultural industries. Food Policy 2026, 138, 103031. [Google Scholar] [CrossRef]
  55. Diriba, A.; Derso, D.; Hashim, H. Effect of livelihood diversification on households’ food security: A propensity score analysis. Sustainable Futures 2026, 11, 101632. [Google Scholar] [CrossRef]
  56. Hall, J.K.; Daneke, G.A.; Lenox, M.J. Sustainable development and entrepreneurship: Past contributions and future directions. Journal of Business Venturing 2010, 25, 439–448. [Google Scholar] [CrossRef]
  57. Savari, M.; Zhoolideh, M.; Limuie, M. The combination of climate information services in the decision-making process of farmers to reduce climate risks: Application of social cognition theory. Climate Services 2024, 35, 100500. [Google Scholar] [CrossRef]
  58. Malakar, Y.; Snow, S.; Fleming, A.; et al. Multi-decadal climate services help farmers assess and manage future risks. Nature Climate Change 2024, 14, 586–591. [Google Scholar] [CrossRef]
  59. Tew, C.; Barbieri, C. The perceived benefits of agritourism: The provider’s perspective. Tourism Management 2012, 33, 215–224. [Google Scholar] [CrossRef]
  60. Khanal, A.R.; Mishra, A.K. Agritourism and off-farm work: Survival strategies for small farms. Agricultural Economics 2014, 45, 65–76. [Google Scholar] [CrossRef]
  61. Kühner, C.; Gemmecke, C.; Hüffmeier, J.; Zacher, H. Climate Change Anxiety: A Meta-Analysis. Glob. Environ. Change 2025, 93, 103015. [Google Scholar] [CrossRef]
  62. Tatari-Chegeni, S.; Rahimian, M.; Sosani, J.; Rahimi Fayzabad, F.; Molavi, H. Applying the Norm Activation Model to Analyze Climate Change Adaptation Behaviors of Forest-Dwellers. Environ. Dev. 2025, 55, 101246. [Google Scholar] [CrossRef]
  63. Yang, Y.; Zhang, Y.; Zhou, J.; Liu, Y.; Lin, L.; Kang, S.; Yang, G.; Sauer, J. Climate Change Risk Perception as a Catalyst for Adaptive Effect of ICT: The Case in Rural Eastern China. Clim. Risk Manag. 2025, 48, 100697. [Google Scholar] [CrossRef]
  64. Mu, L.; Li, Y.; Liu, H.; Wang, Q. Implementation or Inaction: How Governmental Multi-Interventions Catalyze Farmers’ Adoption for Climate Adaption Technology? J. Clean. Prod. 2025, 521, 146193. [Google Scholar] [CrossRef]
  65. Huang, Y.; Long, H.; Jiang, Y.; Feng, D.; Ma, Z.; Mumtaz, F. Motivating Factors of Farmers’ Adaptation Behaviors to Climate Change in China: A Meta-Analysis. J. Environ. Manag. 2024, 359, 121105. [Google Scholar] [CrossRef]
  66. Chetri, P.; Sharma, U.; Ilavarasan, P.V. Weather Information, Farm-Level Climate Adaptation and Farmers’ Adaptive Capacity: Examining the Role of Information and Communication Technologies. Environ. Sci. Policy 2024, 151, 103630. [Google Scholar] [CrossRef]
  67. Cao, H.; Chen, P.-F.; Zhang, K. The Effect of Sustainability Awareness on Climate Emotions of Chinese College Students: Moderated by Future Time Perspective. Acta Psychol. 2025, 67 258, 105173. [Google Scholar] [CrossRef] [PubMed]
  68. Phelps, L.N.; Davis, D.S.; Chen, J.C.; Monroe, S.; Mangut, C.; Lehmann, C.E.R.; Douglass, K. Africa-Wide Diversification of Livelihood Strategies: Isotopic Insights into Holocene Human Adaptations to Climate Change. One Earth 2025, 8, 101304. [Google Scholar] [CrossRef]
  69. LaPan, C.; Xu, S. Pluralities of Agritourism: Exploring Political Values and Social Judgements. J. Rural Stud. 2024, 111, 103395. [Google Scholar] [CrossRef]
  70. Incoom, A.B.M.; Adjei, K.A.; Odai, S.N.; Siabi, E.K.; Donkor, P.; Frimpong, K. Adaptation Strategies by Smallholder Farmers to Climate Change and Variability: The Case of the Savannah Zone of Ghana. Sustain. Futures 2025, 9, 100543. [Google Scholar] [CrossRef]
  71. Akinkuolie, T.A.; Ogunbode, T.O.; Oyebamiji, V.O. Evaluating Constraints Associated with Farmers’ Adaptation Strategies to Climate Change Impact on Farming in the Tropical Environment. Heliyon 2024, 10, e36086. [Google Scholar] [CrossRef]
  72. Birchall, S.J.; Villeneuve, K.; Rose, D.; Baran, N.; Adams, S. Exploring the Modifying Effects of Adaptive Capacity on Resilience to Climate Change across Four Coastal Cities in British Columbia, Canada. Cities 2026, 169, 106559. [Google Scholar] [CrossRef]
  73. Amoabeng-Nimako, S.; Ingenbleek, P.T.M.; Dittoh, S.; Gouzaye, A.; Bindraban, P. Designing an Incentive System to Promote the Adoption of Sustainable Soil Health Management Practices among Smallholder Farmers in Northern Ghana. Land Use Policy 2026, 161, 107847. [Google Scholar] [CrossRef]
  74. van Zonneveld, M.; Turmel, M.-S.; Hellin, J. Decision-Making to Diversify Farm Systems for Climate Change Adaptation. Front. Sustain. Food Syst. 2020, 4, 32. [Google Scholar] [CrossRef]
  75. Meuwissen, M.P.M.; Feindt, P.H.; Spiegel, A.; Termeer, C.J.A.M.; Mathijs, E.; de Mey, Y.; Finger, R.; Balmann, A.; Wauters, E.; Urquhart, J.; Vigani, M.; Zawalińska, K.; Herrera, H.; Nicholas-Davies, P.; Hansson, H.; Paas, W.; Slijper, T.; Coopmans, I.; Vroege, W.; Ciechomska, A.; Accatino, F.; Kopainsky, B.; Poortvliet, P.M.; Candel, J.J.L.; Maye, D.; Severini, S.; Senni, S.; Soriano, B.; Lagerkvist, C.-J.; Peneva, M.; Gavrilescu, C.; Reidsma, P. A framework to assess the resilience of farming systems. Agricultural Systems 2019, 176, 102656. [Google Scholar] [CrossRef]
  76. Raza, M.; Abu Hatab, A. Assessment of Vulnerability and Resilience of Smallholder Farming Households to Flood Risks: Insights from the Southern Punjab Region of Pakistan. Int. J. Disaster Risk Reduct. 2025, 126, 105600. [Google Scholar] [CrossRef]
  77. Herrera, H.; Schütz, L.; Paas, W.; Reidsma, P.; Kopainsky, B. Understanding Resilience of Farming Systems: Insights from System Dynamics Modelling for an Arable Farming System in the Netherlands. Ecol. Model. 2022, 464, 109848. [Google Scholar] [CrossRef]
  78. Urruty, N.; Tailliez-Lefebvre, D.; Huyghe, C. Stability, robustness, vulnerability and resilience of agricultural systems: A review. Agronomy for Sustainable Development 2016, 36, 15. [Google Scholar] [CrossRef]
  79. Ahmed, H.; Correa, J.S.; Sitko, N.J. Climate Adaptation, Perceived Resilience, and Household Wellbeing: Comparative Evidence from Kenya and Zambia. Ecol. Econ. 2025, 235, 108611. [Google Scholar] [CrossRef]
  80. Bagagnan, A.R.; Ouedraogo, I.; Fonta, W.M.; Sowe, M.; Wallis, A. Can Protection Motivation Theory Explain Farmers’ Adaptation to Climate Change Decision Making in The Gambia? Climate 2019, 7, 13. [Google Scholar] [CrossRef]
  81. Gao, F.; Peng, L.; Zhou, D.; Liang, S. Climate Risk Adaptation through Disaster Insurance: Understanding Purchase Behavior of Farmers Threatened by Flash Floods in Rural China. Climate Risk Management 2026, 51, 100787. [Google Scholar] [CrossRef]
  82. Smit, B.; Wandel, J. Adaptation, Adaptive Capacity and Vulnerability. Glob. Environ. Change 2006, 16, 282–292. [Google Scholar] [CrossRef]
  83. Bacco, M.; Barsocchi, P.; Ferro, E.; Gotta, A.; Ruggeri, M. The Digitisation of Agriculture: A Survey of Research Activities on Smart Farming. Array 2019, 3–4, 100009. [Google Scholar] [CrossRef]
  84. Pienaah, C.K.A.; Batung, E.; Saaka, S.A.; Mohammed, K.; Luginaah, I. Early Warnings and Perceived Climate Change Preparedness among Smallholder Farmers in the Upper West Region of Ghana. Land 2023, 12, 1944. [Google Scholar] [CrossRef]
  85. Simelton, E.; McCampbell, M. Do Digital Climate Services for Farmers Encourage Resilient Farming Practices? Pinpointing Gaps through the Responsible Research and Innovation Framework. Agriculture 2021, 11, 953. [Google Scholar] [CrossRef]
  86. Adger, W.N. Vulnerability. Glob. Environ. Change 2006, 16, 268–281. [Google Scholar] [CrossRef]
  87. Darnhofer, I. Resilience and Why It Matters for Farm Management. Eur. Rev. Agric. Econ. 2014, 41, 461–484. [Google Scholar] [CrossRef]
  88. Eastwood, C.; Ayre, M.; Nettle, R.; Dela Rue, B. Making Sense in the Cloud: Farm Advisory Services in a Smart Farming Future. NJAS – Wagening. J. Life Sci. 2019, 90–91, 100298. [Google Scholar] [CrossRef]
  89. Arbuckle, J.G.; Morton, L.W.; Hobbs, J. Understanding Farmer Perspectives on Climate Change Adaptation and Mitigation: The Roles of Trust in Sources of Climate Information, Climate Change Beliefs, and Perceived Risk. Environ. Behav. 2015, 47, 205–234. [Google Scholar] [CrossRef]
  90. McGehee, N.G.; Kim, K.; Jennings, G.R. Gender and motivation for agri-tourism entrepreneurship. Tourism Management 2007, 28, 280–289. [Google Scholar] [CrossRef]
  91. Wilson, G.A. Multifunctional “quality” and rural community resilience. Transactions of the Institute of British Geographers 2010, 35, 364–381. [Google Scholar] [CrossRef]
  92. Tendall, D.M.; Joerin, J.; Kopainsky, B.; Edwards, P.; Shreck, A.; Le, Q.B.; Kruetli, P.; Grant, M.; Six, J. Food System Resilience: Defining the Concept. Glob. Food Secur. 2015, 6, 17–23. [Google Scholar] [CrossRef]
  93. Hair, J.F.; Risher, J.J.; Sarstedt, M.; Ringle, C.M. When to Use and How to Report the Results of PLS-SEM. Eur. Bus. Rev. 2019, 31, 2–24. [Google Scholar] [CrossRef]
Figure 1. Structural Equation Modeling (SEM). Source: Prepared by the authors (2026).
Figure 1. Structural Equation Modeling (SEM). Source: Prepared by the authors (2026).
Preprints 194326 g001
Table 1. KMO and Bartlett’s Test.
Table 1. KMO and Bartlett’s Test.
Kaiser-Meyer-Olkin Measure of Sampling Adequacy. ,837
Bartlett’s Test of Sphericity Approx. Chi-Square 2642,602
df 435
Sig. ,000
Table 2. Total Variance Explained (Maximum Likelihood extraction, Varimax rotation).
Table 2. Total Variance Explained (Maximum Likelihood extraction, Varimax rotation).
Factor Initial Eigenvalue % of Variance Cumulative %
1 3.301 18.34 18.34
2 1.738 9.66 28.00
3 1.596 8.87 36.86
4 1.340 7.45 44.31
5 1.235 6.86 51.17
Note. Extraction method = Maximum Likelihood. Rotation method = Varimax with Kaiser normalization. Five factors with eigenvalues greater than 1 were retained. Percentages refer to variance explained by the retained factors prior to rotation; rotation was applied to improve interpretability and does not alter the cumulative variance explained.
Table 4. Composite Reliability (CR) and Average Variance Extracted (AVE).
Table 4. Composite Reliability (CR) and Average Variance Extracted (AVE).
Construct CR AVE
AI Transparency (F1) 0.82 0.54
Climate Awareness (F2) 0.79 0.50
Decision Confidence (F3) 0.84 0.57
Diversification Intention (F4) 0.81 0.52
Farm Resilience (F5) 0.83 0.55
Table 5. Fornell–Larcker Discriminant Validity Matrix.
Table 5. Fornell–Larcker Discriminant Validity Matrix.
Construct F1 F2 F3 F4 F5
AI Transparency (F1) 0.735 0.31 0.28 0.26 0.29
Climate Awareness (F2) 0.31 0.707 0.22 0.21 0.37
Decision Confidence (F3) 0.28 0.22 0.755 0.35 0.36
Diversification Intention (F4) 0.26 0.21 0.35 0.721 0.47
Farm Resilience (F5) 0.29 0.37 0.36 0.47 0.742
Table 6. HTMT (Heterotrait–Monotrait Ratio).
Table 6. HTMT (Heterotrait–Monotrait Ratio).
Construct F1 F2 F3 F4 F5
F1 AI Transparency 0.70 0.66 0.60 0.72
F2 Climate Awareness 0.62 0.58 0.74
F3 Decision Confidence 0.78 0.82
F4 Diversification Intention 0.84
F5 Farm Resilience
Disclaimer/Publisher’s Note: The statements, opinions and data contained in all publications are solely those of the individual author(s) and contributor(s) and not of MDPI and/or the editor(s). MDPI and/or the editor(s) disclaim responsibility for any injury to people or property resulting from any ideas, methods, instructions or products referred to in the content.
Copyright: This open access article is published under a Creative Commons CC BY 4.0 license, which permit the free download, distribution, and reuse, provided that the author and preprint are cited in any reuse.
Prerpints.org logo

Preprints.org is a free preprint server supported by MDPI in Basel, Switzerland.

Subscribe

Disclaimer

Terms of Use

Privacy Policy

Privacy Settings

© 2026 MDPI (Basel, Switzerland) unless otherwise stated