Submitted:
12 January 2026
Posted:
13 January 2026
You are already at the latest version
Abstract
Keywords:
1. Introduction
1.1. Financial Literacy and Financial Education
1.2. Connection with Financial Knowledge
1.3. Financial Wellbeing and Difference by Gender
1.4. From Resilience to Financial Resilience
- Does the perception of financial health indicators, as well lived experiences and actions to address crises, conform an underlying structure that explains financial wellbeing?
- Is there a relationship between financial wellbeing and financial resilience?
- Is there are difference by gender in relation to financial health indicators.
2. Materials and Methods
2.1. Participants
2.2. Ethics
2.3. Instrument
2.4. Procedure


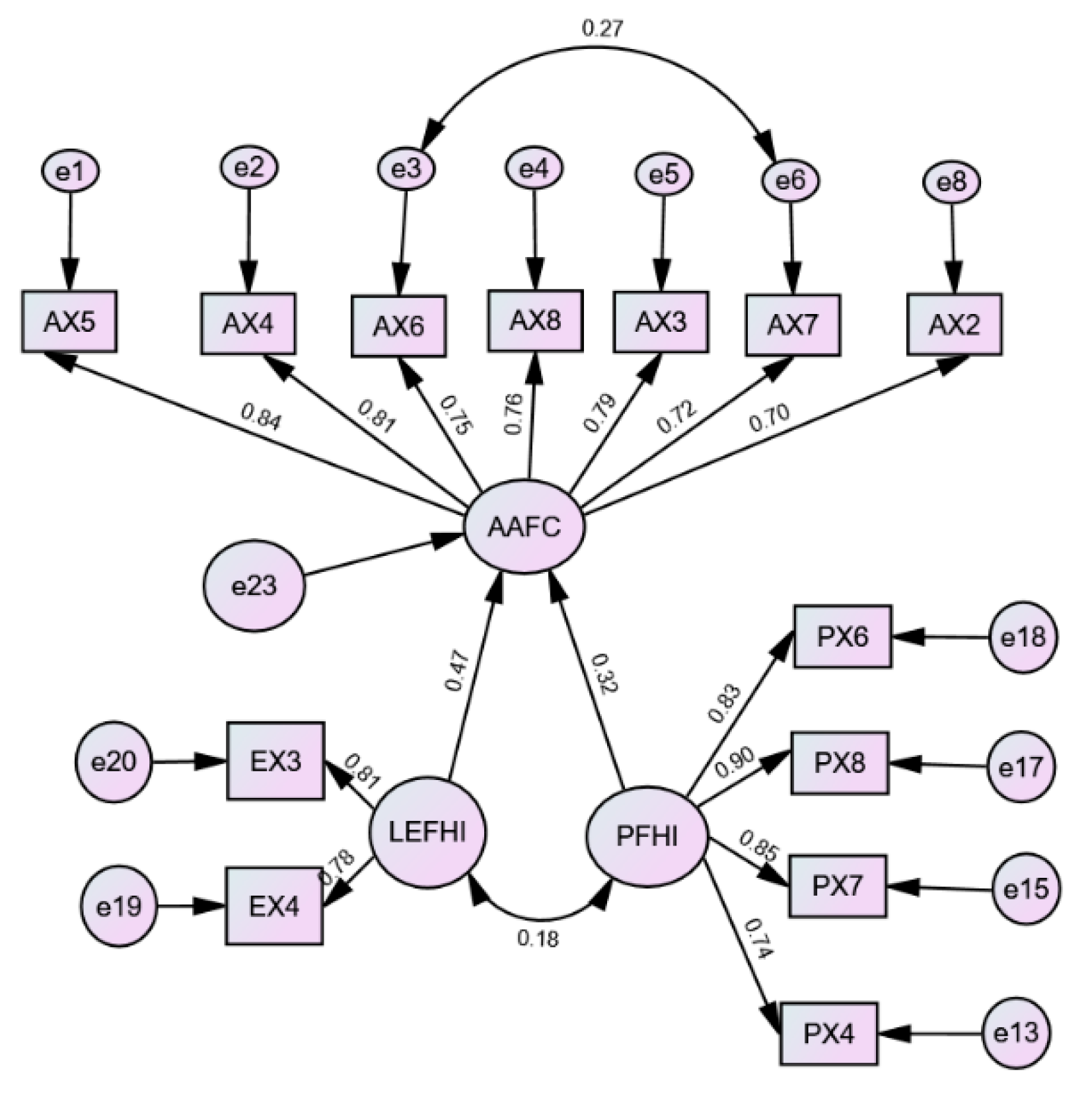
3. Results
| PX1 | PX2 | PX3 | PX4 | PX5 | PX6 | PX7 | PX8 | MSA | Mean | Standard deviation | skewness | kurtosis | |
| PX1 | 1.000 | .925a | 3.25 | 1.48 | -0.19 | -1.40 | |||||||
| PX2 | 0.684 | 1.000 | .914a | 3.57 | 1.50 | -0.57 | -1.24 | ||||||
| PX3 | 0.482 | 0.605 | 1.000 | .931a | 3.15 | 1.14 | -0.05 | -0.63 | |||||
| PX4 | 0.472 | 0.535 | 0.637 | 1.000 | .943a | 3.34 | 1.31 | -0.39 | -1.05 | ||||
| PX5 | 0.451 | 0.511 | 0.599 | 0.549 | 1.000 | .920a | 3.09 | 1.11 | -0.08 | -0.67 | |||
| PX6 | 0.652 | 0.708 | 0.626 | 0.606 | 0.604 | 1.000 | .926a | 3.61 | 1.36 | -0.56 | -1.03 | ||
| PX7 | 0.482 | 0.519 | 0.571 | 0.625 | 0.463 | 0.703 | 1.000 | .923a | 3.38 | 1.34 | -0.39 | -1.08 | |
| PX8 | 0.524 | 0.591 | 0.568 | 0.665 | 0.503 | 0.749 | 0.767 | 1.000 | .914a | 3.56 | 1.41 | -0.53 | -1.11 |
- Determinant= .0001.
| EX1 | EX2 | EX3 | EX4 | EX5 | EX6 | EX7 | EX8 | MSA | Mean | Standard deviation | skewness | kurtosis | |
| EX1 | 1.000 | .935a | 3.17 | 1.22 | -0.25 | -0.97 | |||||||
| EX2 | 0.598 | 1.000 | .950a | 3.24 | 1.23 | -0.23 | -0.91 | ||||||
| EX3 | 0.357 | 0.378 | 1.000 | .803a | 2.77 | 1.00 | 0.04 | -0.33 | |||||
| EX4 | 0.307 | 0.308 | 0.634 | 1.000 | .853a | 2.84 | 1.00 | -0.02 | -0.40 | ||||
| EX5 | 0.417 | 0.427 | 0.396 | 0.327 | 1.000 | .928a | 2.90 | 1.12 | -0.05 | -0.73 | |||
| EX6 | 0.425 | 0.504 | 0.274 | 0.314 | 0.581 | 1.000 | .953a | 3.13 | 1.25 | -0.03 | -1.01 | ||
| EX7 | 0.085 | 0.199 | 0.351 | 0.264 | 0.171 | 0.148 | 1.000 | .782a | 2.86 | 1.16 | 0.09 | -0.64 | |
| EX8 | 0.297 | 0.353 | 0.153 | 0.158 | 0.277 | 0.365 | 0.322 | 1.000 | .919a | 3.18 | 1.19 | -0.18 | -0.93 |
| AX1 | AX2 | AX3 | AX4 | AX5 | AX6 | AX7 | AX8 | MSA | Mean | Standard deviation | skewness | kurtosis | |
| AX1 | 1.000 | .964a | 3.21 | 1.13 | -0.04 | -0.83 | |||||||
| AX2 | 0.588 | 1.000 | .968a | 3.18 | 1.15 | -0.15 | -0.76 | ||||||
| AX3 | 0.558 | 0.572 | 1.000 | .949a | 3.02 | 1.06 | -0.07 | -0.39 | |||||
| AX4 | 0.551 | 0.566 | 0.665 | 1.000 | .950a | 3.07 | 1.10 | -0.15 | -0.67 | ||||
| AX5 | 0.604 | 0.590 | 0.649 | 0.702 | 1.000 | .950a | 3.12 | 1.07 | -0.22 | -0.59 | |||
| AX6 | 0.482 | 0.532 | 0.556 | 0.588 | 0.663 | 1.000 | .938a | 3.00 | 1.05 | -0.15 | -0.52 | ||
| AX7 | 0.430 | 0.453 | 0.596 | 0.565 | 0.590 | 0.661 | 1.000 | .927a | 2.96 | 0.99 | -0.08 | -0.36 | |
| AX8 | 0.518 | 0.522 | 0.587 | 0.584 | 0.656 | 0.599 | 0.589 | 1.000 | .948a | 3.07 | 1.04 | -0.09 | -0.42 |




4. Discussion
5. Conclusion
Author Contributions
Funding
Conflicts of Interest
Appendix A
| Items |
| PFHI 1.- Do you think that you should spend less than what you earn? |
| PFHI 2.- Do invoice have to be paid on time and in full? |
| PFHI 3.- Is it convenient to have enough savings in liquid financial products? |
| PFHI 4.- Have enough savings or long-term assets? |
| PFHI 5.- Have a sustainable level of debt? |
| PFHI 6.- Have a healthy credit history? |
| PFHI 7.- Have adequate insurance? |
| PFHI 8.- Plan expenses for the future? |
| Items |
| LEFHI 1.- Personally, have you experienced a situation where you spend less than you earn? |
| LEFHI 2.- If you had outstanding payments, did you pay the bills on time and in full? |
| LEFHI 3.- Do you have enough savings in liquid financial products? |
| LEFHI 4.- Do you have enough savings or long-term assets? |
| LEFHI 5.- Currently, do you have a sustainable level of debt? |
| LEFHI 6.- Today, do you have a healthy credit history? |
| LEFHI 7.- Do you currently have adequate insurance in force? |
| LEFHI 8.- In your personal life, do you plan the expenses that you will have in the immediate future and in the short term? |
| Items |
| AAFC 1.- Personally, did you take any actions to spend less than you earn? |
| AAFC 2.- In the event of having had pending payments, and not having paid on time: did you take any action to resolve the payment of your invoices on time and in full? |
| AAFC 3.- If so, did you implement any plan to increase your savings in liquid financial products? |
| AAFC 4.- Did you take any action to have enough savings or long-term assets? |
| AAFC 5.- Have you defined any strategy to maintain your debts in a sustainable manner and that you can pay when due? |
| AAFC 6.- If you did not have a healthy credit history, did you carry out any plan? |
| AAFC 7.- In case of not having adequate insurance, or having some, did you implement any plan to modify this scheme? |
| AAFC 8.- In case of not doing it in your personal life, did you implement a strategy to plan the expenses that you will have in the immediate future and in the short term? |
Appendix B
| Average scale if the element has been suppressed |
Scale variance if the element has been suppressed |
Total item correlation corrected |
Cronbach’s alpha suppressed element |
|
| Gender | 156.0481 | 1248.869 | .175 | .876 |
| TypeUniv | 155.8377 | 1264.915 | -.216 | .879 |
| Age | 155.8136 | 1248.168 | .104 | .877 |
| Marital status | 156.1122 | 1262.754 | -.147 | .878 |
| PFHI1 | 154.2425 | 1196.646 | .555 | .871 |
| PFHI2 | 153.9279 | 1186.139 | .651 | .870 |
| PFHI3 | 154.3427 | 1208.198 | .585 | .872 |
| PFHI4 | 154.1503 | 1197.285 | .623 | .871 |
| PFHI5 | 154.4028 | 1214.546 | .516 | .873 |
| PFHI6 | 153.8838 | 1184.501 | .739 | .869 |
| PFHI7 | 154.1162 | 1193.645 | .650 | .870 |
| PFHI8 | 153.9359 | 1186.550 | .692 | .870 |
| LEFHI1 | 154.3267 | 1203.068 | .602 | .872 |
| LEFHI2 | 154.2545 | 1196.367 | .679 | .871 |
| LEFHI3 | 154.7255 | 1226.083 | .409 | .874 |
| LEFHI4 | 154.6573 | 1225.997 | .408 | .874 |
| LEFHI5 | 154.5972 | 1210.289 | .567 | .872 |
| LEFHI6 | 154.3667 | 1196.831 | .664 | .871 |
| LEFHI7 | 154.6373 | 1228.465 | .317 | .875 |
| LEFHI8 | 154.3166 | 1202.815 | .622 | .871 |
| AAFC 1 | 154.2886 | 1199.599 | .701 | .871 |
| AAFC 2 | 154.3126 | 1200.794 | .671 | .871 |
| AAFC 3 | 154.4790 | 1207.049 | .647 | .872 |
| AAFC 4 | 154.4269 | 1205.036 | .650 | .872 |
| AAFC 5 | 154.3747 | 1205.303 | .661 | .872 |
| AAFC 6 | 154.4950 | 1211.668 | .585 | .872 |
| AAFC 7 | 154.5311 | 1216.623 | .549 | .873 |
| AAFC 8 | 154.4248 | 1211.446 | .594 | .872 |
| PFHI | 130.5371 | 836.249 | .702 | .888 |
| LEFHI | 133.4168 | 924.874 | .817 | .860 |
| AAFC | 132.8677 | 905.107 | .740 | .869 |
| Average scale if the element has been suppressed |
Scale variance if the element has been suppressed |
Total item correlation corrected |
Cronbach’s alpha suppressed element |
McDonald Omega if suppresed element | |
| Gender | 156.0481 | 1248.869 | .175 | .876 | .949 |
| TypeUniv | 155.8377 | 1264.915 | -.216 | .879 | .935 |
| Ege | 155.8136 | 1248.168 | .104 | .877 | .951 |
| Marital status | 156.1122 | 1262.754 | -.147 | .878 | .938 |
| PFHI1 | 154.2425 | 1196.646 | .555 | .871 | .947 |
| PFHI2 | 153.9279 | 1186.139 | .651 | .870 | .946 |
| PFHI3 | 154.3427 | 1208.198 | .585 | .872 | .947 |
| PFHI4 | 154.1503 | 1197.285 | .623 | .871 | .946 |
| PFHI5 | 154.4028 | 1214.546 | .516 | .873 | .947 |
| PFHI6 | 153.8838 | 1184.501 | .739 | .869 | .945 |
| PFHI7 | 154.1162 | 1193.645 | .650 | .870 | .946 |
| PFHI8 | 153.9359 | 1186.550 | .692 | .870 | .945 |
| LEFHI1 | 154.3267 | 1203.068 | .602 | .872 | .947 |
| LEFHI2 | 154.2545 | 1196.367 | .679 | .871 | .946 |
| LEFHI3 | 154.7255 | 1226.083 | .409 | .874 | .949 |
| LEFHI4 | 154.6573 | 1225.997 | .408 | .874 | .949 |
| LEFHI5 | 154.5972 | 1210.289 | .567 | .872 | .948 |
| LEFHI6 | 154.3667 | 1196.831 | .664 | .871 | .947 |
| LEFHI7 | 154.6373 | 1228.465 | .317 | .875 | .948 |
| LEFHI8 | 154.3166 | 1202.815 | .622 | .871 | .946 |
| AAFC 1 | 154.2886 | 1199.599 | .701 | .871 | .946 |
| AAFC 2 | 154.3126 | 1200.794 | .671 | .871 | .947 |
| AAFC 3 | 154.4790 | 1207.049 | .647 | .872 | .947 |
| AAFC 4 | 154.4269 | 1205.036 | .650 | .872 | .947 |
| AAFC 5 | 154.3747 | 1205.303 | .661 | .872 | .947 |
| AAFC 6 | 154.4950 | 1211.668 | .585 | .872 | .948 |
| AAFC 7 | 154.5311 | 1216.623 | .549 | .873 | .948 |
| AAFC 8 | 154.4248 | 1211.446 | .594 | .872 | .948 |
| PFHI | 130.5371 | 836.249 | .702 | .888 | .970 |
| LEFHI | 133.4168 | 924.874 | .817 | .860 | .939 |
| AAFC | 132.8677 | 905.107 | .740 | .869 | .955 |
References
- Agarwalla, S., Barua, S., Jacob, J. and Varma, J. (2015). Financial literacy among working young in urban India. World Development, 67(2013), 101-109. [CrossRef]
- Ahrens, T., and Ferry, L. (2020). Financial resilience of English local government in the aftermath of COVID-19. Journal of Public Budgeting, Accounting & Financial Management, 32(5), 813-823. [CrossRef]
- Almenberg, J. and Dreber, A. (2015). Gender, stock market participation and financial literacy. Economics Letters, 137, 140-142. [CrossRef]
- Bannier, C. and Schwarz, M. (2016). Gender differences in financial risk taking: the role of financial literacy and risk tolerance. Economics Letters, 145, 130-135. [CrossRef]
- BBVA (2020). Salud financiera: ocho indicadores para medirla [Financial health: eight indicators to measure]. Retrieved of: https://www.bbva.com/es/salud-financiera/salud-financiera-ocho-indicadores-medirla/.
- Bernard, Β. (1991). Fostering Resiliency in Kids: Protective Factors in the Family, school, and Community. San Francisco, CA: WestEd Regional Educational Laboratory.
- Bialowolski, P., Cwynar, A. and Weziak-Bialowolska, D. (2022), “The role of financial literacy for financial resilience in middle-age and older adulthood”, International Journal of Bank Marketing, Vol. 40 No. 7, pp. 1718-1748. [CrossRef]
- Bialowolski, P., Cwynar, A. and Weziak-Bialowolska, D. (2022), “The role of financial literacy for financial resilience in middle-age and older adulthood”, International Journal of Bank Marketing, Vol. 40 No. 7, pp. 1718-1748. [CrossRef]
- Brown, T. A. (2015). Confirmatory factor analysis for applied research. Guilford Publications.
- Browne, M. W., and Cudeck, R. (1993). Alternative ways of assessing model fit. En K. A. Bollen & J. S. Long (Eds.), Testing structural equation models (pp. 136-162). Sage Publications. [CrossRef]
- Bruggen, E., Hogreve, J., Holmlund, M., Kabadayi, S. and Lofgren, M. (2017). “Financial wellbeing: a conceptualization and research agenda”, Journal of Business Research, Vol. 79, pp. 228-237. [CrossRef]
- Carmines, E. G. and J. P. McIver, 1981, Analyzing Models with Unobserved Variables: Analysis of Covariance Structures, pp. 65-115 in Social Measurement: Current Issues, edited by G.W. Bohmstedt and E.F. Borgatta. Beverly Hills: Sage.
- Chen, H., and Volpe, R. (1998). An analysis of Personal Financial Literacy Among College Students. Financial Services Review, 7(2), 107-128.
- Chinen, K., and Endo, H. (2012). Effects of attitude and background on personal financial ability: A student survey in the United States. International Journal of Management, 29(1), 33.
- Collins, J. Michael and O’Rourke, Collin, Financial Education and Counseling — Still Holding Promise (2010). Journal of Consumer Affairs, 44(3), 483-498., Available at SSRN: https://ssrn.com/abstract=1529422 or. [CrossRef]
- CONSUMER FINANCIAL PROTECTION BUREAU (2018). Measuring financial wellbeing: A guide to using the CFPB Financial Wellbeing Scale. Retrieved of: https://www.consumerfinance.gov/consumer-tools/financial-well-being/.
- CONSUMER FINANCIAL PROTECTION BUREAU (2018). Measuring financial skill: A guide to using the Bureau of Consumer Financial Protection’s Financial Skill Scale. Retrieved of: https://www.consumerfinance.gov/data-research/research-reports/measuring-financial-skill/.
- Costello, A. B., and Osborne, J. W. (2005) - Best Practices in Exploratory Factor Analysis: Four Recommendations for Getting the Most From Your Analysis. Practical Assessment, Research, and Evaluation, 10(1), 1-9.
- Costello, A. B., and Osborne, J. W. (2005b). Best practices for assessing the validity of instruments. Journal of Research in Education, 5(2), 391-406.
- Erdem, D. and Rojahn, J. (2022), “The influence of financial literacy on financial resilience – New evidence from Europe during the COVID-19 crisis”, Managerial Finance, Vol. 48 No. 9/10, pp. 1453-1471. [CrossRef]
- Fabrigar, L. R., Wegener, D. T., MacCallum, R. C., and Strahan, E. J. (1999). Evaluating the use of exploratory factor analysis in psychological research. Psychological Methods, 4(3), 272–299. [CrossRef]
- Fan, X., B. Thompson, and L. Wang, 1999, Effects of Sample Size, Estimation Method, and ModelSpecification on Structural Equation Modeling Fit Indexes, Structural Equation Modeling (6):56-83.
- Field, A. (2013). Discovering statistics using IBM SPSS statistics. Sage Publications.
- Flores, M., Zamora-Lobato, T. and García-Santillán, A. (2024). Three-dimensional model of financial resilience in workers: Structural equation modeling and Bayesian analysis. Economics and Sociology, 17(1), 69-88. [CrossRef]
- Floyd, F. J., and Widaman, K. F. (1995). Factor analysis in the development and refinement of clinical assessment instruments. Psychological Assessment, 7(3), 286–299. [CrossRef]
- Friedman, M. (1957). Una teoría de la función consumo. Madrid: Alianza.
- Garmezy N. (1991b). Resilience in children’s adaptation to negative life events and stressed environments. Pediatr Ann. 1991 Sep;20(9):459-60, 463-6. PMID: 1945543. [CrossRef]
- Garmezy, N. (1983). Stressors of childhood. In N. Garmezy & M. Rutter (Eds.), Stress, coping, and development in children. (pp. 73-84). New York: McGraw-Hill.
- Garmezy, N. (1987). Stress, competence, and development: Continuities in the study of schizophrenic adults, children vulnerable to psychopathology, and the search for stress-resistant children. American Journal of Orthopsychiatry. 57(2).
- Garmezy, N. (1991a). Resiliency and vulnerability to adverse developmental outcomes associated with poverty. American Behavioral Scientist, 34 (4), pp. 416-430.
- Garmezy, N., Masten, A. S., and Tellegen, A. (1984). The study of stress and competence in children: A building block for developmental psychopathology. Child Development, 55(1), 97–111. [CrossRef]
- Gerbin D, Hamilton J. (1996). Viability of Exploratory Factor Analysis as a Precursor to Confirmatory Factor Analysis. Struct Equ Modeling. 1996;3(1):62-72.
- Gerbing, D. W. and Anderson J. C. (1988). An update paradigm for scale development incorporating unidimentionality and its assessment. Journal of Marketing Research, 25 (2), pp. 186-192.
- Gitman, L. J. & Zutter, C. J. (2007). Principios de Administración Financiera. México: Pearson Educación Décimo Segunda Edición. Educacion Superior Latinoamericana: Marisa de Anta.
- Goldberg Herb and Lewis, Robert T. (1978). Money madness: The psychology of saving, spending, loving, and hating money: New York: William Morrow. The reviewer, Thomas L. Ruble, teaches administrative and behavioral studies at the Indiana University School of Business, Business Horizons, 21, (5), 94-96.
- Gorsuch R. (1983). Factor Analysis. 2nd ed. Hillsdale, NJ: Erlbaum Associates; 1983.
- Goso, Goso and Alam, Syamsu & Amar, Muhammad & Munizu, Musran. (2023). Financial Literacy’s Importance in Household Finance Decision-Making. 10.2991/978-2-494069-49-7_162.
- Gunderson, L. H., and C. S. Holling. (2002). Panarchy: Understanding transformations in human and natural systems. Island Press, Washington, D.C., USA.
- Gunderson, L.H. (2000). Ecological resilience. In theory and application. Annual Review of Ecology and Systematics, 31(1), p.425-439. [CrossRef]
- Hair J, Anderson R, Tatham R, and Black W. (1999). Análisis Multivariante. 5a ed. Madrid: Prentice Hall; 1999.
- Henson, R. K., and Roberts, J. K. (2006). Use of Exploratory Factor Analysis in Published Research: Common Errors and Some Comment on Improved Practice. Educational and Psychological Measurement, 66(3), 393–416. [CrossRef]
- Hilgert, M. A., Hogarth, J. M., & Beverly, S. G. (2003). Household financial management: The connection between knowledge and behavior. Federal Reserve Bulletin, 89(7), 309-322.
- Ho, R. (2006). Handbook of Univariate and Multivariate Data Analysis and Interpretation with IBM-SPSS (1st ed.). Chapman and Hall/CRC. [CrossRef]
- Holling, C. S. (1996). Engineering resilience versus ecological resilience. In P. Pchulze (ed.), Engineering Within Ecological Constraints (pp. 31-44). National Academy Press.
- Hooper, D., Coughlan, J., and Mullen, M. R. (2008). Structural Equation Modelling: Guidelines for Determining Model Fit. The Electronic Journal of Business Research Methods, 6, 53-60. [CrossRef]
- Hu, L. and P. M. Bentler, 1999, Cutoff Criteria for Fit Indexes in Covariance Structure Analysis:Conventional Criteria Versus New Alternatives, Structural Equation Modeling 6(1): 1-55.
- Huston, S. J. (2010). Measuring financial literacy. Journal of Consumer Affairs, 44(2), 296-316. [CrossRef]
- Jeffreys, H. (1961).Theory of Probability (3rd ed.). Oxford University Press.
- Johnson, E., and Sherraden, M.S. (2007). From financial literacy to financial capability among youth. Journal of Sociology and Social Welfare 34(3), 119-145.
- Kass-Hanna, Josephine Lyons, Angela C. and Liu, Fan, (2022). “Building financial resilience through financial and digital literacy in South Asia and Sub-Saharan Africa,” Emerging Markets Review, Elsevier, vol. 51(PA). [CrossRef]
- Kaye, J., McCuistion, M., Gulotta, R., and Shamman, D. A. (2014). Money talks: Tracking personal finances. Session: Managing Income. [CrossRef]
- Kiliyanni, A. and Sivaraman, S. (2016). The perception-reality gap in financial literacy: evidence from the most literate state in India. International Review of Economics Education, 23, 47-64. [CrossRef]
- Kim HY. (2013). Statistical notes for clinical researchers: assessing normal distribution (2) using skewness and kurtosis. Restor Dent Endod. 2013 Feb; 38(1): 52-4. [CrossRef]
- Kiviat, B. and Morduch, J. (2012). From financial literacy to financial action. Financial Access Initiative, Financial Access Initiative Robert F. Wagner Graduate School of Public Service New York University January 9, 2012.
- Kline, R. B., (1998), Principles and Practice of Structural Equation Modeling, Guilford Press.
- Krueger, DW (1986), “Dinero, éxito y fobia al éxito”, en Krueger, DW (Ed.), El último tabú: El dinero como símbolo y realidad en psicoterapia y psicoanálisis. Brunner/Mazel, Nueva York, págs. 3-16.
- Kulshreshtha, A., Raju, S., Muktineni, S.M. and Chatterjee, D. (2023), “Income shock and financial wellbeing in the COVID-19 pandemic: financial resilience and psychological resilience as mediators, International Journal of Bank Marketing, 2023, № 5, p. 1037-1058. [CrossRef]
- Lorenzo-Seva, U., and Ferrando, P. J. (2006). FACTOR: A computer program to fit the exploratory factor analysis model. Behavior Research Methods, 38(1), 88-91. [CrossRef]
- Lusardi A. and Mitchell O., (2011). Financial literacy and planning: implications for retirement wellbeing, NBER working paper, series working paper 17078 http://www.nber.org/papers/w17078.
- Lusardi and Mitchell (2011). Financial Literacy around the World: An Overview, Cambridge, MA, National Bureau of Economic Research.
- Lusardi, (2011). Americans’ financial capability. National Bureau of Economic Research Working Paper No. w17103. [CrossRef]
- Lusardi, A., and Mitchell, O. S. (2014). The economic importance of financial literacy: Theory and evidence. Journal of Economic Literature, 52(1), 5-44. [CrossRef]
- Lusardi, A., and Mitchell, O. S. (2014). The Economic Importance of Financial Literacy: Theory and Evidence, 52, 1–40.
- Lusardi, A., andTufano, P. (2015). Debt literacy, financial experiences, and overindebtedness. Journal of Pension Economics & Finance, 14(4), 332-368.
- Lusardi, Annamaria and Mitchell, Olivia S., (2007). Financial Literacy and Retirement Planning: New Evidence from the Rand American Life Panel (October 2007). Michigan Retirement Research Center Research Paper No. WP 2007-157. [CrossRef]
- McDonald, R. P. (1999). Test theory: A unified treatment. Mahwah: Lawrence Erlbaum Associates, Inc.
- Minsky, H. P. (1986). Stabilizing an unstable economy. Yale University Press.
- Mulaik, Stanley A.; James, Larry R.; Van Alstine, Judith; Bennett, Nathan; Lind, Sherri and Stilwell, C. Dean (1989). “Evaluation of goodness-of-fit indices for structural equation models”. Psychological Bulletin. Vol. 105, No. 3. Washington, EEUU. Pp. 430-445.
- Muthén, B., and Kaplan D. (1985). A comparison of some methodologies for the factor analysis of non-normal Likert variables. British Journal of Mathematical and Statistical Psychology, 38, 171-189. [CrossRef]
- Netemeyer, R.G., Warmath, D., Fernandes, D. and Lynch, J.G. (2018), “How Am I doing? Perceived financial wellbeing, its potential antecedents, and its relation to overall wellbeing”, Journal of Consumer Research, Vol. 45 No. 1, pp. 68-89. [CrossRef]
- Ogasawara, H. (2011). Asymptotic expansions of the distributions of the polyserial correlations coefficients. Behaviormetrika, 38(2), 153-168. [CrossRef]
- Okumu M., Ansong D., Koomson I., and Ding-Geng Chen (2024). How Financial Resilience Shapes Social and Public Health Policy Choices in Africa: Empirical Insights from the COVID-19 Pandemic. Journal of the Society for Social Work and Research Volume 15, Number 1 Spring 2024. [CrossRef]
- Paswan, A., (2009). Confirmatory Factor Analysis and Structural Equations Modeling, AnIntroduction, Department of Marketing and Logistics, COB, University of North Texas, USA.
- Preacher, K. J., and MacCallum, R. C. (2002). Exploratory factor analysis in behavior genetics research: Factor recovery with small sample sizes. Behavior Genetics, 32(3), 211-221. [CrossRef]
- Richaud, M. (2005). Desarrollos del análisis factorial para el estudio de ítem dicotómicos y ordinales. Revista Interdisciplinaria, 22(2), 237-251.
- Rutter M. (1970). Sex differences in children’s response to family stress. In The child in his familia (eds. Anthony E. J., Koupernik C.). Wiley, New York.
- Rutter M. (1984b) Continuities and discontinuities in socio-emotional development: empirical and conceptual perspectives. In Continuities and Discontinuities in Development (eds. Emde R., Harmon R.). Plenum, New York.
- Salignac, F., Marjolin, A., Reeve, R., and Muir, K. (2019). Conceptualizing and Measuring Financial Resilience: A Multidimensional Framework. Social Indicators Research, 145,17-38. [CrossRef]
- Schreiber, J. B., Nora, A., Stage, F. K., Barlow, E. A., and King, J. (2006). Reporting Structural Equation Modeling and Confirmatory Factor Analysis Results: A Review. Journal of Educational Research, 99, 323-338. [CrossRef]
- Schumacker, R. E and R. G. Lomax, (2004). A Beginner’s Guide to Structural Equation Modeling, Second Edition, and Lawrence Erlbaum Associates.
- Schumacker, R. E. and R. G. Lomax, (1996). A Beginners Guide to Structural Equation Modeling, Hillsdale, N. J. Erlbaum, readable introduction to use of EQS 5.0 or LISREL8-SIMPLIS.
- Setterfield, M., and Kim, Y. (2024). How financially fragile can households become? Household borrowing, the welfare state, and macroeconomic resilience. Rev Evol Polit Econ 5, 121–151 (2024). [CrossRef]
- Simmerman, G. (1985). An evaluation of the use of polychoric correlation coefficients in factor analysis. Multivariate Behavioral Research, 20(3), 305-319. [CrossRef]
- Swiecka, B., Yeşildağ, E., Özen, E. and Grima, S. (2020). Financial literacy: the case of Poland. Sustainability, 12(2), 700. [CrossRef]
- Tabachnick, B. G., and Fidell, L. S. (2013) - Using Multivariate Statistics (6th ed.). Pearson.
- Tahir, M.S., Shahid, A.U. and Richards, D.W. (2022), “The role of impulsivity and financial satisfaction in a moderated mediation model of consumer financial resilience and life satisfaction”, International Journal of Bank Marketing, Vol. ahead-of-print No. ahead-of-print. [CrossRef]
- Tahir, Muhammad, Ahmed, Abdullahi and Richards, Daniel. (2021). Financial literacy and financial wellbeing of Australian consumers: a moderated mediation model of impulsivity and financial capability. International Journal of Bank Marketing. ahead-of-print. 10.1108/IJBM-09-2020-0490.
- Thurstone L. (1931). Multiple Factor Analysis. Psychol Rev. 1931; 38: 406-427.
- Timmerman, M. (2005). Factor analysis. Retrieved of: http://www.ppsw.rug. nl/~metimmer/FAMET.pdf.
- Timmerman, M. E., and Lorenzo-Seva, U. (2011). Dimensionality assessment: The role of correlation matrices and the use of polychoric correlations. Psychological Methods, 16(4), 447-466. [CrossRef]
- Torres, A. (2005). MEFIPES, Método para Obtener Finanzas Personales Sanas, Caso: Tenaris Tamsa. Instituto de Investigaciones y Estudios Superiores de las Ciencias Administrativas. Universidad Veracruzana. Xalapa. 18-81, 128-129.
- Ullman, J. B. (2006). Structural Equation Modeling: Reviewing the Basics and Moving Forward. Journal of Personality Assessment, 87, 35-50.http://dx.doi.org/10.1207/s15327752jpa8701_03.
- Vanegas, J. G., Arango Mesa, M. A., Gómez-Betancur, L., and Cortés-Cardona, D. (2020). Educación financiera en mujeres: un estudio en el Barrio López de Mesa de Medellín. Revista Facultad De Ciencias Económicas, 28(2). [CrossRef]
- Werner, E. E. (1989). High-risk children in young adulthood: A longitudinal study from birth to 32 years. American Journal of Orthopsychiatry, 59(1), 72–81. [CrossRef]
- Werner, E. E. and Smith, R. S. (1982). Vulnerable but invincible. A study of resilient children. Nueva York: McGraw-Hill.
- Werner, E. E. and Smith, R. S. (1992). Overcoming the odds: High-risk children from birth to adulthood. Ithaca, NY: Cornell University Press.
- Xu, L., and Zia, B. (June 2012). Financial literacy around the world: an overview of the evidence with practical suggestions for the way forward. World Bank Policy Research Working Paper No. 6107.
- Yadav, P. and Shaikh, I. (2023), “Measuring financial resilience with consumer sentiment data from India”, International Journal of Bank Marketing, Vol. 41 No. 5, pp. 1083-1103. [CrossRef]
- Yang Y, Li Z., Xu Z., and Liu S., (2024). The impact of digital finance on regional economic resilience.Pacific-Basin Finance Journal, Volume 85, June 2024, 102353. [CrossRef]
- Yao, R. and Zhang, J. (2023), “Employment status and financial resilience during the COVID-19 pandemic”, International Journal of Bank Marketing, Vol. 41 No. 5, pp. 992-1009. [CrossRef]
- Zait and Bertea, (2015). Financial Literacy–Conceptual Definition and Proposed Approach for a Measurement Instrument. The Journal of Accounting and Management, 4(3).
- Zeka, B. and Alhassan, A.L. (2024), “Gender disparities in financial resilience: insights from South Africa”, International Journal of Bank Marketing, Vol. 42 No. 6, pp. 1212-1231. [CrossRef]





| Sampling | Z | Skewness | Kurtosis | p-value | HO | Distribution |
| small n< 50 | > 1.96 | Ignore | Ignore | 0.05 | Reject | No normally |
| medium 50 < n < 300 | > 3.29 | Ignore | Ignore | 0.05 | Reject | No normally |
| large > 300 | Ignore | > 2 | > 7 | 0.05 | Reject | No normally |
| Otherwise | Not ignore if | < 2 | < 7 | 0.05 | Not Reject | Normally |
| BF0u Null hypothesis over the alternative | Value | |
| In favor of H0 | Very strong | >30 |
| Strong | 10 to 30 | |
| Moderate | 3.1 to 10 | |
| Anecdotal | 1.1. to 3.1 | |
| No evidence | 1 | |
| In favor of H1 | Anecdotal | 0.3 to 0.9 |
| Moderate | 0.29 to 0.1 | |
| Strong | 0.09 to 0.03 | |
| Very strong | <0.03 | |
| Items | F1 | F2 | F3 | F4 | |
| AX5. Have you defined any strategy to maintain your debts in a sustainable manner and that you can pay when due? | 0.836 | 0.699 | |||
| AX4. Did you take any action to have enough savings or long-term assets? | 0.790 | 0.624 | |||
| AX6. If you did not have a healthy credit history, did you carry out any plan? | 0.786 | 0.618 | |||
| AX8. In case of not doing, it in your personal life, did you implement a strategy to plan the expenses that you will have in the immediate future and in the short term? | 0.783 | 0.613 | |||
| AX3. If so, did you implement any plan to increase your savings in liquid financial products? | 0.767 | 0.588 | |||
| AX7. In case of not having adequate insurance, or having some, did you implement any plan to modify this scheme? | 0.767 | 0.588 | |||
| AX1. Personally, did you take any actions to spend less than you earn? | 0.676 | 0.457 | |||
| AX2. In the event of having had pending payments, and not having paid on time: did you take any action to resolve the payment of your invoices on time and in full? | 0.664 | 0.441 | |||
| EX6. Today, do you have a healthy credit history? | 0.614 | 0.377 | |||
| PX6. Have a healthy credit history? | 0.856 | 0.733 | |||
| PX8. Plan expenses for the future? | 0.818 | 0.669 | |||
| PX2. Do invoices have to be paid on time and in full? | 0.778 | 0.605 | |||
| PX7. Have adequate insurance? | 0.774 | 0.599 | |||
| PX3. Is it convenient to have enough savings in liquid financial products? | 0.767 | 0.588 | |||
| PX4. Have enough savings or long-term assets? | 0.761 | 0.579 | |||
| PX1. Do you think that you should spend less than what you earn? | 0.732 | 0.536 | |||
| PX5. Have a sustainable level of debt? | 0.717 | 0.514 | |||
| EX8. In your personal life, do you plan the expenses that you will have in the immediate future and in the short term? | 0.508 | 0.258 | |||
| EX3. Do you have enough savings in liquid financial products? | 0.800 | 0.640 | |||
| EX4. Do you have enough savings or long-term assets? | 0.756 | 0.572 | |||
| EX7. Do you currently have adequate insurance in force? | 0.684 | 0.468 | |||
| eigenvalue | 9.458 | 3.473 | 1.506 | 1.13 | Σ |
| % variance explained by extraction | 39.409 | 14.469 | 6.276 | 4.706 | 64.86 |
| % variance explained by rotation | 25.440 | 24.460 | 9.702 | 5.258 | 64.86 |
| AVE (Average variance extracted) | 0.556 | 0.565 | 0.404 | ** | |
| CR Composite Reliability | 0.918 | 0.920 | 0.575 |
| Model fit summary | Model 1 Initial factorial solution | Adjusted Model 2 | Adjusted Mode 3 | Adjusted Mode 4 | Adjusted Mode 5 | Adjusted Final Model 6 | Theoretical criterion | |
| CMIN | NPAR | 45 | 37 | 35 | 32 | 33 | 30 | |
| CMIN | 989.405 | 543.434 | 298.994 | 237.618 | 221.285 | 161.396 | ||
| DF | 186 | 116 | 85 | 73 | 72 | 61 | ||
| P | 0 | 0 | 0 | 0 | 0 | 0 | ||
| CMIN/DF | 5.319 | 4.685 | 3.518 | 3.255 | 3.073 | 2.646 | 2.1 to 3.1 | |
| RMR, GFI | RMR | 0.115 | 0.087 | 0.082 | 0.071 | 0.073 | 0.052 | Close to 0 |
| GFI | 0.832 | 0.878 | 0.924 | 0.933 | 0.939 | 0.951 | >9 | |
| AGFI | 0.792 | 0.839 | 0.892 | 0.904 | 0.912 | 0.927 | >9 | |
| PGFI | 0.67 | 0.666 | 0.654 | 0.649 | 0.644 | 0.637 | > 0.5 value > parsimony | |
| Model fit summary | Model 1 Initial factorial solution | Adjusted Model 2 | Adjusted Mode 3 | Adjusted Mode 4 | Adjusted Mode 5 | Adjusted Final Model 6 | Theoretical criterion | |
| Baseline Comparisons | NFI -Delta 1 | 0.851 | 0.899 | 0.936 | 0.944 | 0.948 | 0.958 | ≥.9 |
| RFI -rho1 | 0.832 | 0.882 | 0.92 | 0.93 | 0.934 | 0.946 | ≥.9 | |
| IFI Delta 2 | 0.876 | 0.919 | 0.953 | 0.96 | 0.964 | 0.973 | ≥.9 | |
| TLI -rho2 | 0.859 | 0.905 | 0.942 | 0.95 | 0.954 | 0.966 | ≥.95 | |
| CFI | 0.875 | 0.919 | 0.953 | 0.96 | 0.964 | 0.973 | ≥.9 | |
| Parsimony-Adjusted Measures | PRATIO | 0.886 | 0.853 | 0.81 | 0.802 | 0.791 | 0.782 | >0.50 |
| PNFI | 0.754 | 0.767 | 0.757 | 0.757 | 0.75 | 0.749 | >0.50 | |
| PCFI | 0.775 | 0.784 | 0.771 | 0.77 | 0.763 | 0.761 | >0.50 | |
| Model fit summary | Model 1 Initial factorial solution | Adjusted Model 2 | Adjusted Mode 3 | Adjusted Mode 4 | Adjusted Mode 5 | Adjusted Final Model 6 | Theoretical criterion | |
| FMIN | FMIN | 1.987 | 1.091 | 0.6 | 0.477 | 0.444 | 0.324 | |
| F0 | 1.613 | 0.858 | 0.43 | 0.331 | 0.3 | 0.202 | ||
| LO 90 | 1.423 | 0.72 | 0.331 | 0.244 | 0.217 | 0.134 | ||
| HI 90 | 1.819 | 1.011 | 0.543 | 0.432 | 0.397 | 0.285 | ||
| RMSEA | RMSEA | 0.093 | 0.086 | 0.071 | 0.067 | 0.065 | 0.057 | ≤ 0.05 |
| LO 90 | 0.087 | 0.079 | 0.062 | 0.058 | 0.055 | 0.047 | ||
| HI 90 | 0.099 | 0.093 | 0.08 | 0.077 | 0.074 | 0.068 | ||
| PCLOSE | 0.000 | 0.000 | 0.000 | 0.002 | 0.007 | 0.121 | ||
| HOELTER | HOELTER 0.05 | 111 | 131 | 180 | 197 | 209 | 248 | |
| HOELTER 0.01 | 118 | 142 | 197 | 218 | 232 | 277 | ||
| Models | P(M) | P(M|data) | BFM | BF01 | error % |
| Null model | 0.500 | 0.051 | 0.0537 | 1.000 | 0.020 |
| Gender | 0.500 | 0.949 | 18.501 | 0.054 |
| Variable | Level | Means | Sd | 95% Credible Interval | |
| Lower | Upper | ||||
| Intercept | 77.138 | 2.057 | 72.750 | 81.001 | |
| Gender | 1 - Male | -6.020 | 1.964 | -10.042 | -2.175 |
| 2 - Female | -2.116 | 2.000 | -6.188 | 1.783 | |
| 3 - LGBT+ | 8.136 | 3.630 | 1.017 | 15.587 | |
Disclaimer/Publisher’s Note: The statements, opinions and data contained in all publications are solely those of the individual author(s) and contributor(s) and not of MDPI and/or the editor(s). MDPI and/or the editor(s) disclaim responsibility for any injury to people or property resulting from any ideas, methods, instructions or products referred to in the content. |
© 2026 by the authors. Licensee MDPI, Basel, Switzerland. This article is an open access article distributed under the terms and conditions of the Creative Commons Attribution (CC BY) license (http://creativecommons.org/licenses/by/4.0/).
