Submitted:
11 January 2026
Posted:
12 January 2026
You are already at the latest version
Abstract
Keywords:
1. Introduction
2. Materials and Methods
2.1. Samples and Study Object Description
2.2. Experimental Design and Control Configuration
2.3. Measurement Methods and Quality Control
2.4. Data Processing and Model Formulation
2.5. Numerical Modeling Procedure
3. Results and Discussion
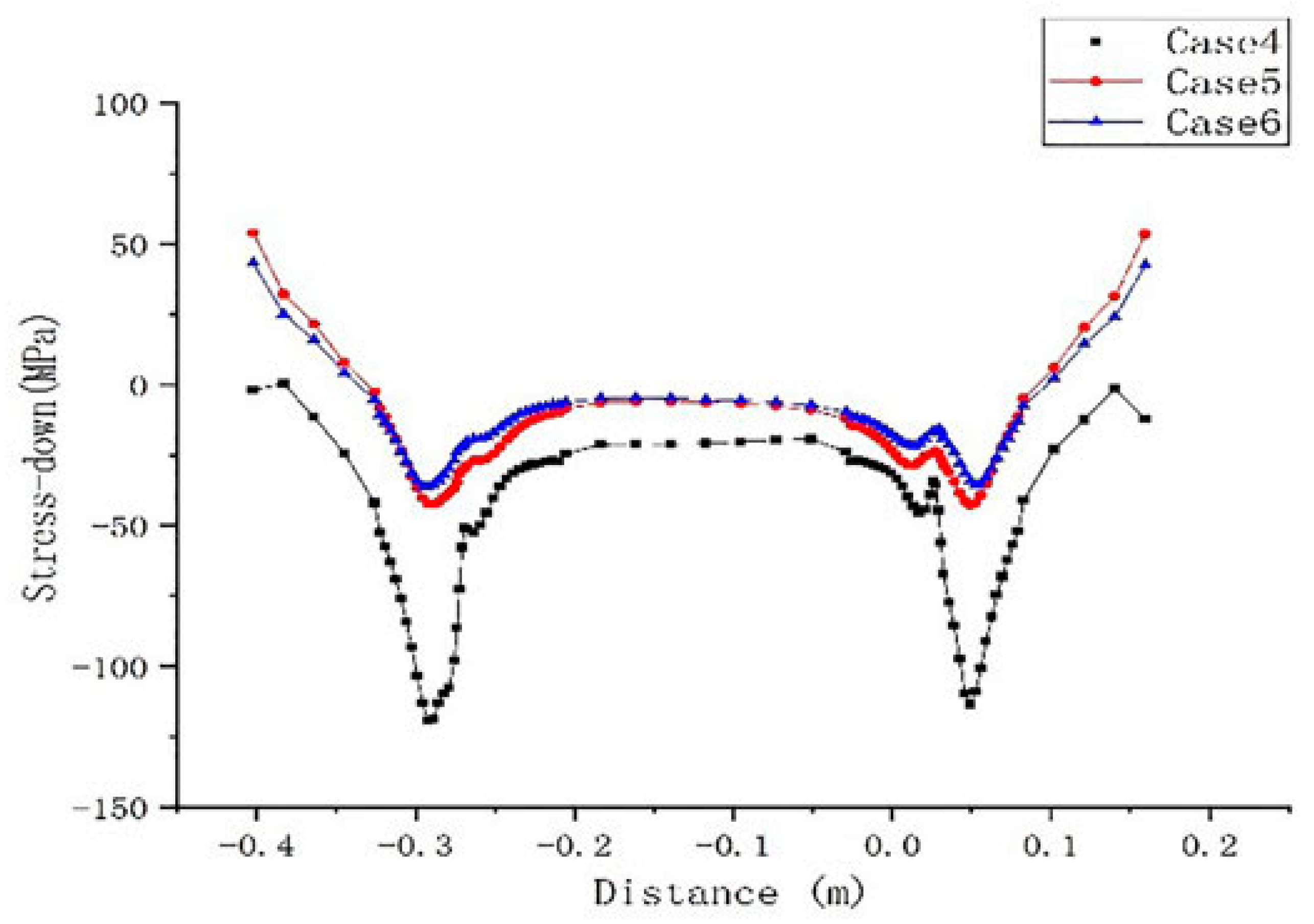
3.1. Effect of Welding Parameters on Modal Characteristics
3.2. Resonance Amplification Under Harmonic Excitation
3.3. Interaction Between Weld Bead Geometry and Heat Input
3.4. Engineering Relevance and Comparison with Fatigue-Oriented Studies
4. Conclusions
References
- Mardanshahi, A.; Sreekumar, A.; Yang, X.; Barman, S.K.; Chronopoulos, D. Sensing techniques for structural health monitoring: A state-of-the-art review on performance criteria and new-generation technologies. Sensors 2025, 25, 1424. [Google Scholar] [CrossRef] [PubMed]
- Singh, A.B.; Khandelwal, C.; Dangayach, G.S. Revolutionizing healthcare materials: Innovations in processing, advancements, and challenges for enhanced medical device integration and performance. Journal of Micromanufacturing 2024, 25165984241256234. [Google Scholar] [CrossRef]
- Chen, F.; Liang, H.; Li, S.; Yue, L.; Xu, P. Design of Domestic Chip Scheduling Architecture for Smart Grid Based on Edge Collaboration. 2025. [Google Scholar] [PubMed]
- Hassan, H.Z.; Saeed, N.M. Advancements and applications of lightweight structures: a comprehensive review. Discover Civil Engineering 2024, 1, 47. [Google Scholar] [CrossRef]
- Nycz, A., Lee, Y., Noakes, M., Ankit, D., Masuo, C., Simunovic, S., ... & Fancher, C.M. (2021). Effective residual stress prediction validated with neutron diffraction method for metal large-scale additive manufacturing. Materials & Design 2021, 205, 109751. [CrossRef]
- Tamer, A.; Muscarello, V.; Quaranta, G.; Masarati, P. Cabin layout optimization for vibration hazard reduction in helicopter emergency medical service. Aerospace 2020, 7, 59. [Google Scholar] [CrossRef]
- Gui, H.; Zong, W.; Fu, Y.; Wang, Z. Residual Unbalance Moment Suppression and Vibration Performance Improvement of Rotating Structures Based on Medical Devices. 2025. [Google Scholar] [CrossRef] [PubMed]
- Tsai, C.L., Kim, D.S. (2005). Understanding residual stress and distortion in welds: an overview. Processes and mechanisms of welding residual stress and distortion, 3-31.
- Feng, H. High-Efficiency Dual-Band 8-Port MIMO Antenna Array for Enhanced 5G Smartphone Communications. Journal of Artificial Intelligence and Information 2024, 1, 71–78. [Google Scholar]
- Rinaldi, M.; Valvano, S.; Tornabene, F.; Dimitri, R. Numerical Homogenization Approach for the Analysis of Honeycomb Sandwich Shell Structures. Computers, Materials & Continua 2025, 83. [Google Scholar] [CrossRef]
- Wu, C.; Chen, H.; Zhu, J.; Yao, Y. Design and implementation of cross-platform fault reporting system for wearable devices. 2025. [Google Scholar] [PubMed]
- El-Khoury, O.; Adeli, H. Recent advances on vibration control of structures under dynamic loading. Archives of Computational Methods in Engineering 2013, 20, 353–360. [Google Scholar] [CrossRef]
- Singh, G.; Vasudev, H. A review on smart welding systems: AI integration and sensor-based process optimization. Journal of Advanced Manufacturing Systems 2025, 1–30. [Google Scholar] [CrossRef]
- Yuan, M., Wang, B., Su, S., Qin, W. (2025). Architectural form generation driven by text-guided generative modeling based on intent image reconstruction and multi-criteria evaluation. Authorea Preprints.
- Tremarin, R.C.; Pravia, Z.M.C. Analysis of the influence of residual stress on fatigue life of welded joints. Latin American Journal of Solids and Structures 2020, 17, e262. [Google Scholar] [CrossRef]
- Chen, F.; Liang, H.; Yue, L.; Xu, P.; Li, S. Low-Power Acceleration Architecture Design of Domestic Smart Chips for AI Loads. 2025. [Google Scholar] [PubMed]
- Sheu, J.B.; Gao, X.Q. Alliance or no alliance—Bargaining power in competing reverse supply chains. European Journal of Operational Research 2014, 233, 313–325. [Google Scholar] [CrossRef]
- Kadayath Bijukumar, V.; Andy, M.; Perukkavungal Kollerithodiyil, S.B.; Shaji, K.P. A critical overview on fracture mechanical characterization on marine grade structural materials and its welds. Welding international 2024, 38, 335–346. [Google Scholar] [CrossRef]
- Wu, S.; Cao, J.; Su, X.; Tian, Q. (2025, March). Zero-Shot Knowledge Extraction with Hierarchical Attention and an Entity-Relationship Transformer. In 2025 5th International Conference on Sensors and Information Technology (pp. 356-360). IEEE.
- Vecchiato, L. Theoretical development and experimental validation of the Peak Stress Method for the fatigue design of steel welded structures. 2022. [Google Scholar]
- Salerno, G.; Bennett, C.; Sun, W.; Becker, A.; Palumbo, N.; Kelleher, J.; Zhang, S.Y. On the interaction between welding residual stresses: a numerical and experimental investigation. International Journal of Mechanical Sciences 2018, 144, 654–667. [Google Scholar] [CrossRef]
- Narumi, K., Qin, F., Liu, S., Cheng, H.Y., Gu, J., Kawahara, Y., ... & Yao, L. (2019, October). Self-healing UI: Mechanically and electrically self-healing materials for sensing and actuation interfaces. In Proceedings of the 32nd Annual ACM Symposium on User Interface Software and Technology (pp. 293-306).


Disclaimer/Publisher’s Note: The statements, opinions and data contained in all publications are solely those of the individual author(s) and contributor(s) and not of MDPI and/or the editor(s). MDPI and/or the editor(s) disclaim responsibility for any injury to people or property resulting from any ideas, methods, instructions or products referred to in the content. |
© 2026 by the authors. Licensee MDPI, Basel, Switzerland. This article is an open access article distributed under the terms and conditions of the Creative Commons Attribution (CC BY) license (http://creativecommons.org/licenses/by/4.0/).