Results and Discussion
1.Relationships between the electron mass and the square of the magnetic flux quantum and the Bohr radius and the vacuum permittivity.
The magnetic flux quantum
[
1] is defined according to the following
Where
is the elementary charge of an electron and
is Planck’s constant. The electrostatic force acting on the electron at the Bohr level, is
Where
is the Bohr radius,
is the vacuum permittivity,
is the electron mass, and
is the electron velocity at the Bohr radius. The electron’s angular momentum, is
By substituting Eq. (3) in Eq. (1) (the squared term)
, we obtain
We can then rewrite Eq. (4) as follows:
By multiplying both the numerator and denominator of Eq. (5) by
, we have
According to Eq. (2), the expression in parentheses in Eq. (6) should equal unity; thus, we obtain
We can then substitute the following values published by the National Institute of Standards and Technology Committee on Data for Science and Technology in 2018 (NIST CODATA 2018) [
2] in Eq. (7) (SI units):
These substitutions give us the following relationship:
We can consider the multiplication of the vacuum permittivity and the square of the magnetic flux in the denominator of Eq. (8) and multiply their units:
We consider this reduction further in the next section.
2. Analysis of Equation (8).
- a.
After reducing the units in the denominator of Eq. (8), we obtained units corresponding to those in the numerator in Eq. (9). The result in Eq. (9) implies two options: Either has units of mass or units of length or, vice versa, has units of mass or has units of length .
- b.
The orders of magnitude in Eq. (8) indicate the scale of magnitude of these parameters. The Bohr radius scale is , and the vacuum permittivity scale is . The scale of the electron mass is , and the scale of the square of the magnetic flux quantum is . From this consideration and the two options presented in (a), it is clearly nonsensical for to have units of mass or to have units of length. No particle mass on the scale of or a length on the scale of exist in the atom.
- c.
From these considerations, we can conclude with a high degree of certainty that the Bohr radius and the vacuum permittivity are the same entity:
The electron mass and square of magnetic flux quantum are the same entity:
- d.
The last conclusion is not as strange as it may seem, as the square of the magnetic flux quantum appears in the context of magnetic energy in a current loop and according to Albert Einstein's special theory of relativity, energy is equivalent to mass.
* See also section #8 further on for the meaning of the vacuum permittivity !
3. Using the conclusions from
Section 2
(c) and 2(d) for the electron mass and vacuum permittivity.
By rearranging Eq. (7) for the electron mass calculation and substituting the values of
from NIST CODATA 2018, we obtain
This value compares well with the NIST value of
Another expression for
from Eq. (3) with the electron Compton wavelength
, and
, is
Where
is the speed of light in vacuum and
is the fine structure constant.
Here, we can rearrange Eq. (12) as
and substitute this term in Eq. (13) for another expression of
:
To calculate the value of the vacuum permittivity
, we rewrite Eq. (7) and substitute the values of
from NIST CODATA 2018, which yields
This value compares well with NIST value of 4. Using the conclusions from Section 2(c) and 2(d) for elementary charge and the Planck constant .
In this subsection, we derive a new expression for the elementary charge with from Eq. (12), the fine structure constant and the speed of light .
Substitute
in Eq. (2) with
to obtain an expression of
:
In Eq. (16), we substitute the values of
, the speed of light in vacuum
, and the fine structure constant
from NIST CODATA 2018:
and , this yields
This value compares well with the NIST CODATA value of .
We can substitute
(where
is the vacuum permeability) in Eq.(16) to obtain another expression for the elementary charge
:
Substituting the expression of
from Eq. (16) in Eq. (1) for a new
expression
Applying the values of from NIST CODATA 2018 in Eq. (19), gives
This value compares well with the NIST value
Moreover, we obtain another expression by utilizing
:
5. Radius of the proton (hydrogen nucleus).
For further development, it is necessary to find the proton's radius. According to the Physicist Arthur Beiser on the nucleus motion in his book 'Concepts of Modern Physics' [
3], the nucleus of a hydrogen atom (proton) revolves around the center of mass shared with the electron. The rotation of both the electron and nucleus arises from considerations of momentum conservation in an isolated system and is taken into account by a computational correction called the reduced mass of the electron. The notion of reduced mass played an important part in the discovery of the deuterium and also corrects a small but definite discrepancy between the predicted wavelengths of the spectral lines of hydrogen and the measured ones. The center of mass is very close to the axis of the nucleus because of its larger mass; thus, we can assume that the trajectory depicted by the nucleus while revolving around the center of mass lies at a distance almost equivalent to the nucleus radius. We will denote this radius as the proton radius, validated in the final result. As a side note, this radius is not equivalent to the proton's charge radius; however, there is a connection between these two parameters, which will be clarified in Section 5b. To find the proton's radius, we will use nown formulas generated for the natural units of the Stoney [
4] and Planck [
5] scales
. We will start with the Stoney scale, from which we move to the Planck scale. The Stoney length
in natural units is
Here
is the gravitational constant. The Stoney mass
in the natural units is
Or rewrite Eq. (22) for the gravitational constant
:
By substituting the relation
from the relation introduced by the Physicist Arnold Sommerfeld
[
6], in Eq. (23), we obtain
The orbital angular momentum of the proton at the trajectory around the center of mass should be expressed by the reduced Planck constant. The proton's velocity at this trajectory is denoted here as
. An initial estimation of the velocity
yields approximately one fifth of the speed of light in vacuum. It is necessary also to add a relativistic element
with
.
Where
is the proton mass,
is the ratio of
to
, and
is the proton radius. By substituting the expression of
from Eq. (25) in Eq. (24) and reducing the expression.
The
is similar to the fine structure constant
also known as the electromagnetic coupling constant, and it appears in the electron's velocity expression at the Bohr radius as
. We can divide Eq. (21) by Eq. (22) (
is reduced, the elementary charge
is partially reduced):
Then rearrange Eq. (27) to obtain an expression for
:
By setting the expressions in Eq. (28) and Eq. (26) equal to each other, here
Dividing both sides of Eq. (29) by
, multiply by
, reduce and rearrange, gives
Eq. (30) presents a similarity between the right and left flanks (mass component and length component). The expression is split into two parts on the right-hand side of the equation because it contains the solutions corresponding to actual experimental results in the final analysis. The following expressions from Eq. (30), are proposed for the Stoney units.
New expression of Stoney mass
:
New expression of Stoney length
:
Note that the
expression in Eq. (30), represents a dimensionless number, for instance, the number of charged particles in one Coulomb
, here
This number, as a multiplier, creates a quantity of charged particles (in our case, the number of protons contained within the Stoney mass, which corresponds to a quintillion protons) or, as a divisor, creates the smallest length (in our case, a contracted radius of the proton within the Stoney mass under internal attraction forces, which corresponds to a quintillionth of the proton radius that represents the Stoney length). This expression is displayed in the following equations as in Eq. (31) to indicate that this value is dimensionless. The gravitational constant with the
propsed Stoney units in Eq. (28), is
We can then set Eq. (23) and Eq. (32) equal to each other and substitute the square of the Stoney mass
in the denominator of Eq. (23), it yields
Multiplying both sides of Eq. (33) by
, reducing, and rearranging, gives
The expression of Eq. (34) shows the equivalence of , where the right-hand side (in brackets) contains the expression of the Planck constant with the proton parameters introduced in Eq. (25). This result confirms the choice of the proposed solutions for the Stoney units of mass and length from Eq. (30). Although this option was based on a logical consideration, there are additional combinations that could be chosen that yield incorrect results. We multiply the numerator and denominator of Eq. (32) by to obtain the
gravitational constant at Planck's scale:
Note: The difference between the Stoney and Planck units arises from the need to multiply Planck units by the square root of the fine structure constant , it gives
New expression of Planck mass
:
New expression of Planck length
:
By using the Planck mass in natural units and the new expression of Planck mass, we can derive the expression and value of
. The Planck mass defined by natural units, is
The new expression for the Planck mass from Eq. (35) is
Setting Eq. (36) and Eq. (37) as equal:
Then rearrange Eq. (38) to obtain an expression for
:
In Eq. (39), we substitute the values of and the following values from NIST CODATA 2018: and We obtain As a side note, the relationship of to nuclear research is through the strong coupling constant in QCD; .
This value compares well with the value obtained experimentally [
7], [
8],
Using the Planck length from natural units and the new expression for the Planck length, we can derive the expression and value of the proton radius
.
The new expression for the Planck length from Eq. (35), is
By setting the expressions in Eq. (40) and Eq. (41) as equal, we obtain
We then rearrange Eq. (42) for the proton radius
:
Substituting
and the values of
and
from NIST CODATA 2018 in Eq. (43), It yields
This value compares well with the value obtained experimentally
[9], explained next
:
- a.
-
The proton radius obtained in Eq. (43) complies with the experimental formulation that assumes a spherical nucleus with radius expressed by the Fermi equation for the nuclear radius : , where is from experimental results and is the atomic number. For Hydrogen and .
* The proton charge radius in the following paragraph is based on a proton inner stracture, presented further in section (12): "The three energy levels within the proton".
- b.
The proton charge radius represents the maximum distance from the proton axis that the electron or muon reaches in their penetration to the proton due to interactions with two UP quarks. This radius is :
Substituting the following in the expression for ; and
, yields:
. The proton's Compton wavelength from Eq. (25) is
Substituting the values of
and
in Eq. (44), it yields
This values compares well with the NIST value of
The last result shows that
combined with the proton radius
obtained from Eq. (43) and used in Eq. (44) is entirely consistent with the value of the proton's Compton wavelength
from NIST CODATA 2018, confirming the validity of our approach. To obtain the gravitational constant
, we utilize Eq. (32) and substitute the
from NIST CODATA 2018 and also
,
and
:
It yields Which compares well with the NIST CODATA value of
6. Radius of the neutron.
The ratio between the proton mass and neutron mass is the same as the ratio between the neutron Compton wavelength and proton Compton wavelength
. The values of
are substituted from the NIST CODATA 2018 in the following ratios:
This result indicates that the ratio is also appropriate for the ratio between the neutron and proton radii.
By substituting the values of
from NIST CODATA 2018 and the radius
from Eq. 43 in Eq. (46) for the neutron radius, we obtain
The proton and neutron are almost identical in size, and the
constant is found to be related to both radii. Consequently,
. It is validated by the neutron Compton wavelength
with
and
, as follows
Substituting the values of
and
in Eq. (47) for
, we obtain
This value matches well with the NIST CODATA value of
The result obtained for with the neutron radius given at Eq. (46) and substituting in Eq. (47) is consistent with the NIST CODATA 2018 value of the neutron Compton wavelength .
7. Additional expressions for the proton and neutron masses and radii.
We divide Eq. (3) (with
by Eq. (25) as follows:
By rearranging Eq. (48) and solving for the proton mass, we obtain
Substituting
from Eq. (12) in Eq. (49) yields the proton
:
Substituting
and
in Eq. (48), yields
Substitute
and
from Eq. (12) in Eq. (51) for
, it gives
Substituting the values
from NIST CODATA in Eq. (52) for
, it gives
This value matches well with the NIST value of
Rearrange Eq. (47) to obtain the orbital angular momentum of the neutron:
We then divide Eq. (3) by Eq
. (54), as follows:
Rearranging Eq. (55) for the neutron mass, gives
Substituting
from Eq. (12) in Eq. (56) yields an expression for
mass:
Substituting
from Eq. (13) and the neutron
from Eq. (47) in Eq. (55), gives
We substitute
and
from Eq. (12) in Eq. (58) for another expression of
, it gives
Now, substitue the values of
from NIST CODATA 2018 in Eq. (59), it gives
This value compares well with the NIST value .
The ratio of proton mass to electron mass is obtained from Eq. (49). After rearranging and substituting the NIST CODATA 2018 values for
,
and
and
, it gives
This ratio can also be obtained from Eq. (51). This value matches well with the NIST ratio of The ratio of neutron mass to electron mass is obtained from Eq. (56). After
rearranging and substituting the NIST CODATA 2018 values for
,
and
and
, it gives
This ratio can also be obtained from Eq. (58). This value matches well with the NIST ratio of8. The meaning of the permittivity of vacuum from a different aspect.
The electron in the Hydrogen atom revolves around the center of mass shared with the proton as was described in section #5. Let's assume now that the virtual photons, responsible for the force acting between them, collide with the virtual shell that represents the supposed locations of the electron at the Bohr level (The absorption and emission process). What if it is possible to describe the virtual photons' rapid motion within the 'shell space' in terms of molecules in an ideal gas?
The centripetal force
that holds the electron at Bohr radius
level
[10] , is
And the electric force
that holds the electron at Bohr radius
level, is
The condition for a dynamically stable at Bohr radius
level, is
Multiplying both sides of Eq. (65) by
, it gives
We obtain at the left side of Eq. (66) the kinetic energy
of the electron at
level, as follows
Where
is the electron mass, and
is the electron velocity at
level.
The potential energy of the electron that equals to the kinetic energy
at the right side of Eq. (66), is
Where
the elementary charge of the electron, and
is the vcuum permittivity constant.
The average kinetic energy
of the virtual photons exchanged between the electron and the proton that support the movement of the electron in its trajectory at the Bohr level (as an approximation of molecules in motion in Ideal gas), is
Where
is the volume contained within the spherical shell, and
is the pressure that the virtual photons impose on the spherical shell.
Substituting
from Eq. (67) in Eq. (69), as flollows
The pressure
is defined as the force acting on a given surface. If the spherical shell surface is
, and
is the Bohr radius, the pressure is
Where
is the total force imposed by the virtual photons on the inner surface of the spherical shell. Substituting Eq. (71) into Eq. (70) and rearrange, gives
The same mathematical development can be applied for the potential energy, as
Substituting Eq. (68) ( from the equality of
at Eq. (66)) and Eq. (71) in Eq. (73) and rearrange , it gives
Setting Eq. (74) as equal to Eq. (72) with reducing the integer 2 from both sides, gives
Set the expression in parentheses at the left side of Eq. (75), as equal to unity
And then substituting the last expression obtained in Eq. (76) for
in the right side of Eq. (75) ,we obtain the electrostatic force acting on the electron at the Bohr level from Eq. (2) at section #1, as follows
Note: Eq. (76) shows the relation between the Bohr radius and the vcuum permittivity constant that corresponds with the conclussion from the analysis of Equation (8) at section #2.
9. Developing the new expressions proposed for the Stoney mass and length from a different aspect.
Using the term of
from Eq. (1) and substitute the terms of
(with
) from Eq. (3) and
from Eq. (25) in it, as follows
Substituting
from Eq.
(7) in Eq. (78), and reducing and rearranging, it gives
Rearranging Eq. (79)
, as follows
Dividing both sides of Eq. (80) by the square of the Stoney mass term
(proposed at Eq. (30)), after reducing and rearrenging, it gives
We obtain in Eq. (81) the equality of the Gravitational Constant acording to Eq. (33).
10. The squared values of the magnetic flux quantum used in the wave function, yield solutions which depict the flow pattern of the magnetic flux surrounding electrons at a given energy level.
Using the Normalized Wave Function of the 'Hydrogen-like atom' equation [
11], here
Substituting
from Eq. (7) in Eq. (82) and rearranging, it gives
Now writing the third expression in parentheses at Eq.
(83), as follows
Using it as an example that provides the value of the derivative
at the electron wave function of the 'Hydrogen-like Atom' equation by rearranging it, as
11. The quarks model from a different and larger point of view.
The quark model was independently proposed by physicists Murray Gell-mann and George Zweig in 1964 [
13,
14].
We'll use the magnetic flux quantum
from Eq. (1) that is defined as follows:
The orbital angular momentum of the proton mass
, the proton radius
and the proton velocity
, is from Eq. (25):
;
And the square of the magnetic flux quantum, from Eq. (7):
The elementary charge of a proton
with the proton’s angular momentum
using the similarity of the electron from Eq. (4), as follow
Substituting the square of the magnetic flux quantum
in it, as follows
After reducing, with using
from Eq. (76), it gives
The general angular momentum in the atomic domain is given here, as follows
; For the proton the quantum angular momentum
, is
Substituting Eq. (89) in Eq. (88) and divideing both flanks by
, with the squared elementary charge marked as
, as follows
And by using the following expressions fron Eq. (25):
And substitute them in Eq. (90) , yields after reducing and rearrange the expression of the energy level of a particle within a proton that will be
marked temporarily as
:
The equetion in the form of Eq. (91), suggest from obsevation, that the velocity
and the radius
are components of energy levels set by a principal number
n (
n is the level number), with a particle of a third of the proton mass
. Lets assume that there are energy levels within the proton with a quark that has a third of the proton mass (just keep in mind, that this mass is associated with the magnitude of the square of the magnetic flux quantum). This assumption is expressed by a quark's angular momentum marked as
within the proton:
Quark mass: ;
Quark velocity: ;
Quarks energy level: (within the proton).
To check it, multiply the right flank of Eq. (91) by , with
using
, as follows
Reducing on both sides of Eq. (93), transposing
to right side, and rearange, it yields
Now multiply the right-hand side of the Eq. (94), by
, as follows
After rearange Eq. (95), we receive the general equation for the quark's electrical charge marked now as
, as follows
Then the quark’s angular momentum
is expressed from Eq. (96) in the parentheses, as follows
And the quarks electrical charge with the quark’s angular momentum
, as follows
Substitute
from Eq. (97) in the right flank of Eq.(91), reducing and rearange, it gives the general equation of the quark's energy levels marked now as
, as follows
Or
with substituting the quark’s angular momentum
in Eq. (99), as follows
So, let's now imagine the proton’s inner structure with the energy levels, at n=1,2,3.
The first level, n = 1 is the outer orbital that creates the surface of the proton.
Substituting
;
;
in Eq. (97), it gives
Substitute this result in Eq. (98) with using Eq. (88), yields the quark's electrical charge
at the first energy level:
Or, after taking the square root, we receive:
We can conclude that the quark can have one-third of the elementary charge while
being positioned on the first orbital level within the proton.
Note: The quark should have an orbital angular momentum as from the linear
relationship presented at Eq. (1) (), that could be interpreted as a fractional charge equals a fractional angular momentum (or vice versa)!
The second level, n = 2 is the middle orbital in the proton or the neutron.
Substituting
;
;
in Eq. (97), yields the quark’s orbital angular momentum for the second level, it gives
Substitute this result in Eq. (98) with using Eq. (88), yields the quark's electrical charge at the second level:
Or, after taking the square root, we receive
We can conclude that the quark can have two-thirds of the elementary charge while being positioned on the second orbital level.
The third level, n = 3 is the most inner orbital in the proton or neutron.
Substituting
;
;
in Eq. (97), yields the orbital angular momentum of a particle at the third level:
Substituting this result in Eq. (98) with using Eq. (88), yields the electrical charge of a particle at the third level (like in Pion Exchange interaction between protons and neutrons, see the significance of the third level further on).
Or, after taking the square root, we receive:
We can conclude that a particle can have a full elementary charge while being positioned on the third level, which is the innermost level within the proton or the neutron.
- a.
The structure of the proton according to this model, is: two Up quarks of at the second level, and one Down quark of at the first level, which forms the proton's elementary charge of .
- b.
The structure of the neutron according to this model, is: one Up quark of at the second level, and two Down quarks of at the first level, which forms the neutron's neutral charge.
12. The significance of Level n=3 will be explained on the next topic! The three energy levels within the proton.
let's imagine the proton’s inner energy levels structure now, with n=1,2,3.
Note: in the following calculations, I am using the following data values from NIST CODATA 2018 and the previous theory results from Eq. (39) and Eq. (43): ;; ;;.
At the first level, n = 1, is the outer orbital that creates the proton's surface .
The value of the quark’s angular momentum
, using the result from Eq. (101), is:
The quark's energy level
at the first level
n = 1, with substituting the result of the quark’s angular momentum
from Eq. (110) in , it yields
At the second level, n = 2, is the middle orbital in the proton.
The value of the quark’s angular momentum
, using the result from Eq. (104), is
The energy level
at the second level
n = 2, with substituting the result of the quark’s angular momentum
from Eq. (112) in , it yields
At the third level, n = 3 is the most inner orbital in the proton.
The value of a particle's angular momentum
, using the result from Eq. (107), is:
The energy level at the third level n = 3, with substituting of the result of the
angular momentum
from Eq. (114) in, it yields
* The significance of the third Level:
The proton, the netron and all the baryons consist of two energy levels on which the quarks are orbiting . The third energy level is equivalent to ~ 80 [Gev] ; It plays a major role at decaying process through the weak force while it hosts charged mesons for split seconds which are emitted out through a boson or that acquier the level's energy ~ 80 [Gev]. The third level also complys with the requirement for the particle to be a carrier of a full electrical charge while orbiting on it. The glouns carries the theforce acting between the orbiting quarks at the three energy levels. The electron is a bound state composition of a meson and an electron neutrino (a hint of this is demonstrated in the process of an electron captured by a proton, which is described in section (d) further on. The positron is a bound state composition of a meson and an electron anti- neutrino , which is described in section (e) further on.
Note: The bound state of the meson and an electron neutrino , and a bound state of a meson and an electron anti - neutrino , is an intrinsic event in a neutron or a proton that occurs prior to emission as an electron or a positron through a or bosons.
As a generalization of this topic: The baryons besides the proton and the neutron in an excited state can have different mesons besides the Pi meson that reaches the third level of the relevant baryon in the course of inner binding configuration changes, and while these mesons are emitted out along with a photon as a released kinetic energy ~ 80 [Gev] from the third level, and they jointly form a boson or a boson.
* The weak force decay throughandBosons mechanism.
The neutron excited state: While exchanging pions within the nucleous, the neutron absorbs a neutral meason that changes its inner binding energy configuration by a new generated meson (see the schema below) that reaches the third orbital level in a momentarily status which creats an excited neutron with a neutral charge and spin. The meson doesn't radiate while orbiting at the third level and therefore the energy level ~ 80 [Gev] releted to the third level is unnoticeable! The all process of the neutron decaying to a proton is described in the following schemas. Please notice that in addition to the quark's fractional spin and electrical chrage, it has a fractional orbital angular momentum (per energy level) presented in the following schemas.


The proton excited state: While exchanging pions within the nucleolus the proton absorbs a neutral meson that changes its inner binding energy configuration by a new generated meson (see the schema below) that reaches the third orbital level in a momentarily status that creats an excited proton with a charge and spin. The meson doesn't radiate while orbiting at the third level and therefore the energy level ~ 80 [Gev] releted to the third level is unnoticeable. The proton decaying into a neutron in a schema as follows:
- a.
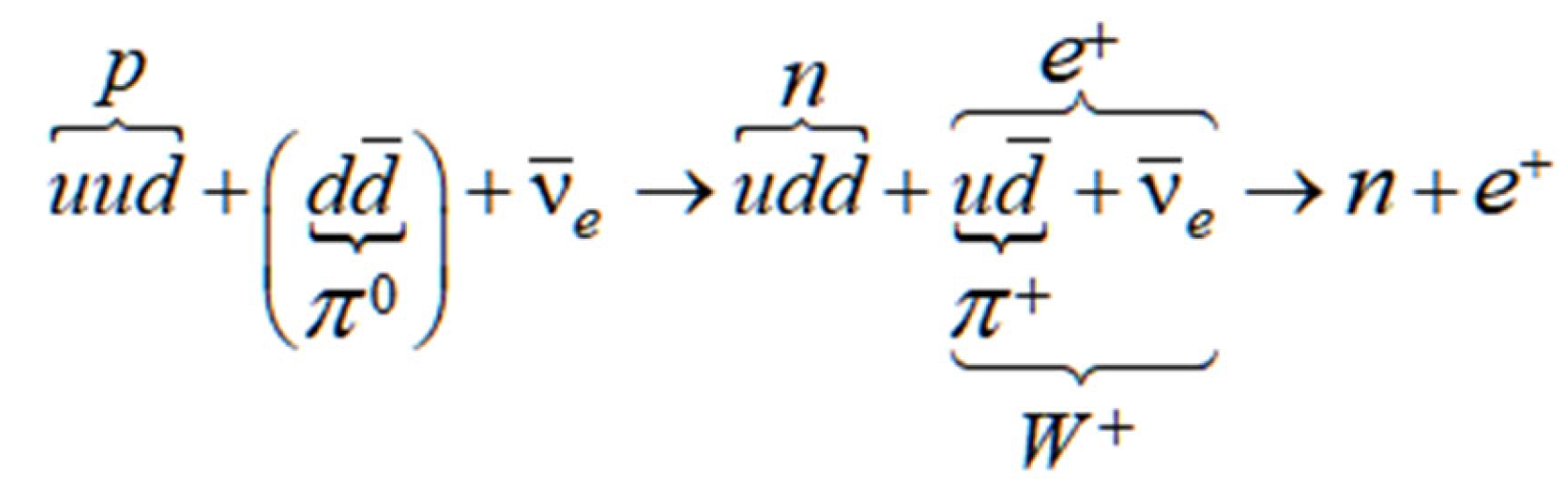
Beta minus decay:
A neutron, moving free in space (in other words, not in a nucleus) is unstable and decays into a proton, an electron, and an electron antineutrino:
- b.
Beta Plus decay :
A proton in a nucleus is converted into a neutron , a positron and a neutrino:
c.
- d.
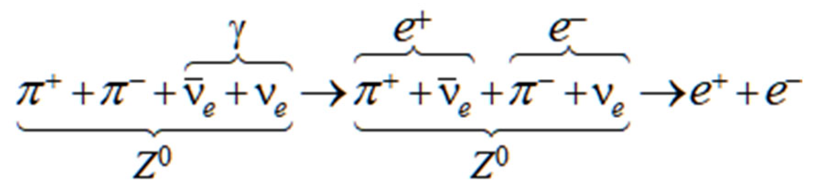
The decay of the boson:
boson is a bound state composition of a
and a
mesons and an electron anti-neutrino and an electron neutrino:
- e.
The protons' electron capture decay:
The protons can transform into neutrons through the process of electron capture (also known as inverse beta decay:
- f.
The neutron's positron capture (theoretically):
The neutron can transform into proton through the process :
- g.
The inverse beta decay:
At this decay process an exchange of a
pion
must take place. The
pion is absorbed within the proton and change the inner binding configuration to generate a
pion at the
third level which will creat a bound composition with the
(anti-neutrino) to form the emitted positron
:
Conclusions
- a.
The conclusions from Eq. (85) for the electron wave function of 'Hydrogen like Atom' that it is mainly a function of the changing value of the square of the magnetic flux quantum and the number of electrons at the relevant level (Please notice that the number of electrons in a neutral atom is equal to the number of protons in the nucleus of the atom presented as the atomic number
- b.
The electron wave function in a 'Hydrogen-like atom' depends on the radius of the atomic level expressed by several Bohr radii, and since the Bohr radius is a function of the square of the magnetic flux quantum , the electron wave function describes the magnitude of the flow pattern of the magnetic flux that surrounds the electrons at the energy levels in the atom.
- c.
The mass of the electron and other subatomic particles is related to the magnitude of the square of the magnetic flux quantum which makes up the particles. This relationship results in a novel expression of universal constants. The formalism developed in this paper yields the radii of the proton and the neutron from theory. The Gravitational constant is identified based on Newton's law of universal gravitation. The new formula for the Gravitational constant developed in thispaper contains elements from the atomic domain (proton's mass and radius) presented by the new proposed Stoney and Planck units, which represent the quantum reality environment; in this way they demonstrate the integration of the quantum and gravity levels.
- d.
I raise here (as an educated guess) a possibility from obserbing the equations obtained in this article, like for the elementary electric charge in Eq. (16) and Planck's constant in Eq.(19), and especially in the equation for the mass of the electron at Eq. (14), that the product(
) that appears in them and in some other equations, describes the size of the electron rest radius
- e.
The proton, the netron and all the baryons consist of two energy levels on which the quarks are orbiting . The third energy level is equivalent to ~ 80 [Gev] ; It plays a major role at decaying process through the weak force while it hosts charged mesons for split seconds which are emitted out through a boson or that acquier the level's energy ~ 80 [Gev].