Submitted:
22 December 2025
Posted:
23 December 2025
You are already at the latest version
Abstract
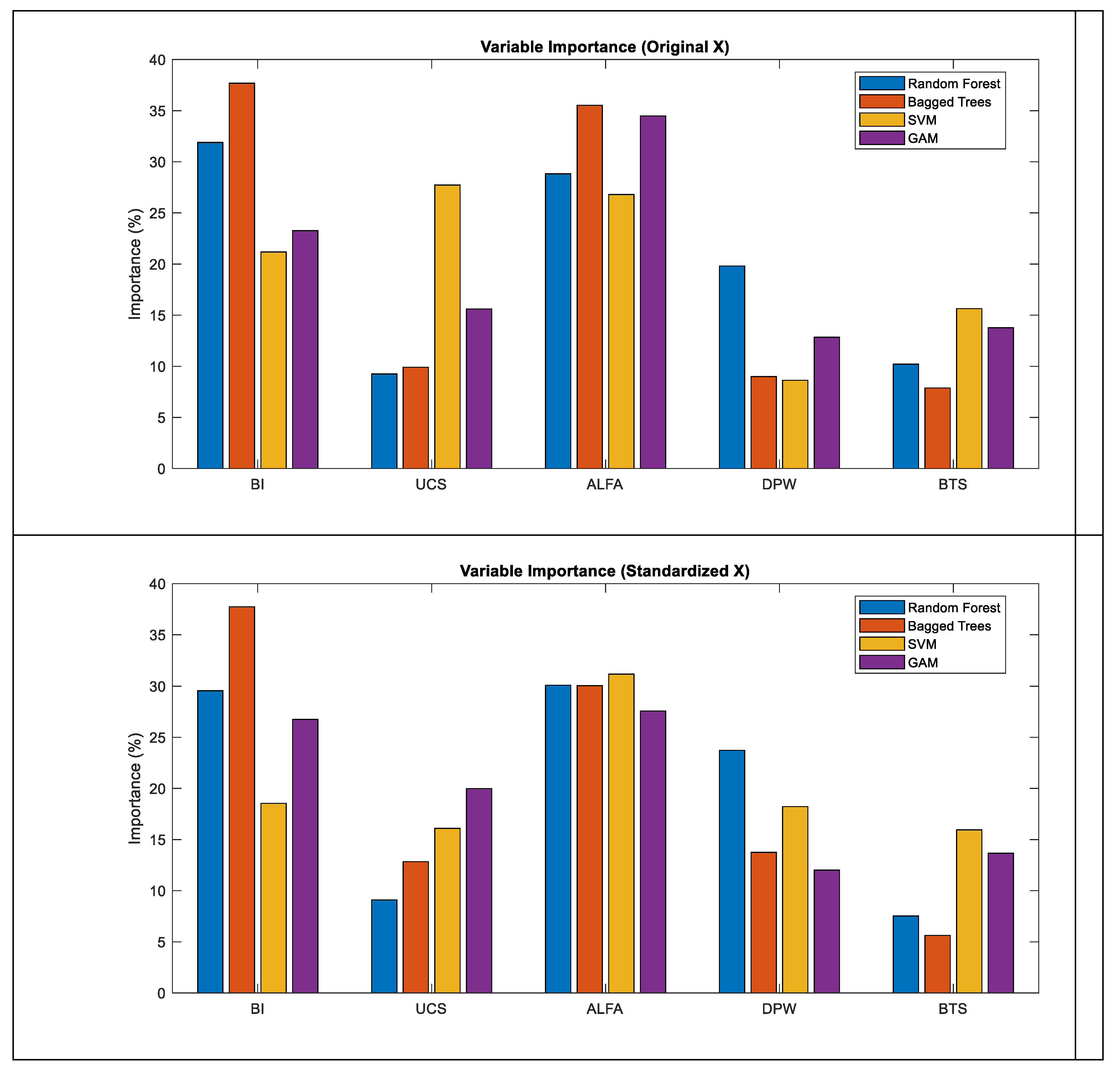
In this study, both linear and nonlinear parametric models (M1–M6) and machine learning (ML)–based approaches were evaluated for the reliable and interpretable prediction of tunnel boring machine (TBM) penetration rate (ROP). The analyses incorporated rock hardness index (BI), uniaxial compressive strength (UCS), joint angle (α), excavation depth (DPW), and BTS as input variables. Parametric model coefficients were optimized using the Differential Evolution (DE) algorithm, and variable effects were examined via Jacobian-based elasticity analysis under both original and standardized data scenarios. Parametric results indicate that the proposed M6 model outperforms existing literature correlations in terms of prediction accuracy and represents variable contributions in a more balanced and physically meaningful manner. While the dominant influence of BI and UCS on ROP is preserved across all models, interaction terms allow the indirect contributions of variables such as DPW and BTS to be captured more clearly. Model performance systematically improves when moving from linear to nonlinear and interaction-inclusive structures, with R² increasing from 0.62 for M1 to 0.69 for M6. Machine learning–based variable importance analyses largely corroborate the parametric findings, highlighting BI and α in tree-based methods, and UCS and α in SVM and GAM models. Notably, the GAM model exhibited the highest predictive performance under both data scenarios. Overall, the combined use of parametric and ML approaches provides a robust hybrid framework for accurate and interpretable prediction of TBM penetration rates.
