Submitted:
17 December 2025
Posted:
18 December 2025
You are already at the latest version
Abstract
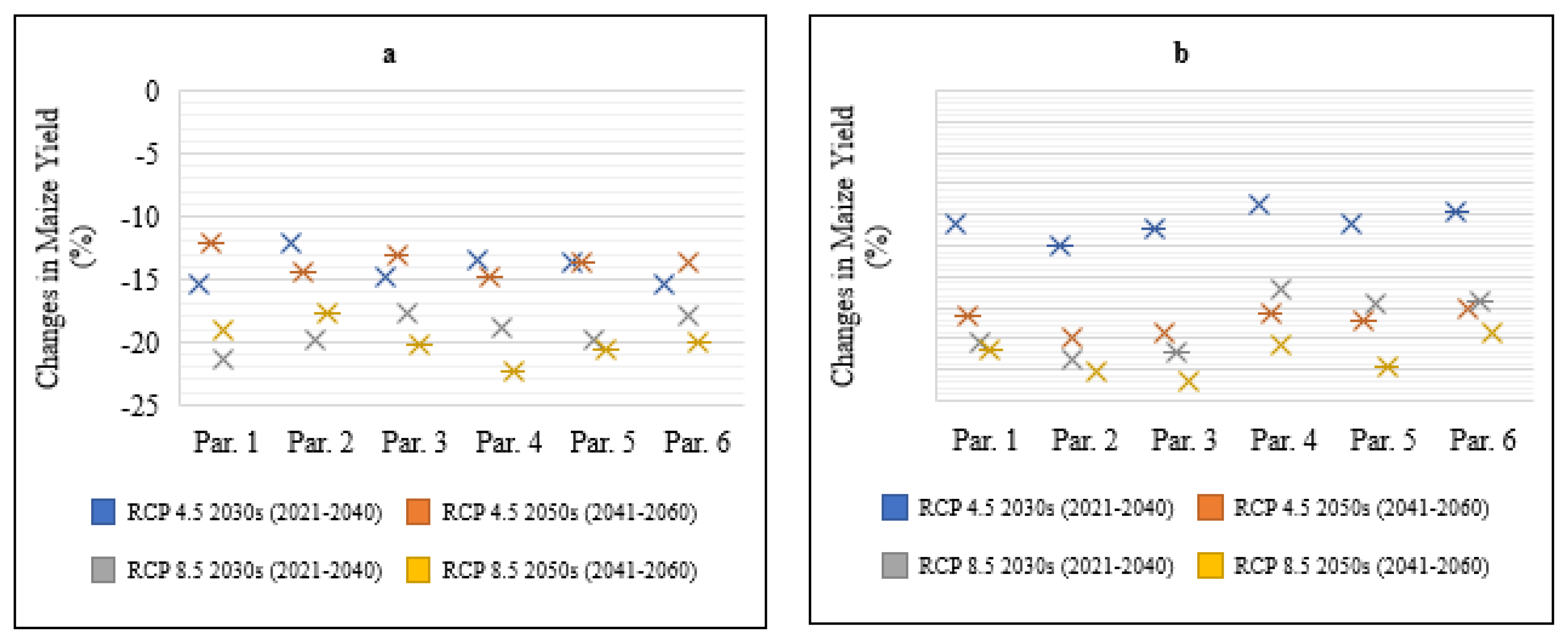
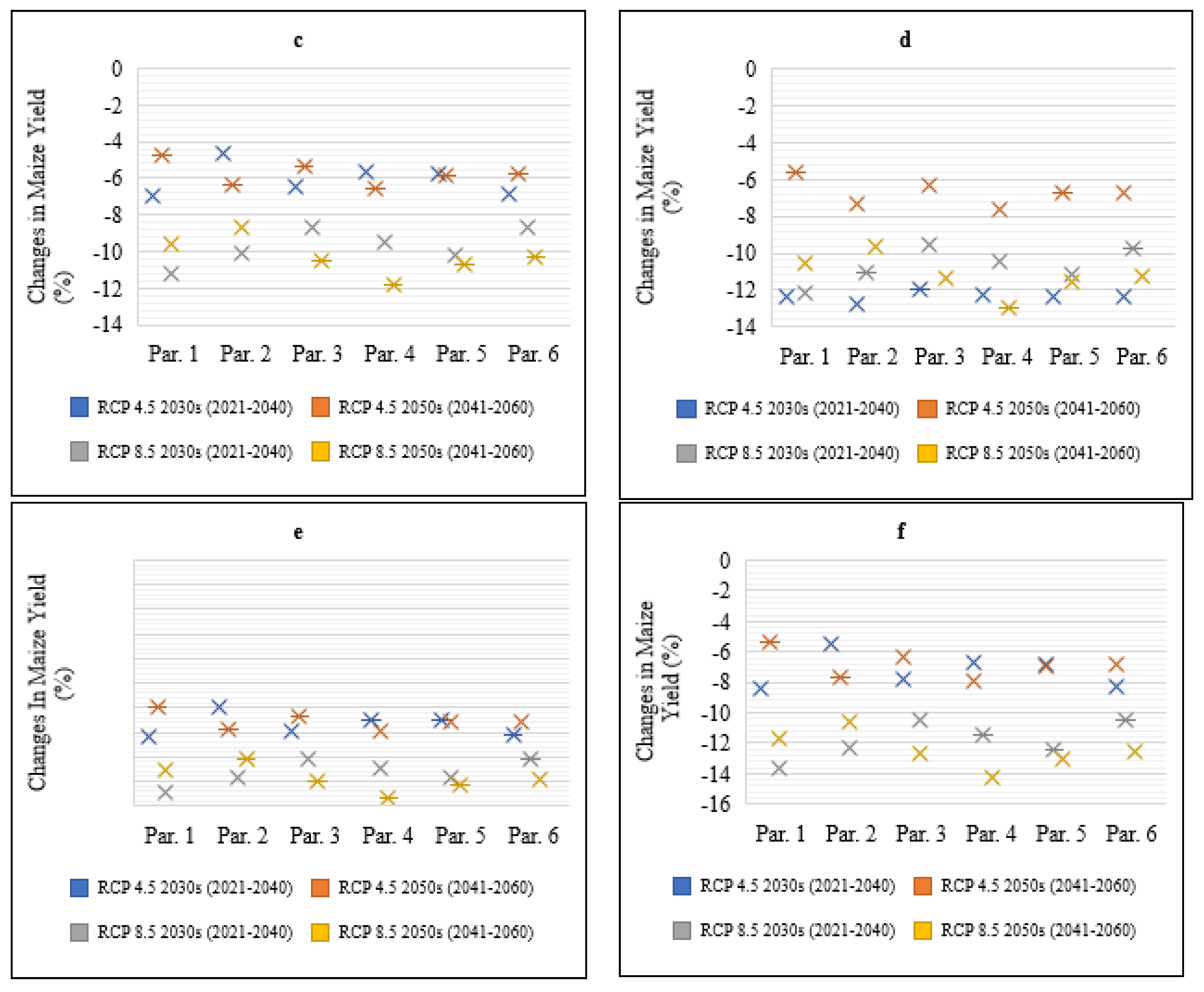
Climate change poses increasing risks to global food security, with maize production in vulnerable regions such as Nakuru County, Kenya, and Northwest China expected to be significantly affected. This study assessed the impacts of future climate conditions on maize growth and yield in the 2030s (2021–2040) and 2050s (2041–2060) under RCP 4.5 and RCP 8.5, relative to a 1986–2005 baseline. The CERES-Maize model was used to simulate the effects of projected changes in temperature, precipitation, and solar radiation, and to evaluate the effectiveness of key adaptation strategies. Results showed that climate change is likely to shorten maize growing durations by up to 34 days in Nakuru County and 38 days in Northwest China, leading to yield reductions of 2.7–26.5% and 4.6–22.4%, respectively, with stronger impacts in the 2050s and under RCP 8.5. Simulations further demonstrated that adaptation measures—including adjusting planting dates, applying appropriate irrigation, and adopting improved cultivars—could increase maize yields by 20.7–38.6% in Nakuru and 17.6–28.6% in Northwest China, depending on the scenario. These findings indicate that integrating multiple adaptation strategies can substantially reduce climate-induced yield losses, emphasizing the need for investment in irrigation infrastructure, climate services, and cultivar improvement to safeguard future maize production.
