Submitted:
16 December 2025
Posted:
17 December 2025
You are already at the latest version
Abstract
Keywords:
1. Introduction
2. Problem Formulation
3. Methodology
3.1. Ellipsoid Modeling of Structural Uncertain Parameters
3.2. Load Identification Based on Ellipsoid Model
3.3. Identification of Load Median by Using Shape Functions
4. Numerical Example and Discussion
4.1. Example Setup
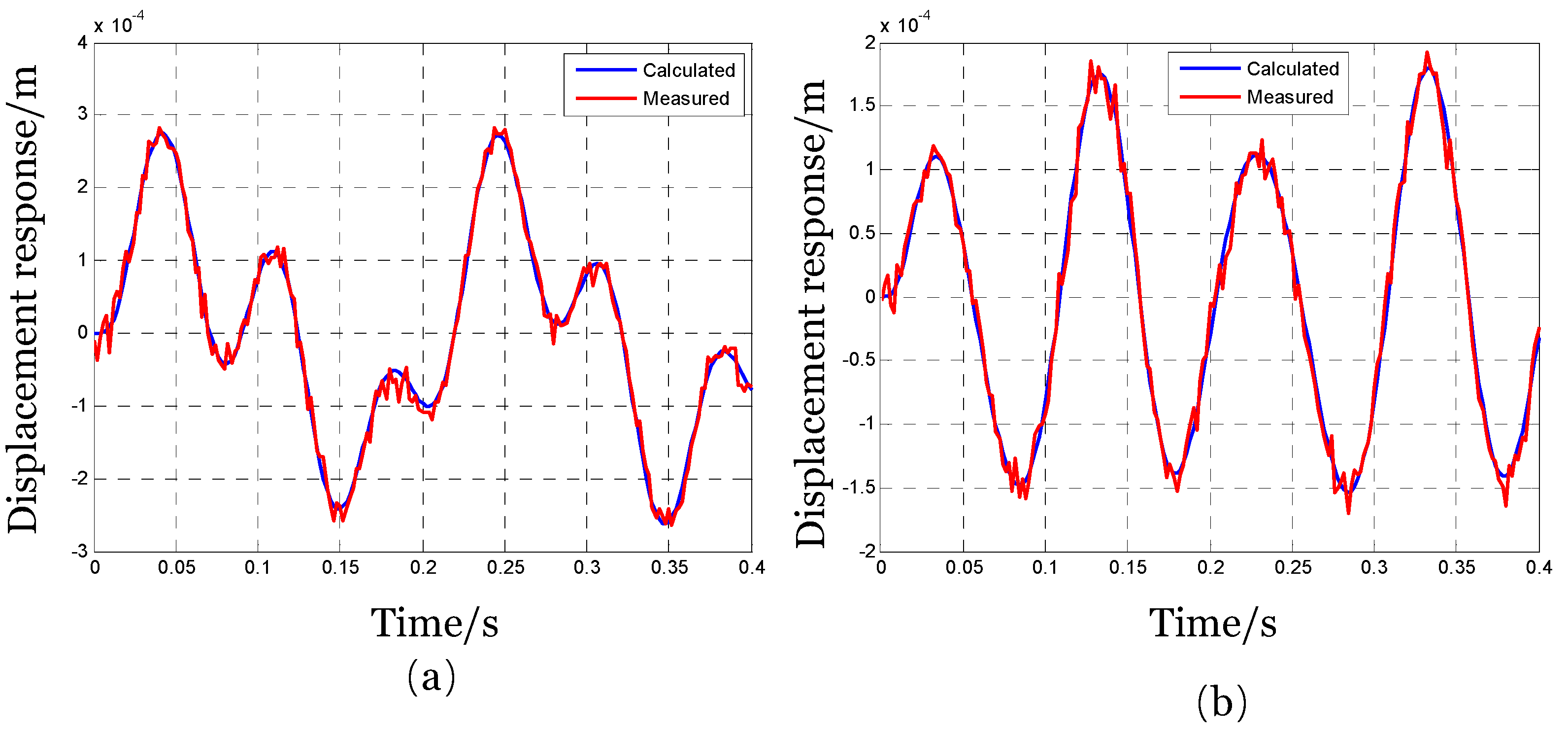
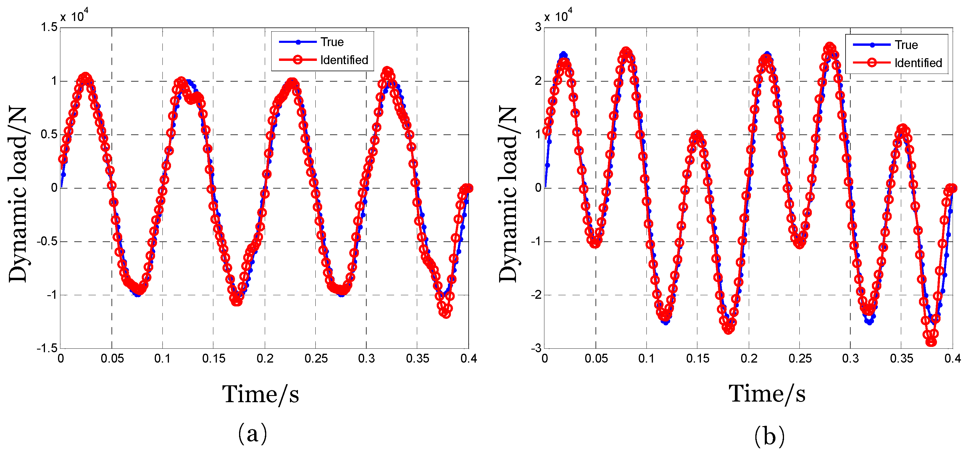
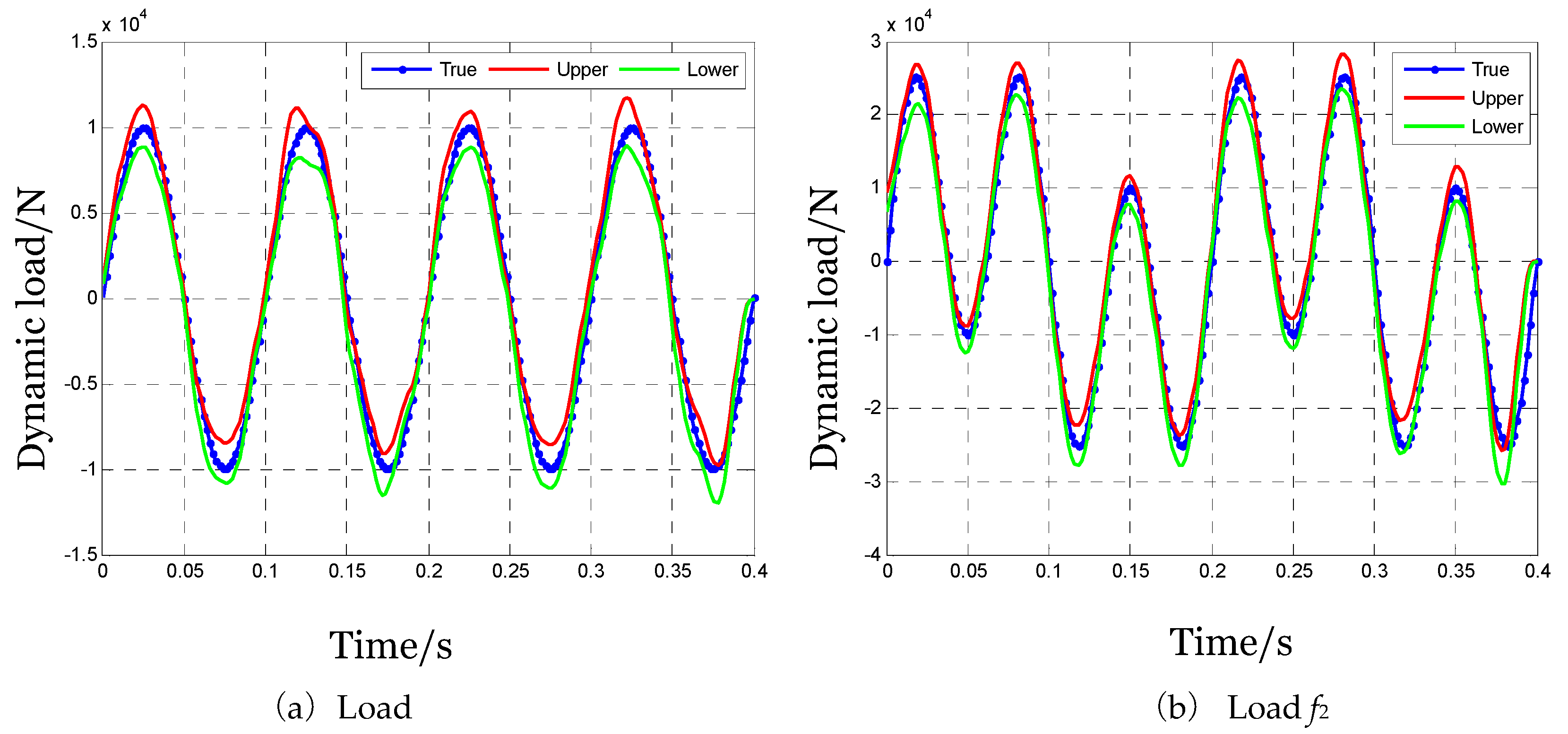
4.2. Load Identification Results
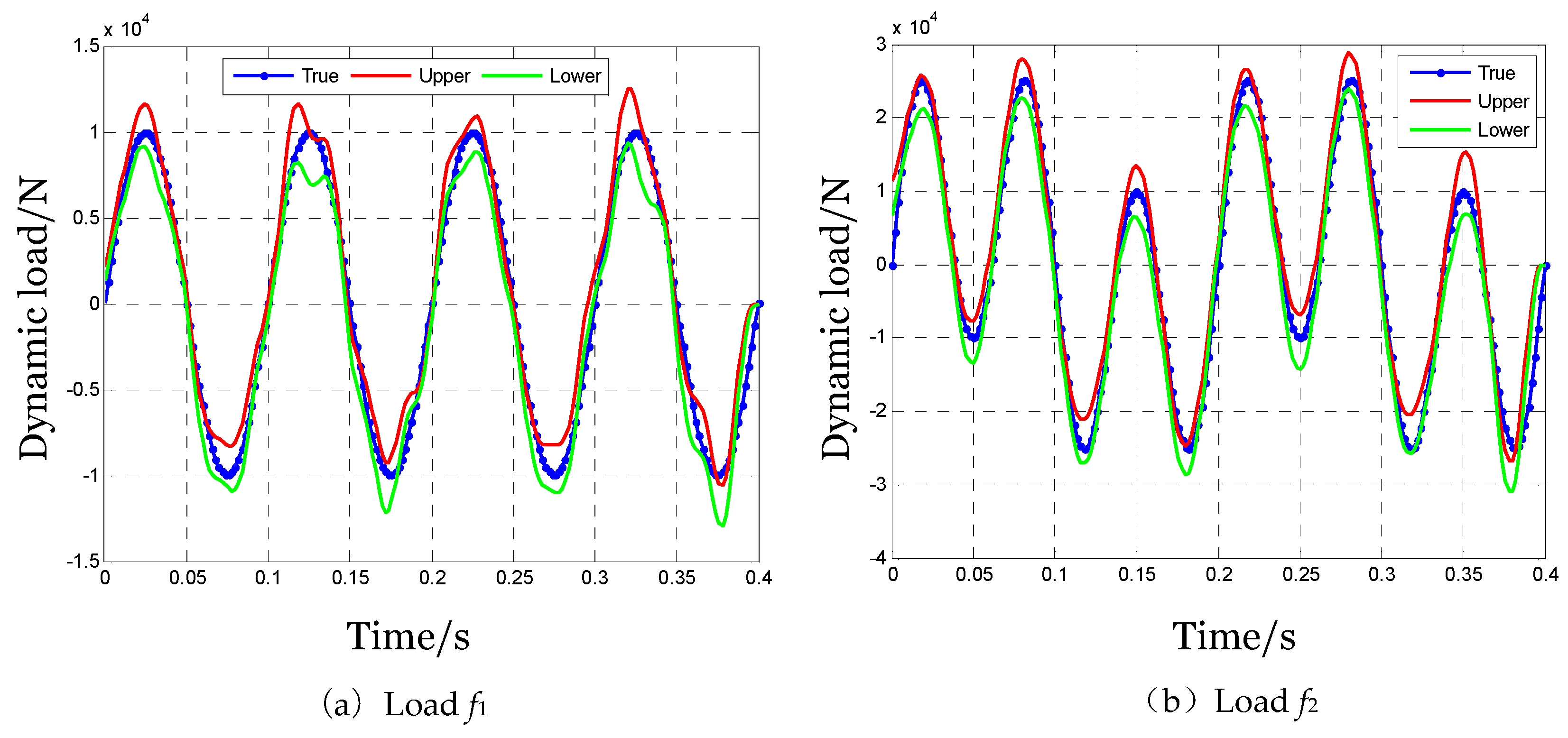
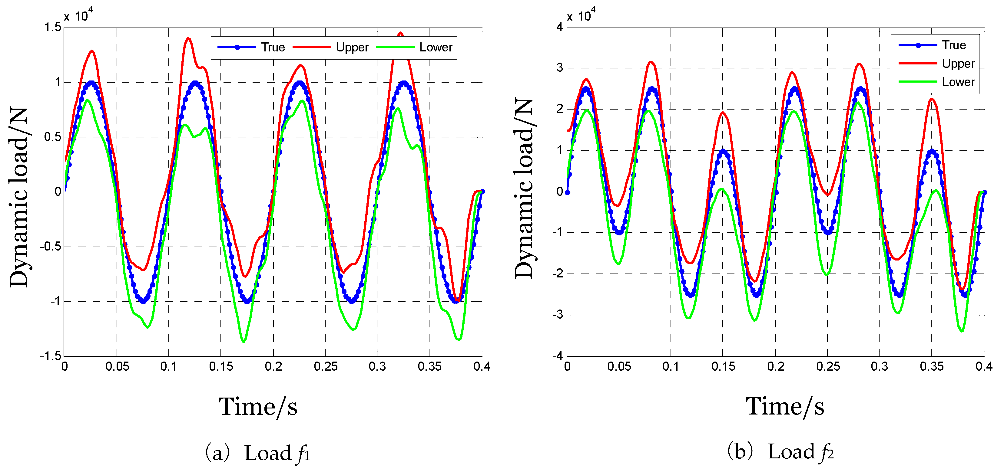
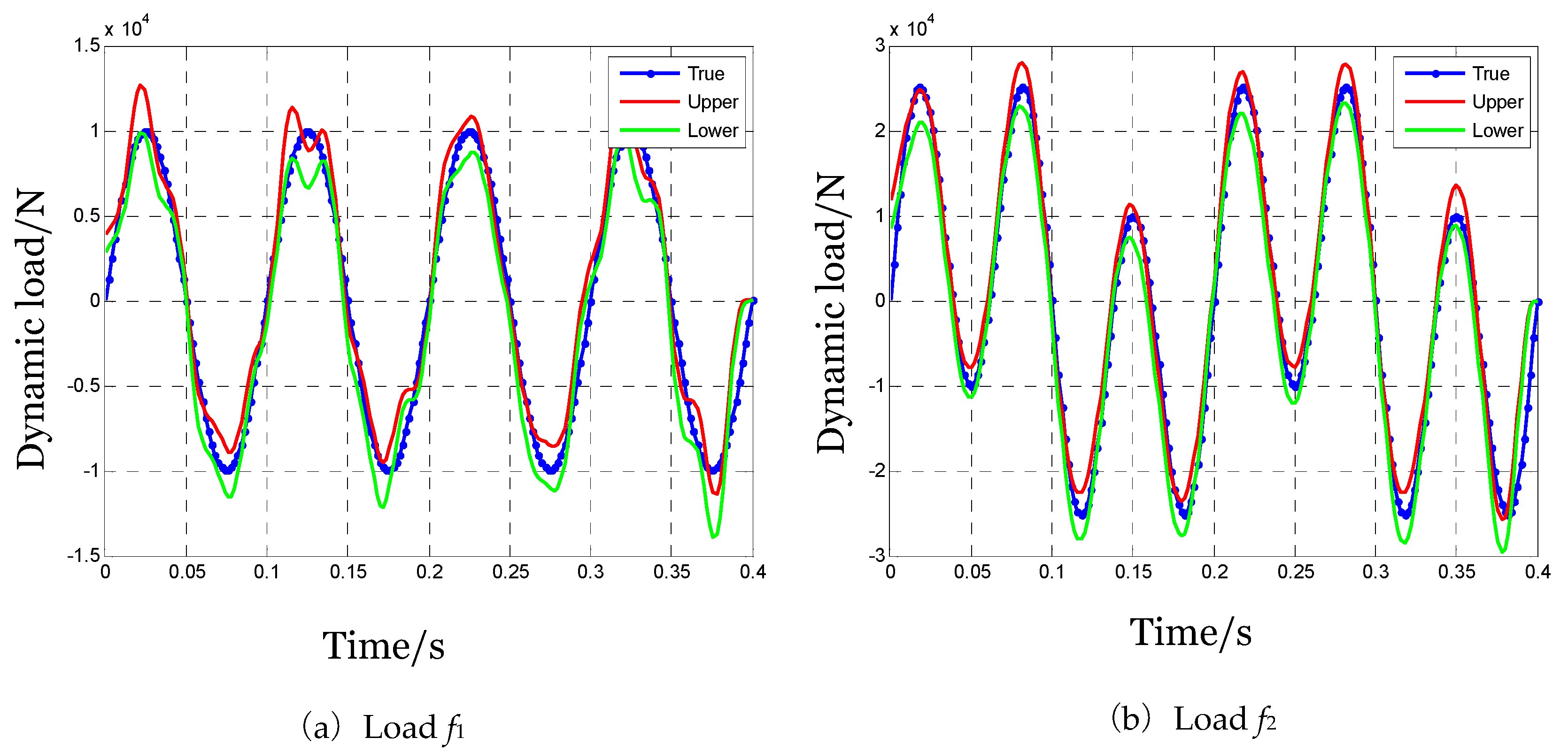
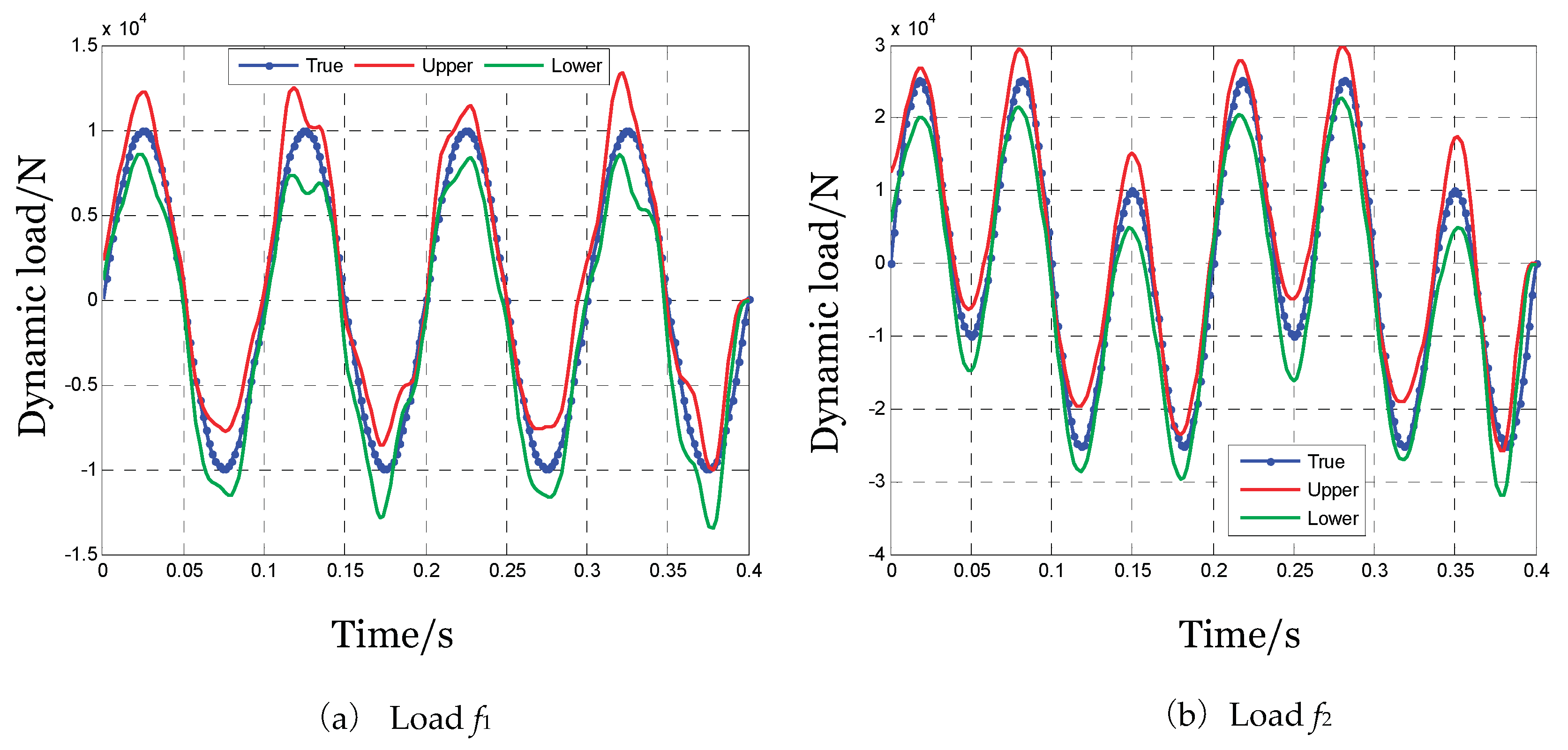
4.3. Parameter Sensitivity and Robustness Analysis
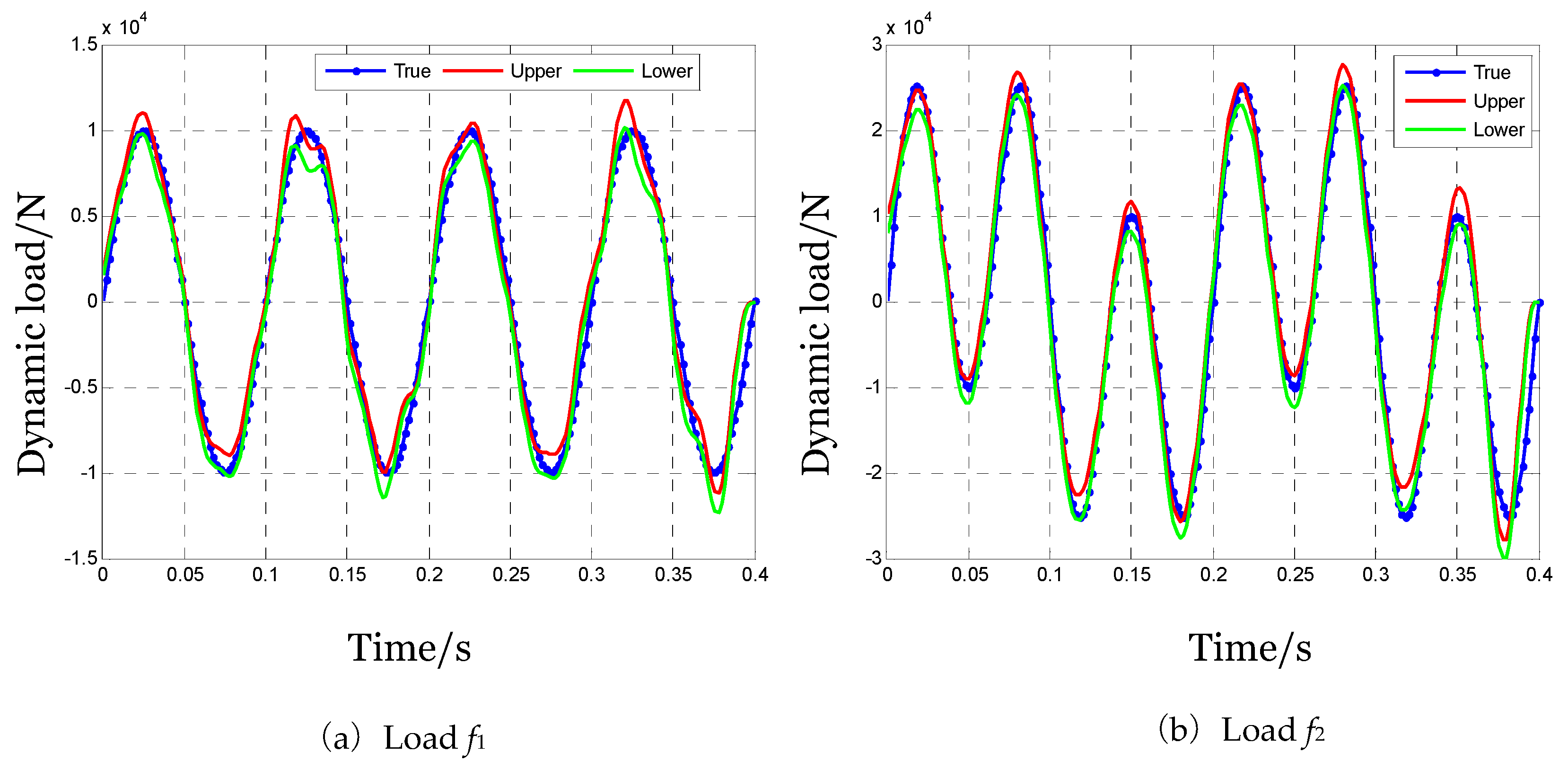
4.4. Comparative Analysis with Monte Carlo Simulation
5. Conclusions
Author Contributions
Institutional Review Board Statement
Informed Consent Statement
Data Availability Statement
Conflicts of Interest
References
- Liu, J.; Li, K. Sparse identification of time-space coupled distributed dynamic load. Mech. Syst. Signal Process. 2021, 148, 107177. [Google Scholar] [CrossRef]
- Yu, B.; Wu, Y.; Hu, P.; et al. A non-iterative identification method of dynamic loads for different structures. J. Sound Vib. 2020, 483, 115508. [Google Scholar] [CrossRef]
- Li, K.; Zhao, Y.; Fu, Z.; et al. Equivalent Identification of Distributed Random Dynamic Load by Using K-L Decomposition and Sparse Representation. Machines 2022, 10, 311. [Google Scholar] [CrossRef]
- Jia, Y.; Yang, Z.; Song, Q. Experimental study of random dynamic loads identification based on weighted regularization method. J. Sound Vib. 2015, 342, 113–123. [Google Scholar] [CrossRef]
- Xu, M.; Jiang, N. Dynamic load identification for interval structures under a presupposition of 'being included prior to being measured'. Appl. Math. Model. 2020, 85, 107–123. [Google Scholar] [CrossRef]
- Li, L.; Chen, G.; Fang, M.; et al. Reliability analysis of structures with multimodal distributions based on direct probability integral method. Reliab. Eng. Syst. Saf. 2021, 215, 107885. [Google Scholar] [CrossRef]
- Sanchez, J.; Benaroya, H. Review of force reconstruction techniques. J. Sound Vib. 2014, 333, 2999–3018. [Google Scholar] [CrossRef]
- Liu, R.; Dobriban, E.; Hou, Z.; et al. Dynamic load identification for mechanical systems: A review. Arch. Comput. Methods Eng. 2021, 28, 1–33. [Google Scholar] [CrossRef]
- Liu, J.; Meng, X.; Jiang, C.; et al. Time-domain Galerkin method for dynamic load identification. Int. J. Numer. Methods Eng. 2016, 105, 620–640. [Google Scholar] [CrossRef]
- Liu, Y.; Wang, L.; Gu, K. A support vector regression (SVR)-based method for dynamic load identification using heterogeneous responses under interval uncertainties. Appl. Soft Comput. 2021, 110, 107599. [Google Scholar] [CrossRef]
- Li, J.; Yan, J.; Zhu, J.; et al. K-BP neural network-based strain field inversion and load identification for CFRP. Measurement 2022, 187, 110227. [Google Scholar] [CrossRef]
- Ovanesova, A.V.; Suarez, L.E. Applications of wavelet transforms to damage detection in frame structures. Eng. Struct. 2004, 26, 39–49. [Google Scholar] [CrossRef]
- Li, H.; Jiang, J.; Mohamed, M.S. Online dynamic load identification based on extended Kalman filter for structures with varying parameters. Symmetry 2021, 13, 1372. [Google Scholar] [CrossRef]
- Wang, L.; Wang, X.; Xia, Y. Hybrid reliability analysis of structures with multi-source uncertainties. Acta Mech. 2014, 225, 413–430. [Google Scholar] [CrossRef]
- He, J.H. Homotopy perturbation method: a new nonlinear analytical technique. Appl. Math. Comput. 2003, 135, 73–79. [Google Scholar] [CrossRef]
- Lewis, E.E.; Böhm, F. Monte Carlo simulation of Markov unreliability models. Nucl. Eng. Des. 1984, 77, 49–62. [Google Scholar] [CrossRef]
- Moghaddam, V.H.; Hamidzadeh, J. New Hermite orthogonal polynomial kernel and combined kernels in support vector machine classifier. Pattern Recognit. 2016, 60, 921–935. [Google Scholar] [CrossRef]
- Mao, J.; Xiao, Y.; Yu, Z.; et al. Probabilistic model and analysis of coupled train-ballasted track-subgrade system with uncertain structural parameters. J. Cent. South Univ. 2021, 28, 2238–2256. [Google Scholar] [CrossRef]
- Liu, J.; Sun, X.; Han, X.; et al. Dynamic load identification for stochastic structures based on Gegenbauer polynomial approximation and regularization method. Mech. Syst. Signal Process. 2015, 56, 35–54. [Google Scholar] [CrossRef]
- Liu, J.; Sun, X.S.; Li, K.; et al. A probability density function discretization and approximation method for the dynamic load identification of stochastic structures. J. Sound Vib. 2015, 357, 74–94. [Google Scholar] [CrossRef]
- Rao, S.S.; Berke, L. Analysis of uncertain structural systems using interval analysis. AIAA J. 1997, 35, 727–735. [Google Scholar] [CrossRef]
- Qiu, Z.; Ma, Y.; Wang, X. Comparison between non-probabilistic interval analysis method and probabilistic approach in static response problem of structures with uncertain-but-bounded parameters. Commun. Numer. Methods Eng. 2004, 20, 279–290. [Google Scholar] [CrossRef]
- Jiang, C.; Lu, G.Y.; Han, X.; et al. A new reliability analysis method for uncertain structures with random and interval variables. Int. J. Mech. Mater. Des. 2012, 8, 169–182. [Google Scholar] [CrossRef]
- Xia, B.; Wang, L. Non-probabilistic interval process analysis of time-varying uncertain structures. Eng. Struct. 2018, 175, 101–112. [Google Scholar] [CrossRef]
- Ni, B.Y.; Jiang, C.; Han, X. An improved multidimensional parallelepiped non-probabilistic model for structural uncertainty analysis. Appl. Math. Model. 2016, 40, 4727–4745. [Google Scholar] [CrossRef]
- Lombardi, M. Optimization of uncertain structures using non-probabilistic models. Comput. Struct. 1998, 67, 99–103. [Google Scholar] [CrossRef]
- Liu, J.; Han, X.; Jiang, C.; et al. Dynamic load identification for uncertain structures based on interval analysis and regularization method. Int. J. Comput. Methods 2011, 8, 667–683. [Google Scholar] [CrossRef]
- Liu, J.; Sun, X.; Meng, X.; et al. A novel shape function approach of dynamic load identification for the structures with interval uncertainty. Int. J. Mech. Mater. Des. 2016, 12, 375–386. [Google Scholar] [CrossRef]
- Wang, L.; Peng, Y.; Xie, Y.; et al. A new iteration regularization method for dynamic load identification of stochastic structures. Mech. Syst. Signal Process. 2021, 156, 107586. [Google Scholar] [CrossRef]
- He, Z.C.; Zhang, Z.; Li, E. Random dynamic load identification for stochastic structural-acoustic system using an adaptive regularization parameter and evidence theory. J. Sound Vib. 2020, 471, 115188. [Google Scholar] [CrossRef]
- Yang, C. A novel uncertainty-oriented regularization method for load identification. Mech. Syst. Signal Process. 2021, 158, 107774. [Google Scholar] [CrossRef]
- Wang, L.; Liu, Y.; Liu, Y. An inverse method for distributed dynamic load identification of structures with interval uncertainties. Adv. Eng. Softw. 2019, 131, 77–89. [Google Scholar] [CrossRef]
- Wu, S.; Sun, Y.; Li, Y.; et al. Stochastic dynamic load identification on an uncertain structure with correlated system parameters. J. Vib. Acoust. 2019, 141, 041009. [Google Scholar] [CrossRef]
- Jiang, C.; Han, X.; Lu, G.Y.; et al. Correlation analysis of non-probabilistic convex model and corresponding structural reliability technique. Comput. Methods Appl. Mech. Eng. 2011, 200, 2528–2546. [Google Scholar] [CrossRef]
- Jiang, C.; Bi, R.G.; Lu, G.Y.; et al. Structural reliability analysis using non-probabilistic convex model. Comput. Methods Appl. Mech. Eng. 2013, 254, 83–98. [Google Scholar] [CrossRef]
- Bertsekas, D. Convex Optimization Theory; Athena Scientific: Belmont, MA, USA, 2009. [Google Scholar]
- Golub, G.H.; Hansen, P.C.; O'Leary, D.P. Tikhonov regularization and total least squares. SIAM J. Matrix Anal. Appl. 1999, 21, 185–194. [Google Scholar] [CrossRef]
- Abdi, H. Singular value decomposition (SVD) and generalized singular value decomposition. In Encyclopedia of Measurement and Statistics; Salkind, N.J., Ed.; Sage: Thousand Oaks, CA, USA, 2007; pp. 907–912. [Google Scholar]
- Calvetti, D.; Morigi, S.; Reichel, L.; et al. Tikhonov regularization and the L-curve for large discrete ill-posed problems. J. Comput. Appl. Math. 2000, 123, 423–446. [Google Scholar] [CrossRef]












| Method | Maximum Boundary Error (%) | Average Boundary Error (%) | Computational Time (s) |
| Proposed Method | 4.32 | 2.15 | 156 |
| Monte Carlo Simulation | 3.87 | 1.92 | 2847 |
Disclaimer/Publisher’s Note: The statements, opinions and data contained in all publications are solely those of the individual author(s) and contributor(s) and not of MDPI and/or the editor(s). MDPI and/or the editor(s) disclaim responsibility for any injury to people or property resulting from any ideas, methods, instructions or products referred to in the content. |
© 2025 by the authors. Licensee MDPI, Basel, Switzerland. This article is an open access article distributed under the terms and conditions of the Creative Commons Attribution (CC BY) license (http://creativecommons.org/licenses/by/4.0/).
