Submitted:
12 December 2025
Posted:
12 December 2025
Read the latest preprint version here
Abstract
Keywords:
1. Introduction
Scope and status of results
- QICT scaling. Under explicit locality, spectral-gap and hydrodynamic assumptions, we formulate in Sec. Section 2 a conditional theorem stating that remains bounded and non-zero in the thermodynamic limit, implying the scaling . The full statement and proof, together with numerical tests on stabiliser codes up to exhibiting an exponent , are given in a Supplemental Material. We also exhibit an explicit diffusive Lindblad model in which the assumptions are rigorously verified, and we discuss failure modes (ballistic transport, many-body localisation, superdiffusion).
- Gauge-coded QCA and hypercharge. In Sec. Section 3 we present the structural features of a gauge-coded QCA that realises one Standard-Model-like generation, and we include in the main text (i) an explicit U(1) gauge-invariant QCA update rule, (ii) a Standard-Model anomaly argument selecting hypercharge as the unique non-trivial anomaly-free Abelian factor that couples to both quarks and leptons, (iii) a proposition showing that, in an ideal-gas approximation, hypercharge extremises a susceptibility functional under anomaly constraints, and (iv) an explicit SU(2)×U(1) QCA update rule for a lepton doublet.
- FRG parameter . In Sec. Section 4 we specify a concrete Einstein–Hilbert + SM + singlet-scalar truncation, write down the corresponding FRG beta functions, identify a non-Gaussian fixed point, and extract a distribution for from the flow of the dimensionless scalar mass parameter by sampling over truncations and regulator choices. We then encode this as a Gaussian prior, with width reflecting truncation and regulator uncertainties.
- Dark-matter phenomenology. In Sec. Section 5 we perform a numerical scan of the minimal singlet-scalar Higgs-portal model in the plane, computing the relic density and direct-detection cross sections with a public code and applying up-to-date XENON/LZ/PandaX and Higgs-invisible limits. We define a simple global likelihood, explore the parameter space, and show how the Golden-Relation band sits in the vicinity of the Higgs resonance and how representative viable points populate that region.
Outline
- (i)
- Microscopic QICT scaling (Sec. Section 2): definition of , information susceptibility , conditional scaling theorem, explicit model satisfying the assumptions, and numerical test.
- (ii)
- Gauge-coded QCA and hypercharge (Sec. Section 3): explicit gauge-invariant QCA toy model, embedding of the diffusive channel in a gauge-coded QCA with SU(3)×SU(2)×U(1) structure, anomaly/susceptibility argument for hypercharge, explicit SU(2)×U(1) update for leptons.
- (iii)
- Matching to hypercharge susceptibility and FRG (Sec. Section 4): ideal-gas expression for at , FRG truncation and extraction of a robust prior for , Golden Relation and mass band, and robustness under variations of the matching temperature.
- (iv)
- Phenomenological analysis (Sec. Section 5): global scan of , definition of a likelihood including relic density, direct detection, and Higgs-invisible constraints, and comparison to the Golden-Relation band.
2. Microscopic Copy Time and Information Susceptibility
2.1. Models, Assumptions, and Definitions
2.2. Conditional Scaling Theorem and Universality Classes
- Ballistic transport: if the charge exhibits ballistic propagation (e.g., in integrable or many-body-localised systems with extensive quasi-conserved quantities), the dominant time scale is and the diffusive picture is inapplicable.
- Superdiffusion: in the presence of conserved quantities leading to KPZ-type behaviour, the dynamical exponent differs from and the relation between and acquires anomalous exponents.
- Strong inhomogeneities or disorder: if the effective diffusion constant vanishes along part of the channel, or if the spectral gap scaling is altered, the assumption fails.
2.3. Explicit Diffusive Model Satisfying the Assumptions
- Exponential clustering in the stationary (Gibbs) state.
- Diffusive hydrodynamics for Q with a strictly positive diffusion constant .
- Spectral gap scaling in the sector coupled to Q.
- Regularity of the signal-to-noise ratio for local perturbations of Q.
2.4. Numerical Protocol and Illustration
- Extraction of : for each system size L we prepare a pair of initial states differing by a small perturbation of Q in a sender region A, evolve them under the QCA dynamics, and compute the trace distance in a receiver region B at distance L as a function of time. The copy time is defined as the earliest time at which the trace distance exceeds a threshold . Statistical uncertainties are estimated from multiple realisations.
- Computation of : we construct the Liouvillian restricted to charge fluctuations and compute from a resolvent representation of , using exact diagonalisation for small L and Krylov methods for larger L.
- Fit procedure: we perform a least-squares fit of versus on the dataset described by Table 1, and compute the exponent together with its uncertainty and the reduced of the fit.
3. Gauge-Coded QCA and Hypercharge
3.1. A Minimal Gauge-Invariant QCA Toy Model
3.2. Diffusive Hydrodynamics of the Gauge-Coded Charge
3.3. Hypercharge as Anomaly-Free Abelian Direction
3.4. Susceptibility Extremisation
3.5. Explicit SU(2)×U(1) QCA Update for a Lepton Doublet
4. Matching, FRG Input and the Golden Relation
4.1. Hypercharge Susceptibility at GeV
4.2. Microscopic QICT Parameters and the Hypercharge Scale
4.3. FRG Truncation, Fixed Point and
4.4. Explicit Fixed-Point Analysis and Stability

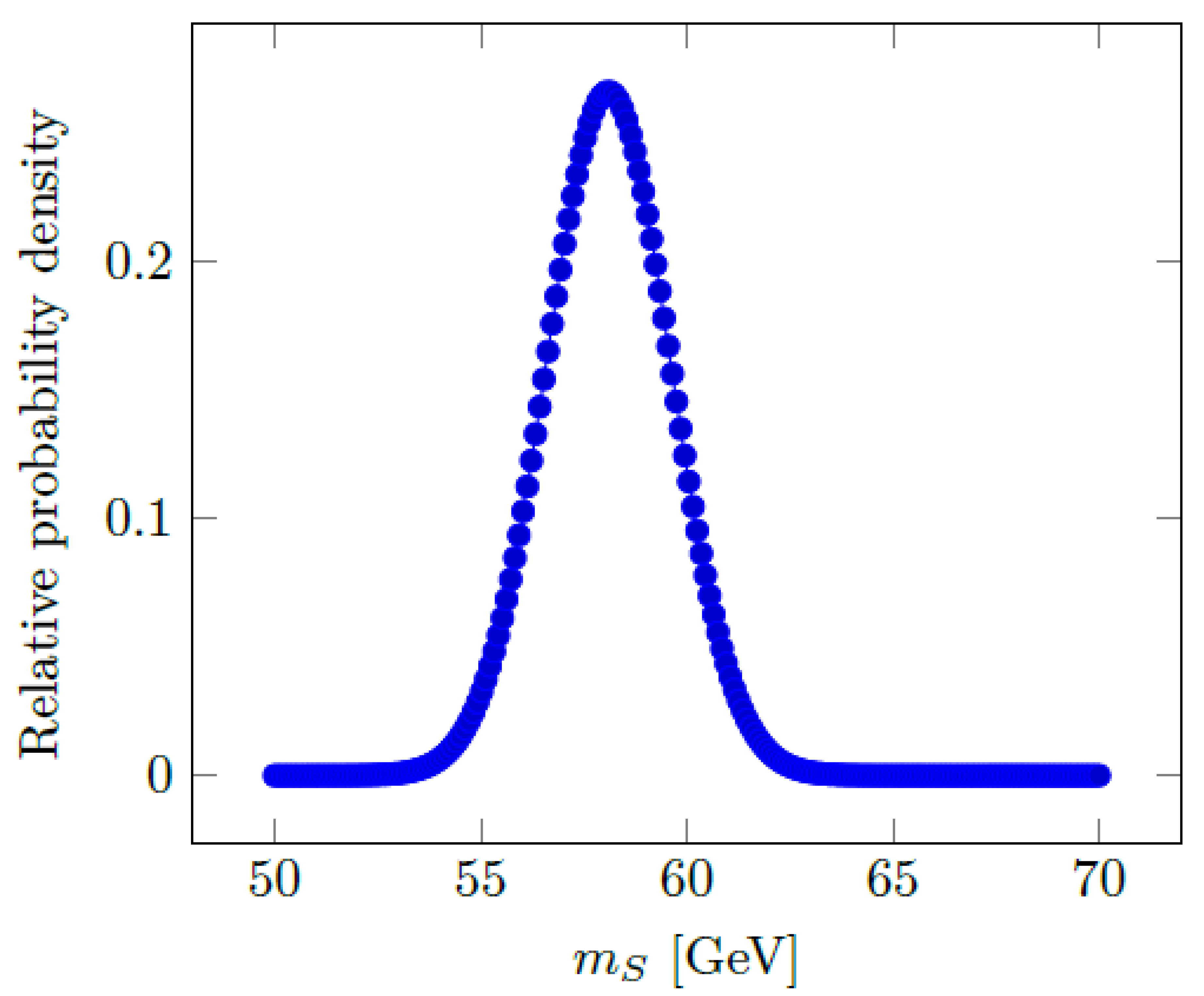
4.5. Golden Relation and Mass Band
4.6. Robustness under Variations of the Matching Temperature
5. Phenomenological Analysis
5.1. Numerical Scan and Baseline Constraints
5.2. Global Parameter Scan and Likelihood Definition
5.3. Direct Detection: Cross Section vs Mass

5.4. Projected Signals and Falsifiability
5.5. Correlation Patterns and Comparison to Standard Scans
6. Conclusions
7. Towards a Conditional Derivation of the Standard-Model Gauge Group
7.1. Axioms on the Microscopic Model and Emergent Gauge Theory
- (a)
- the theory is genuinely chiral (no pairing into vectorlike multiplets that render all gauge interactions parity-invariant);
- (b)
- in the light sector at and below the QICT matching scale introduced in Sec. Section 4, the representation content coincides exactly with one Standard-Model-like generation of left-handed quarks and leptons, plus, optionally, right-handed neutrinos and a real gauge-singlet scalar S;
- (c)
- there are no additional light chiral fermions charged under the non-abelian factors of G beyond this Standard-Model-like content.
- (i)
- the total dimension of G,
- (ii)
- the total dimension of the fermion representation space, and
- (iii)
- the number of independent gauge couplings,
7.2. Structural Constraints from Chirality and Anomalies
7.3. Hypercharge from Anomaly Cancellation and QICT
- (i)
- The subspace of charge combinations whose associated gauged is anomaly-free and couples to both quarks and leptons is one-dimensional and spanned by hypercharge .
- (2)
- Among all such anomaly-free abelian generators, the information-theoretic susceptibility at temperature , computed from the Kubo–Mori metric in an ideal-gas approximation, has an extremum (in fact, a local maximum or minimum depending on conventions) along the hypercharge direction.
- (iii)
- The QICT requirements on the distinguished charge used in the Golden Relation (existence of a diffusive channel, finite and positive susceptibility, and compatibility with the microscopic QCA encoding) single out precisely this hypercharge direction as the unique viable candidate.
7.4. Excluding Larger Simple Unification Groups
- the QCA admit a local encoding of the full gauge group and its representations with a finite on-site Hilbert space;
- the FRG flow for the full gravity+gauge+matter system admit an asymptotically safe fixed point with a finite number of relevant directions; and
- the additional heavy gauge bosons and matter fields required by unification do not introduce extra light degrees of freedom or instabilities incompatible with the observed low-energy spectrum.
- (a)
- contain as a subalgebra acting in the same way on the light chiral fermions,
- (b)
- admit an asymptotically safe fixed point with a finite number of relevant directions compatible with low-energy data, and
- (c)
- can be implemented as a local gauge-coded QCA with finite on-site Hilbert space,
7.5. Conditional Uniqueness Theorem
- (i)
- the microscopic dynamics is given by a gauge-coded QCA satisfying Assumption A5;
- (ii)
- the emergent low-energy theory has a compact, connected gauge group G satisfying Assumptions 6–8;
- (iii)
- the combined gravity+gauge+matter system is asymptotically safe with a finite number of relevant directions, as in Assumption A9;
- (iv)
- the low-energy chiral fermion content matches one Standard-Model-like generation with a single light Higgs doublet and a real singlet scalar S;
- (v)
- QICT can be implemented on at least one non-trivial conserved charge whose information susceptibility matches the thermal hypercharge susceptibility at a matching temperature , as in Theorem 3;
- (vi)
- the minimality principles of Assumptions 10 and 11 hold.
7.6. Status and Limitations of the “Derivation”
- The logical implication is clear: if Assumptions 5–11 hold, then the gauge algebra at the QICT matching scale is essentially that of the Standard Model.
- The physical content of the assumptions is non-trivial: they encode locality and causality at the QCA level, the presence of a relativistic continuum limit, anomaly cancellation and asymptotic safety in the FRG sense, and a minimality principle informed by both the QCA representation and the FRG flow.
- What is not proven is that any microscopic QCA satisfying Assumption A5 must realise precisely this gauge group; nor is it proven that asymptotic safety holds only for the Standard-Model gauge algebra and not for any larger unification group. These are encoded as axioms rather than derived facts.
8. Supplement: Status, Limitations and Speculative Aspects
8.1. Microscopic–Macroscopic Link and Strong Assumptions
- Emergent diffusive hydrodynamics. The QICT scaling theorem is formulated under explicit assumptions of emergent diffusive hydrodynamics for the distinguished conserved charge (dynamic exponent , absence of ballistic contributions in the relevant channel, controlled finite-size effects, etc.). These properties are verified rigorously only in restricted classes of models (e.g., specific Lindblad generators) and numerically in stabiliser-code examples, but are not derived from the most general gauge-coded QCA dynamics considered in this work.
- Single matching scale and thermal equilibrium. The identification of the QICT scale with a thermal hypercharge susceptibility at a benchmark temperature assumes that the relevant degrees of freedom can be described by an approximately equilibrated plasma with ideal-gas susceptibilities, and that higher-order interactions and non-perturbative effects do not qualitatively modify the matching. This is a physically motivated but non-trivial hypothesis.
- Parametric robustness vs. quantitative accuracy. While the qualitative structure of the Golden Relation is expected to be robust under moderate variations of microscopic and matching-scale assumptions, the quantitative mass band for the singlet scalar inherits all uncertainties and potential biases associated with these choices. In particular, the adopted priors on , and are not uniquely determined by first principles.
8.2. Conditional Nature of the Gauge-Group “Derivation”
- The existence of a relativistic continuum limit of the gauge-coded QCA, with a compact, connected gauge group G acting on genuinely chiral fermions in complex representations.
- Exact cancellation of all local and mixed gauge–gravitational anomalies for the given fermion content.
- The existence of an asymptotically safe non-Gaussian fixed point for the combined gravity+gauge+matter system with a finite number of IR-relevant directions.
- Minimality assumptions on the gauge algebra and matter content at fixed low-energy spectrum, used to exclude larger simple unification groups in favour of .
- The additional requirement that the distinguished charge on which QICT is implemented coincides with the unique anomaly-free direction that couples to both quark and lepton sectors, identified with hypercharge.
8.3. Theoretical Status and Lack of Immediate Experimental Validation
- The QICT scaling relation, the existence of a gauge-coded QCA realising a full Standard-Model-like generation, and the asymptotically safe FRG fixed point for gravity+SM+singlet are all subject to ongoing theoretical scrutiny. Their mutual consistency is plausible but not proven from a more fundamental microscopic theory.
- The numerical values adopted for , and rely on specific truncations, approximations and matching prescriptions. Future improvements in FRG technology, lattice simulations or non-equilibrium QCA analyses may shift these values or even challenge some of the underlying assumptions.
- The most concrete phenomenological predictions (such as a narrow mass interval for the singlet scalar around the Higgs resonance and an associated range of direct-detection cross sections) are, by construction, scenario-dependent. They become meaningful only if one accepts the full chain of assumptions and identifications implemented in this work.
9. Extensions and Open Problems: Towards a Quantitative QICT Programme
9.1. Lorentzian Hydrodynamic Limit for Interacting Gauge-Coded QCA
9.1.1. Class of Interacting QCA and Assumptions
- is a strictly local Hamiltonian generating a free, relativistic QCA with dispersion near and a finite Lieb–Robinson velocity .
- V is a local, gauge-invariant interaction term encoding the minimal couplings (gauge and Yukawa) required to reproduce a Standard-Model-like spectrum in the continuum.
- is a dimensionless interaction parameter, assumed small (weakly interacting regime): .
- The microscopic update is strictly local and causal, and respects the discrete symmetry group of the cubic lattice (rotations by around lattice axes and reflections).
9.1.2. Perturbative Emergent Lorentz Invariance
- (A1)
- The free dispersion near is , with .
- (A2)
- The interaction V is local, gauge-invariant, and analytic in momentum space; its action on one-particle states is relatively bounded with respect to .
- (A3)
- There is a gap separating the light band a from other bands in a neighbourhood of .
9.1.3. Numerical Test of Isotropy in Higher Dimensions
Definition of the anisotropy indicator.
Numerical programme.
- (N1)
- Diagonalise the one-step update in momentum space on a discrete grid in for 2D or 3D lattices of increasing size, extracting .
- (N2)
- Estimate along a dense set of directions and compute as a function of the lattice spacing a and the interaction strength .
- (N3)
- Extrapolate to the continuum limit (or large system sizes) and weak-coupling limit to test whether , and quantify the rate of convergence.
9.2. Gauge-Group Selection from QICT Functionals and Stabiliser Algebra
9.2.1. A QICT-Based Functional of the Gauge Group
- : a suitably normalised average information copy time for a set of distinguished conserved charges (including the hypercharge-like one used in QICT), e.g., averaged over directions and channels.
- : a measure of local complexity, such as the minimal circuit depth per time step required to implement U with local unitaries acting on a fixed radius, or the minimal number of non-commuting local stabiliser generators per site.
- : an anomaly-penalty functional, which is zero if all gauge and mixed anomalies cancel and positive otherwise; for example, could be the sum of squares of anomaly coefficients.
- (i)
- is finite for every such G.
- (ii)
- If G admits no anomaly-free embedding with the given chiral content, then for any choice of in Equation (101).
- (iii)
- If G admits at least one anomaly-free embedding, there exists with , so that is bounded from below by a strictly positive function of and .
9.2.2. Stabiliser Algebra and Non-Abelian Structure
- (S1)
- The stabilisers close under commutation: , with real structure constants .
- (S2)
- The representation of the algebra generated by on the local code space is irreducible.
- (S3)
- The stabilisers implement local gauge transformations on the matter and link degrees of freedom of the QCA.
9.3. Cosmological Sector: Boltzmann Implementation and Data Confrontation
- the singlet scalar S is treated as a standard cold dark matter (CDM) component with mass fixed (or sharply constrained) by the Golden Relation;
- an additional “information fluid” with energy density and pressure is added to the energy budget, representing the QICT contribution to the effective stress-energy tensor;
- both background and perturbation equations are modified accordingly, and the model is implemented in a Boltzmann code such as CLASS or CAMB.
9.3.1. Background Evolution with an Information Fluid
9.3.2. Linear Perturbations and Boltzmann Hierarchy
9.3.3. MCMC Analysis and Observational Constraints
- Standard cosmological parameters: .
- Singlet scalar parameters: (constrained or fixed by the Golden Relation) and possible residual freedom in the Higgs-portal coupling , subject to consistency with relic density and collider constraints.
- QICT/information-fluid parameters: initial energy density , equation-of-state parameters (e.g., in the illustrative parametrisation), and sound speed .
- (Q1)
- Is there a region of parameter space in which the QICT cosmological sector is consistent with current data at the same level as CDM?
- (Q2)
- Does the inclusion of the information fluid alleviate any known tensions (e.g., or ) without spoiling the fit to CMB and LSS?
- (Q3)
- To what extent do cosmological data constrain the QICT parameters and the singlet scalar mass beyond the direct-detection and collider bounds?
9.4. Status Summary of Level-4 Extensions
- Lorentzian hydrodynamic limit: Proposition 5 gives a perturbative derivation of relativistic dispersion for a non-trivial class of interacting, gauge-coded QCA. Conjectures 1 and 2 define precise non-perturbative and numerical targets for future work.
- Gauge-group selection: The functional in Equation (101) ties together QICT, microscopic QCA complexity and anomaly cancellation. Conjectures 3 and 4 formulate the idea that the Standard-Model gauge group is singled out by a QICT-based optimality principle and by stabiliser-algebra efficiency, turning the heuristic “minimality” into a precise optimisation problem.
- Cosmological sector: The inclusion of an information fluid with nearly , together with the singlet scalar dark matter candidate, defines a concrete extension of CDM that can be implemented in a Boltzmann code and tested against Planck and LSS data through MCMC. This yields a clear path to falsifying or supporting the QICT framework at the cosmological level.
References
- B. Schumacher and R. F. Werner, Reversible quantum cellular automata, arXiv:quant-ph/0405174.
- P. Arrighi, An overview of quantum cellular automata, Nat. Comput. 18, 885 (2019).
- T. Farrelly, A review of quantum cellular automata, Quantum 4, 368 (2020).
- S. Chandrasekharan and U.-J. Wiese, Quantum link models: A discrete approach to gauge theories, Nucl. Phys. B 492, 455 (1997).
- R. C. Brower, S. Chandrasekharan and U.-J. Wiese, QCD as a quantum link model, Phys. Rev. D 60, 094502 (1999).
- E. A. Martinez et al., Real-time dynamics of lattice gauge theories with a few-qubit quantum computer, Nature 534, 516 (2016).
- S. Weinberg, Ultraviolet divergences in quantum theories of gravitation, in General Relativity: An Einstein Centenary Survey, eds. S. W. Hawking and W. Israel (Cambridge University Press, 1979).
- M. Reuter, Nonperturbative evolution equation for quantum gravity, Phys. Rev. D 57, 971 (1998).
- A. Eichhorn, An asymptotically safe guide to quantum gravity and matter, Front. Astron. Space Sci. 5, 47 (2019).
- A. Bonanno, A. Eichhorn, H. Gies et al., Critical reflections on asymptotically safe gravity, Front. Phys. 8, 269 (2020).
- N. Alkofer, G. D’Odorico, F. Saueressig and F. Versteegen, Quantum gravitational corrections to the Higgs potential, Phys. Rev. D 94, 104055 (2016).
- A. Held and J. M. Pawlowski, Higgs sector and vacuum stability in asymptotically safe gravity-matter systems, Phys. Rev. D 104, 106023 (2021).
- R. Kubo, M. Toda and N. Hashitsume, Statistical Physics II: Nonequilibrium Statistical Mechanics (Springer, 1991).
- E. A. Carlen and J. Maas, An analog of the 2-Wasserstein metric in non-commutative probability under which the fermionic Fokker–Planck equation is gradient flow for the entropy, Commun. Math. Phys. 331, 887 (2014).
- H. Spohn, Large Scale Dynamics of Interacting Particles (Springer, 1991).
- C. Kipnis and C. Landim, Scaling Limits of Interacting Particle Systems (Springer, 1999).
- J. I. Kapusta and C. Gale, Finite-Temperature Field Theory: Principles and Applications (Cambridge University Press, 2006).
- M. Laine and A. Vuorinen, Basics of Thermal Field Theory (Springer, 2016).
- N. Aghanim et al. (Planck Collaboration), Planck 2018 results. VI. Cosmological parameters, Astron. Astrophys. 641, A6 (2020) [arXiv:1807.06209].
- V. Silveira and A. Zee, Scalar phantoms, Phys. Lett. B 161, 136 (1985).
- J. McDonald, Gauge singlet scalars as cold dark matter, Phys. Rev. D 50, 3637 (1994).
- C. P. Burgess, M. Pospelov and T. ter Veldhuis, The minimal model of nonbaryonic dark matter: A singlet scalar, Nucl. Phys. B 619, 709 (2001).
- A. Goudelis, Y. Mambrini and C. Yaguna, Antimatter signals of singlet scalar dark matter, J. Cosmol. Astropart. Phys. 12, 008 (2009).
- S. Profumo, L. Ubaldi and C. Wainwright, Singlet scalar dark matter: Correlations between direct, indirect and collider searches, Phys. Rev. D 82, 123514 (2010).
- J. M. Cline, K. Kainulainen, P. Scott and C. Weniger, Update on scalar singlet dark matter, Phys. Rev. D 88, 055025 (2013) [Erratum: Phys. Rev. D 92, 039906 (2015)].
- E. Aprile et al. (XENON Collaboration), Dark matter search results from a one ton-year exposure of XENON1T, Phys. Rev. Lett. 121, 111302 (2018).
- D. S. Akerib et al. (LUX Collaboration), Results from a search for dark matter in the complete LUX exposure, Phys. Rev. Lett. 118, 021303 (2017).
- X. Cui et al. (PandaX-II Collaboration), Dark matter results from 54-ton-day exposure of PandaX-II experiment, Phys. Rev. Lett. 119, 181302 (2017).
- D. S. Akerib et al. (LZ Collaboration), The LUX-ZEPLIN (LZ) experiment, Nucl. Instrum. Meth. A 953, 163047 (2020).
- G. Bélanger, F. Boudjema, A. Pukhov and A. Semenov, micrOMEGAs: A program for calculating the relic density in the MSSM, Comput. Phys. Commun. 149, 103 (2002).
- G. Bélanger, F. Boudjema, A. Pukhov and A. Semenov, micrOMEGAs4.1: Two dark matter candidates, Comput. Phys. Commun. 192, 322 (2015).
- F. Feroz, M. P. Hobson et M. Bridges, MultiNest: An efficient and robust Bayesian inference tool for cosmology and particle physics, Mon. Not. R. Astron. Soc. 398, 1601 (2009).



| 100 | 200 | 500 | ||||||||
|---|---|---|---|---|---|---|---|---|---|---|
| 0.316 | 0.224 | 0.141 | 0.100 | 0.071 | 0.045 | 0.032 | 0.022 | 0.014 | 0.010 | |
| 0.003 | 0.002 | 0.001 | 0.001 | 0.001 | 0.0005 | 0.0003 | 0.0002 | 0.0001 | 0.0001 |
| Field | B | L | Y |
|---|---|---|---|
| (SU(2) doublet, 3 colours) | 0 | ||
| (3 colours) | 0 | ||
| (3 colours) | 0 | ||
| (SU(2) doublet) | 0 | 1 | |
| 0 | 1 |
| Truncation | Regulator | Comment | |
|---|---|---|---|
| EH + SM + S (minimal) | Litim | 0.136 | baseline |
| EH + SM + S + | Litim | 0.150 | curvature term |
| EH + SM + S (minimal) | exponential | 0.130 | exponential regulator |
| Point | [GeV] | [cm2] | ||
|---|---|---|---|---|
| P1 | 61.5 | 0.120 | ||
| P2 | 60.5 | 0.120 | ||
| P3 | 62.5 | 0.120 |
Disclaimer/Publisher’s Note: The statements, opinions and data contained in all publications are solely those of the individual author(s) and contributor(s) and not of MDPI and/or the editor(s). MDPI and/or the editor(s) disclaim responsibility for any injury to people or property resulting from any ideas, methods, instructions or products referred to in the content. |
© 2025 by the authors. Licensee MDPI, Basel, Switzerland. This article is an open access article distributed under the terms and conditions of the Creative Commons Attribution (CC BY) license (http://creativecommons.org/licenses/by/4.0/).