Submitted:
26 November 2025
Posted:
27 November 2025
You are already at the latest version
Abstract
Keywords:
1. Introduction
2. Materials and Methods
2.1. Study Design
2.2. Data Sources
2.3. Outcome Variables
2.4. Independent Variables
2.5. Control Variables
2.6. Subgroup Analysis
2.7. Statistical Analysis
3. Results
3.1. Participant Characteristics
3.2. Perceived MTL Print Size Readability
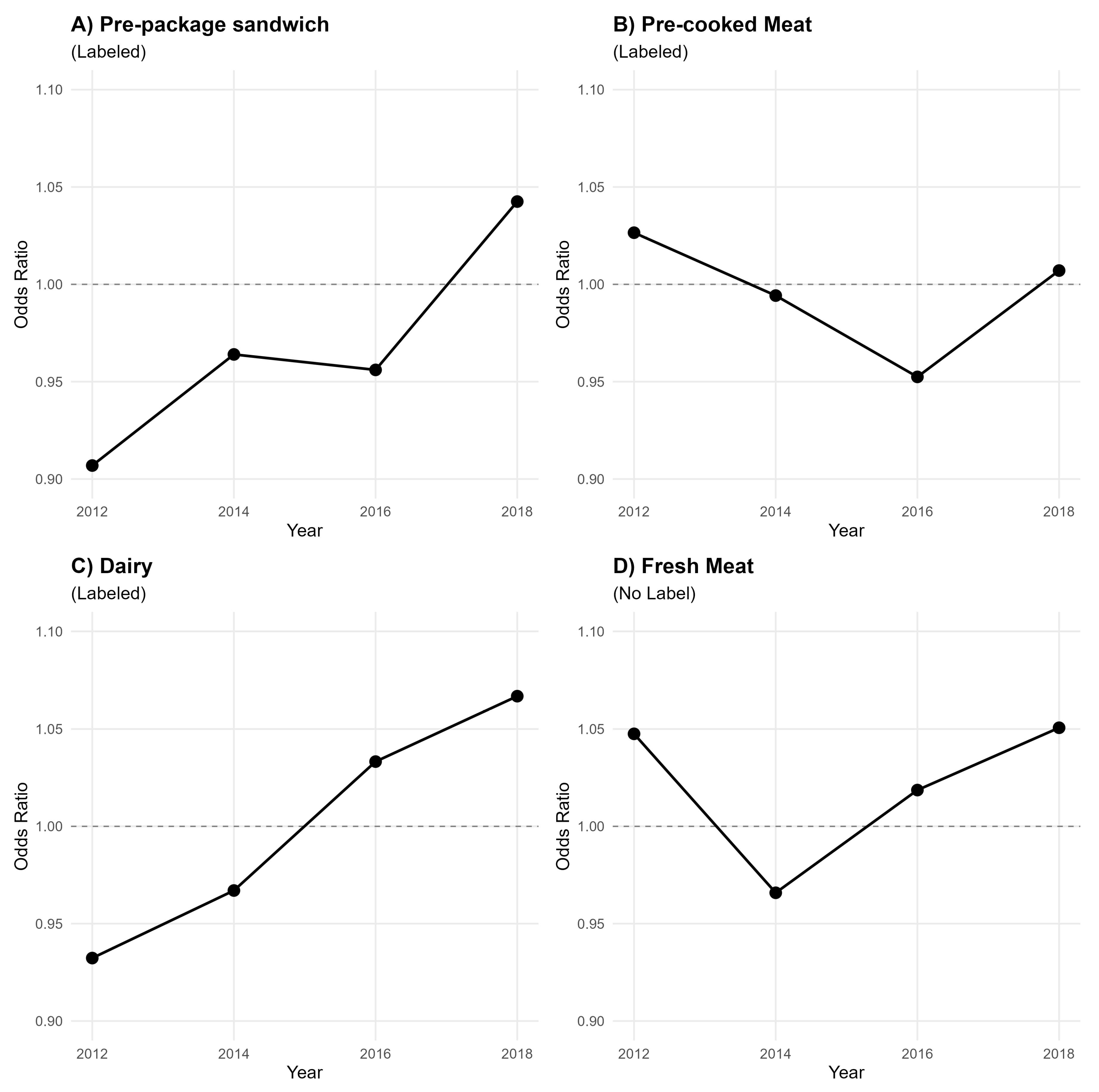
3.3. Perceived MTL Print Size Readability and Food Consumption Associations
3.4. Health Belief Associations
3.5. Sensitivity Analysis
4. Discussion
Limitations
5. Conclusions
Author Contributions
Funding
Institutional Review Board Statement
Informed Consent Statement
Data Availability Statement
Acknowledgments
Conflicts of Interest
Abbreviations
| FOP | Front-of-Package |
| REM | Ready-to-Eat Meals |
| FSA | Food Standards Agency |
| FYS | UK Food and You Survey |
| MTL | Multiple Traffic Light |
| NDNS | National Diet and Nutrition Survey |
| UK | United Kingdom |
| NEDVs | Non-equivalent dependent variables |
| VIF | Variance Inflation Factor |
| OR | Odds ratios |
| SE | Standard errors |
| CI | Confidence intervals |
Appendix A.
Appendix A.1
- Cuts or portions of beef, lamb or pork, for example joints, steak, chops
- Burgers
- Sausages
- Chicken or turkey
- Duck or goose
- Pre-cooked meats
- Cured or dried meats
- Milk and dairy foods like cheese and yoghurt (INTERVIER NOTE: THIS INCLUDES DRINKING MILK, MILK IN TEA ETC.)
- Raw milk – by raw milk I mean milk that has not been pasteurised.
- Cooked eggs
- Cooked eggs? Please also think about food containing cooked eggs.
- Raw or uncooked eggs, including in things like homemade mayonnaise or homemade royal icing
- Cooked or smoked fish, excluding shellfish
- Cooked shellfish, for example crab, prawns, lobster, mussels
- Raw oysters
- Raw fruit
- Raw vegetables, including salad
- Cooked vegetables
- Frozen fruits, for example berries
- Pre-packed sandwiches
- Ready meals
| Pre-package Sandwich | Pre-cooked Meat | |||
|---|---|---|---|---|
| Variable | p-value | p-value | ||
| Omnibus Test | 176.11 | <.001 | 159.57 | <.001 |
| Readability (Q6_4) | 3.52 | 0.061 | 0.43 | 0.510 |
| Sex | 42.09 | <.001 | 0.64 | 0.424 |
| Age | 12.42 | <.001 | 2.31 | 0.129 |
| Religion | 0.74 | 0.391 | 4.81 | 0.028 |
| High Income | 7.11 | 0.008 | 28.34 | <.001 |
| Low Income | 0.65 | 0.421 | 1.64 | 0.200 |
| Area (Urban/Rural) | 7.31 | 0.007 | 3.57 | 0.059 |
| Shopping Responsibility | 0.05 | 0.817 | 1.07 | 0.302 |
| Children at home | 2.11 | 0.147 | 5.37 | 0.021 |
| Household size | 3.08 | 0.079 | 10.59 | 0.001 |
| Marital status | 19.82 | <.001 | 0.18 | 0.667 |
| Country | 0.43 | 0.513 | 0.22 | 0.641 |
| Survey year | 13.24 | <.001 | 14.43 | <.001 |
| Pre-package Sandwich | Pre-cooked Meat | Dairy | Fresh Meat | |||||
|---|---|---|---|---|---|---|---|---|
| Variable | (SE) | OR [95% CI] | (SE) | OR [95% CI] | (SE) | OR [95% CI] | (SE) | OR [95% CI] |
| Readability | -0.17 (0.05) | 0.84 [0.77, 0.92] | 0.09 (0.06) | 1.09 [0.98, 1.22] | -0.09 (0.15) | 0.92 [0.68, 1.23] | 0.14 (0.09) | 1.15 [0.96, 1.36] |
| Year (vs. 2012) | ||||||||
| 2014 | -0.20 (0.18) | 0.82 [0.58, 1.16] | 0.17 (0.25) | 1.18 [0.73, 1.92] | 0.25 (0.60) | 1.28 [0.39, 4.17] | 0.68 · (0.37) | 1.97 [0.96, 4.04] |
| 2016 | 0.11 (0.18) | 1.11 [0.78, 1.58] | 0.12 (0.25) | 1.13 [0.70, 1.82] | -0.53 (0.65) | 0.59 [0.17, 2.09] | -0.13 (0.34) | 0.88 [0.45, 1.69] |
| 2018 | 0.19 (0.18) | 1.20 [0.84, 1.72] | -0.02 (0.25) | 0.98 [0.61, 1.59] | -1.17 · (0.60) | 0.31 [0.09, 1.01] | -0.45 (0.34) | 0.64 [0.33, 1.23] |
| Interactions | ||||||||
| Readability × 2014 | 0.08 (0.06) | 1.08 [0.96, 1.22] | -0.08 (0.09) | 0.92 [0.77, 1.10] | -0.18 (0.20) | 0.83 [0.56, 1.25] | -0.27 (0.12) | 0.76 [0.60, 0.97] |
| Readability × 2016 | 0.09 (0.06) | 1.09 [0.96, 1.23] | -0.17 (0.08) | 0.84 [0.72, 0.99] | -0.05 (0.20) | 0.95 [0.64, 1.41] | -0.17 (0.11) | 0.84 [0.68, 1.05] |
| Readability × 2018 | 0.17 (0.06) | 1.19 [1.05, 1.35] | -0.14 (0.08) | 0.87 [0.74, 1.03] | 0.03 (0.19) | 1.03 [0.71, 1.49] | -0.01 (0.11) | 0.99 [0.79, 1.23] |
| Pre-package Sandwich | Pre-cooked Meat | Dairy | Fresh Meat | |||||
|---|---|---|---|---|---|---|---|---|
| Predictor | (SE) | OR [95% CI] | (SE) | OR [95% CI] | (SE) | OR [95% CI] | (SE) | OR [95% CI] |
| Consumption | ||||||||
| (vs. Never) | ||||||||
| Monthly | -0.27 (0.12) | 0.76 [0.60, 0.96] | 0.34 (0.17) | 1.41 [1.00, 1.97] | -0.21 (0.53) | 0.81 [0.29, 2.27] | 0.23 (0.23) | 1.26 [0.80, 1.97] |
| Weekly | -0.43 (0.14) | 0.65 [0.49, 0.85] | 0.24 (0.14) | 1.27 [0.96, 1.68] | -0.04 (0.40) | 0.96 [0.44, 2.10] | 0.38 (0.21) | 1.46 [0.97, 2.20] |
| Interactions | ||||||||
| Monthly×2014 | 0.26 (0.15) | 1.29 [0.96, 1.74] | -0.20 (0.25) | 0.82 [0.51, 1.33] | -0.54 (0.69) | 0.58 [0.15, 2.26] | -0.48 (0.30) | 0.62 [0.34, 1.12] |
| Weekly×2014 | 0.15 (0.20) | 1.16 [0.78, 1.73] | -0.11 (0.19) | 0.90 [0.61, 1.31] | -0.45 (0.51) | 0.64 [0.23, 1.75] | -0.54 (0.29) | 0.58 [0.33, 1.02] |
| Monthly×2016 | 0.22 (0.16) | 1.24 [0.91, 1.69] | -0.49 (0.24) | 0.61 [0.38, 0.98] | -0.27 (0.72) | 0.76 [0.18, 3.12] | -0.32 (0.29) | 0.73 [0.41, 1.28] |
| Weekly×2016 | 0.21 (0.20) | 1.23 [0.82, 1.83] | -0.54 (0.20) | 0.58 [0.40, 0.86] | -0.53 (0.52) | 0.59 [0.21, 1.63] | -0.49 (0.26) | 0.61 [0.37, 1.02] |
| Monthly×2018 | 0.34 (0.16) | 1.41 [1.03, 1.93] | -0.36 (0.23) | 0.70 [0.44, 1.10] | 0.11 (0.64) | 1.12 [0.32, 3.96] | 0.16 (0.28) | 1.17 [0.67, 2.04] |
| Weekly×2018 | 0.49 (0.21) | 1.64 [1.08, 2.47] | -0.30 (0.19) | 0.74 [0.51, 1.08] | -0.20 (0.48) | 0.82 [0.32, 2.12] | -0.11 (0.26) | 0.90 [0.53, 1.51] |
| Ready meals (2016) | |||
|---|---|---|---|
| Variable | (SE) | OR | 95% CI |
| Readability | 0.003 | 1.00 | [0.93, 1.09] |
| (0.040) | |||
| Pre-package Sandwich | abc | Pre-cooked Meat | |||||
|---|---|---|---|---|---|---|---|
| Variable | (SE) | OR | 95% CI | (SE) | OR | 95% CI | |
| Readability | -0.036 | 0.964 | [0.921, 1.010] | -0.012 | 0.988 | [0.944, 1.034] | |
| (0.023) | (0.023) | ||||||
| Variable | Category | 2012 | 2014 | 2016 | 2018 |
|---|---|---|---|---|---|
| Sex | Male | 3.42 (0.05) | 3.42 (0.05) | 3.38 (0.05) | 3.32 (0.05) |
| Female | 3.50 (0.06) | 3.49 (0.05) | 3.40 (0.06) | 3.46 (0.06) | |
| Age | 16-24 | 3.91 (0.12) | 4.03 (0.11) | 3.90 (0.14) | 4.23 (0.12) |
| 25-34 | 4.13 (0.07) | 3.97 (0.08) | 4.02 (0.08) | 4.07 (0.07) | |
| 35-44 | 2.87 (0.09) | 2.95 (0.09) | 2.87 (0.08) | 2.91 (0.09) | |
| 45-54 | 2.88 (0.07) | 2.91 (0.07) | 2.85 (0.06) | 2.58 (0.05) | |
| 55-64 | 3.93 (0.07) | 3.82 (0.07) | 3.90 (0.07) | 3.93 (0.07) | |
| 65+ | 3.11 (0.08) | 3.21 (0.07) | 3.16 (0.08) | 3.18 (0.09) | |
| Income | Low income | 3.30 (0.06) | 3.31 (0.05) | 3.20 (0.07) | 3.13 (0.06) |
| High income | 3.59 (0.05) | 3.55 (0.05) | 3.51 (0.05) | 3.53 (0.05) | |
| Religion | Christian | 3.67 (0.07) | 3.68 (0.05) | 3.51 (0.06) | 3.71 (0.06) |
| Other religion | 3.35 (0.05) | 3.33 (0.05) | 3.31 (0.05) | 3.11 (0.05) | |
| No religion | 3.60 (0.16) | 3.33 (0.21) | 3.54 (0.16) | 3.67 (0.15) | |
| Area | Urban | 3.50 (0.04) | 3.47 (0.04) | 3.41 (0.05) | 3.46 (0.05) |
| Rural | 3.21 (0.12) | 3.32 (0.10) | 3.32 (0.08) | 3.17 (0.09) | |
| Children at home | Yes | 3.35 (0.05) | 3.31 (0.05) | 3.24 (0.05) | 3.23 (0.05) |
| No | 3.75 (0.07) | 3.78 (0.06) | 3.75 (0.06) | 3.75 (0.07) | |
| Shopping responsability | All/Most | 3.38 (0.05) | 3.40 (0.04) | 3.37 (0.05) | 3.31 (0.05) |
| Sometimes/Never | 3.55 (0.06) | 3.51 (0.05) | 3.42 (0.06) | 3.48 (0.06) | |
| Country | England | 3.46 (0.05) | 3.46 (0.04) | 3.39 (0.05) | 3.39 (0.05) |
| Wales | 3.92 (0.09) | 3.44 (0.12) | 3.55 (0.09) | 3.59 (0.09) | |
| Northern Ireland | 3.23 (0.16) | 3.37 (0.07) | 3.29 (0.11) | 3.28 (0.08) | |
| Concern safe eating | High | 3.46 (0.05) | 3.46 (0.04) | 3.45 (0.04) | 3.38 (0.05) |
| Low | 3.46 (0.08) | 3.45 (0.09) | 3.18 (0.10) | 3.43 (0.08) | |
| Information seeking | Yes | 3.33 (0.09) | 3.19 (0.09) | 3.09 (0.09) | 3.21 (0.09) |
| No | 3.50 (0.05) | 3.50 (0.04) | 3.46 (0.04) | 3.44 (0.05) | |
| Pre-package sandwich | Never | 3.78 (0.09) | 3.75 (0.09) | 3.64 (0.09) | 3.66 (0.09) |
| Monthly | 3.59 (0.06) | 3.46 (0.06) | 3.45 (0.06) | 3.36 (0.06) | |
| Weekly | 3.27 (0.06) | 3.34 (0.05) | 3.25 (0.05) | 3.28 (0.07) | |
| Pre-cooked meat | Never | 3.45 (0.05) | 3.46 (0.05) | 3.44 (0.05) | 3.38 (0.05) |
| Monthly | 3.63 (0.09) | 3.48 (0.08) | 3.36 (0.09) | 3.45 (0.09) | |
| Weekly | 3.36 (0.08) | 3.42 (0.08) | 3.33 (0.07) | 3.37 (0.07) | |
| Diary | Never | 3.47 (0.04) | 3.46 (0.04) | 3.40 (0.04) | 3.39 (0.04) |
| Monthly | 3.44 (0.29) | 3.55 (0.27) | 3.22 (0.30) | 3.53 (0.19) | |
| Weekly | 3.30 (0.29) | 3.00 (0.23) | 3.20 (0.25) | 3.36 (0.19) | |
| Fresh eat | Never | 3.47 (0.09) | 3.47 (0.07) | 3.44 (0.07) | 3.37 (0.06) |
| Monthly | 3.44 (0.05) | 3.47 (0.05) | 3.38 (0.05) | 3.35 (0.05) | |
| Weekly | 3.73 (0.14) | 3.30 (0.13) | 3.37 (0.10) | 3.65 (0.11) |
Appendix B. Ready-to Eat Meals Consumption Patterns
| Food and You Survey | Category | 2012 | 2014 | 2016 | 2018 |
|---|---|---|---|---|---|
| n = 8954 | n = 2136 | n = 2336 | n = 2309 | n = 2173 | |
| Pre-package sandwich | Weekly | 369 (17.3%) | 455 (19.5%) | 415 (18.0%) | 437 (20.1%) |
| Monthly | 713 (33.4%) | 741 (31.7%) | 849 (36.8%) | 921 (42.4%) | |
| Never | 1054 (49.3%) | 1141 (48.8%) | 1045 (45.3%) | 815 (37.5%) | |
| Pre-cooked meat | Weekly | 1418 (66.4%) | 1505 (64.4%) | 1271 (55.0%) | 1107 (50.9%) |
| Monthly | 384 (18.0%) | 446 (19.1%) | 591 (25.6%) | 616 (28.4%) | |
| Never | 334 (15.7%) | 386 (16.5%) | 447 (19.4%) | 450 (20.7%) | |
| NDNS | n = 3019 | n = 795 | n = 764 | n = 758 | n = 702 |
| Ready-to-eat meals | Annually | 531 (66.7%) | 468 (61.2%) | 505 (67.0%) | 491 (70.0%) |
Appendix B.1. Ready-to-Eat Meals list in NDNS 2008-2019
- MANUFACTURED BEEF PRODUCTS INCLUDING READY MEALS
- MANUFACTURED CANNED TUNA PRODUCTS INCL READY MEALS
- MANUFACTURED CHICKEN PRODUCTS INCL READY MEALS
- MANUFACTURED COATED CHICKEN / TURKEY PRODUCTS
- MANUFACTURED EGG PRODUCTS INCLUDING READY MEALS
- MANUFACTURED LAMB PRODUCTS INCLUDING READY MEALS
- MANUFACTURED MEAT PIES AND PASTRIES
- MANUFACTURED OILY FISH PRODUCTS INCL READY MEALS
- MANUFACTURED PORK PRODUCTS INCLUDING READY MEALS
- MANUFACTURED SHELLFISH PRODUCTS INCL READY MEALS
- MANUFACTURED WHITE FISH PRODUCTS INCL READY MEALS
- MEAT ALTERNATIVES INCL READY MEALS & HOMEMADE DISH
- OTHER MEAT PRODUCTS MANUFACTURED INCL READY MEALS
- READY MEALS BASED ON SAUSAGES
Appendix B.2. Transportability Analysis
| Characteristic | Level | Food & You | NDNS Target |
|---|---|---|---|
| (Unweighted) | (Weighted) | ||
| (N = 8949) | (N = 1988) | ||
| Sex | |||
| Male | 4470 (49.9%) | 853 (42.9%) | |
| Female | 4479 (50.1%) | 1135 (57.1%) | |
| Age Group | |||
| 16-24 | 996 (11.1%) | 201 (10.1%) | |
| 25-34 | 1556 (17.4%) | 302 (15.2%) | |
| 35-44 | 1542 (17.2%) | 335 (16.9%) | |
| 45-54 | 1764 (19.7%) | 352 (17.7%) | |
| 55-64 | 1232 (13.8%) | 311 (15.6%) | |
| 65+ | 1859 (20.8%) | 487 (24.5%) | |
| Household Size | |||
| 1 | 1548 (17.3%) | 512 (25.8%) | |
| 2 | 3315 (37.0%) | 697 (35.1%) | |
| 3 | 1697 (18.9%) | 304 (15.3%) | |
| 4+ | 2389 (26.7%) | 475 (23.9%) | |
| Marital Status | |||
| Married/Similar | 5294 (59.2%) | 923 (46.4%) | |
| Single/Similar | 3655 (40.8%) | 1065 (53.6%) | |
| Children at home | |||
| No | 6291 (70.3%) | 1623 (81.6%) | |
| Yes | 2658 (29.7%) | 365 (18.4%) | |
| Income Tercile | |||
| Lowest | 4539 (49.3%) | 509 (25.6%) | |
| Middle | 2657 (28.9%) | 557 (28.0%) | |
| Highest | 2006 (21.8%) | 682 (34.3%) | |
| Missing | 0 (0.0%) | 240 (12.1%) | |
| Country | |||
| England | 8232 (91.9%) | 1461 (73.5%) | |
| Wales | 456 (5.1%) | 286 (14.4%) | |
| N. Ireland | 261 (2.9%) | 241 (12.1%) |

| Transported (Demographics Model) | Transported (Fully Adjusted Model) | |||
|---|---|---|---|---|
| Variable | (SE) | OR [95% CI] | (SE) | OR [95% CI] |
| Pre-package Sandwich | ||||
| Readability | -0.11 (0.05) | 0.89 [0.81, 0.99] | -0.21 (0.07) | 0.81 [0.70, 0.92] |
| Year (vs. 2012) | ||||
| 2014 | -0.38 (0.28) | 0.68 [0.39, 1.18] | -0.59 (0.31) | 0.55 [0.30, 1.01] |
| 2016 | -0.40 (0.26) | 0.67 [0.40, 1.12] | -0.92 (0.32) | 0.40 [0.21, 0.74] |
| 2018 | -0.94 (0.26) | 0.39 [0.23, 0.66] | -1.36 (0.31) | 0.26 [0.14, 0.47] |
| Interactions | ||||
| Readability × 2014 | 0.07 (0.08) | 1.07 [0.92, 1.25] | 0.13 (0.09) | 1.14 [0.95, 1.36] |
| Readability × 2016 | 0.05 (0.07) | 1.05 [0.91, 1.21] | 0.17 (0.09) | 1.19 [1.00, 1.42] |
| Readability × 2018 | 0.13 (0.07) | 1.13 [0.98, 1.30] | 0.23 (0.09) | 1.26 [1.06, 1.50] |
| Pre-cooked Meat | ||||
| Readability | 0.08 (0.05) | 1.08 [0.98, 1.19] | 0.01 (0.06) | 1.01 [0.90, 1.14] |
| Year (vs. 2012) | ||||
| 2014 | 0.28 (0.26) | 1.33 [0.80, 2.20] | -0.23 (0.32) | 0.80 [0.42, 1.49] |
| 2016 | 0.85 (0.24) | 2.35 [1.47, 3.75] | 0.67 (0.29) | 1.96 [1.11, 3.46] |
| 2018 | 0.87 (0.23) | 2.39 [1.53, 3.74] | 0.49 (0.28) | 1.62 [0.94, 2.80] |
| Interactions | ||||
| Readability × 2014 | -0.08 (0.07) | 0.93 [0.81, 1.07] | 0.05 (0.08) | 1.05 [0.89, 1.23] |
| Readability × 2016 | -0.12 (0.07) | 0.89 [0.78, 1.01] | -0.09 (0.08) | 0.91 [0.78, 1.07] |
| Readability × 2018 | -0.08 (0.07) | 0.92 [0.81, 1.05] | 0.03 (0.08) | 1.03 [0.88, 1.19] |
References
- Rauber, F.; Steele, E.M.; Louzada, M.L.d.C.; Millett, C.; Monteiro, C.A.; Levy, R.B. Ultra-processed food consumption and indicators of obesity in the United Kingdom population (2008-2016). PloS one 2020, 15, e0232676. [Google Scholar] [CrossRef] [PubMed]
- Rauber, F.; Chang, K.; Vamos, E.P.; da Costa Louzada, M.L.; Monteiro, C.A.; Millett, C.; Levy, R.B. Ultra-processed food consumption and risk of obesity: a prospective cohort study of UK Biobank. European journal of nutrition 2021, 60, 2169–2180. [Google Scholar] [CrossRef] [PubMed]
- Vandevijvere, S.; Barquera, S.; Caceres, G.; Corvalan, C.; Karupaiah, T.; Kroker-Lobos, M.F.; L’Abbé, M.; Ng, S.H.; Phulkerd, S.; Ramirez-Zea, M.; et al. An 11-country study to benchmark the implementation of recommended nutrition policies by national governments using the Healthy Food Environment Policy Index, 2015-2018. Obesity Reviews 2019, 20, 57–66. [Google Scholar] [CrossRef] [PubMed]
- Luli, M.; Yeo, G.; Farrell, E.; Ogden, J.; Parretti, H.; Frew, E.; Bevan, S.; Brown, A.; Logue, J.; Menon, V.; et al. The implications of defining obesity as a disease: a report from the Association for the Study of Obesity 2021 annual conference. EClinicalMedicine 2023, 58. [Google Scholar] [CrossRef]
- Nardocci, M.; Leclerc, B.S.; Louzada, M.L.; Monteiro, C.A.; Batal, M.; Moubarac, J.C. Consumption of ultra-processed foods and obesity in Canada. Canadian Journal of Public Health 2019, 110, 4–14. [Google Scholar] [CrossRef]
- Costa-Font, M.; Dogbe, W.; Revoredo-Giha, C. Ready Meals in the UK: An Analysis Based on Their Nutritional and Sustainable Claims 2021.
- Alkerwi, A.; Crichton, G.E.; Hébert, J.R. Consumption of ready-made meals and increased risk of obesity: findings from the Observation of Cardiovascular Risk Factors in Luxembourg (ORISCAV-LUX) study. British Journal of Nutrition 2015, 113, 270–277. [Google Scholar] [CrossRef]
- Braesco, V.; Souchon, I.; Sauvant, P.; Haurogné, T.; Maillot, M.; Féart, C.; Darmon, N. Ultra-processed foods: how functional is the NOVA system? European Journal of Clinical Nutrition 2022, 76, 1245–1253. [Google Scholar] [CrossRef]
- Hillier, S.; Nunn, O.; Lorrain-Smith, K. An analysis of the nutritional value of UK supermarket ready meals. Proceedings of the Nutrition Society 2020, 79, E794. [Google Scholar] [CrossRef]
- .
- Agency, F.S. Guide to creating a front of pack (FoP) nutrition label for pre-packed products sold through retail outlets, 2016.
- Fichera, E.; von Hinke, S. The response to nutritional labels: Evidence from a quasi-experiment. Journal of Health Economics 2020, 72, 102326. [Google Scholar] [CrossRef]
- Dicken, S.J.; Batterham, R.L.; Brown, A. Nutrients or processing? An analysis of food and drink items from the UK National Diet and Nutrition Survey based on nutrient content, the NOVA classification and front of package traffic light labelling. British Journal of Nutrition 2024, 131, 1619–1632. [Google Scholar] [CrossRef]
- Madruga, M.; Steele, E.M.; Reynolds, C.; Levy, R.B.; Rauber, F. Trends in food consumption according to the degree of food processing among the UK population over 11 years. British Journal of Nutrition 2023, 130, 476–483. [Google Scholar] [CrossRef] [PubMed]
- Araya, S.; Elberg, A.; Noton, C.; Schwartz, D. Identifying Food Labeling Effects on Consumer Behavior. SSRN Electronic Journal 2019. [Google Scholar] [CrossRef]
- Griffith, R.; O’Connell, M.; Smith, K. The Importance of Product Reformulation Versus Consumer Choice in Improving Diet Quality. Economica 2017, 84. [Google Scholar] [CrossRef]
- Taillie, L.S.; Hall, M.G.; Popkin, B.M.; Ng, S.W.; Murukutla, N. Experimental studies of front-of-package nutrient warning labels on sugar-sweetened beverages and ultra-processed foods: a scoping review. Nutrients 2020, 12, 569. [Google Scholar] [CrossRef]
- of Health, D.; Care, S. Building on the Success of Front-of-Pack Nutrition Labelling in the UK: A Public Consultation.
- Hawkes, C. Nutrition labels and health claims: the global regulatory environment. In Nutrition labels and health claims: the global regulatory environment; 2004; pp. x–74.
- Helfer, P.; Shultz, T.R. The effects of nutrition labeling on consumer food choice: a psychological experiment and computational model. Annals of the New York Academy of Sciences 2014, 1331, 174–185. [Google Scholar] [CrossRef]
- Shangguan, S.; Afshin, A.; Shulkin, M.; Ma, W.; Marsden, D.; Smith, J.; Saheb-Kashaf, M.; Shi, P.; Micha, R.; Imamura, F.; et al. A Meta-Analysis of Food Labeling Effects on Consumer Diet Behaviors and Industry Practices. American journal of preventive medicine 2019, 56, 300–314. [Google Scholar] [CrossRef]
- European Commission. The Food and Beverage Market Entry Handbook: UNITED KINGDOM. A Practical Guide to the Market in the UK for European Agri-food Products. Market entry handbook, European Commission, 2021. Accessed , 2025. 1 August.
- Mazzocchi, M.; Capacci, S.; Biondi, B. Causal inference on the impact of nutrition policies using observational data. Bio-based and Applied Economics Journal 2022, 11, 3–20. [Google Scholar] [CrossRef]
- Song, J.; Brown, M.K.; Tan, M.; MacGregor, G.A.; Webster, J.; Campbell, N.R.; Trieu, K.; Mhurchu, C.N.; Cobb, L.K.; He, F.J. Impact of color-coded and warning nutrition labelling schemes: A systematic review and network meta-analysis. PLoS medicine 2021, 18, e1003765. [Google Scholar] [CrossRef]
- Goodman, M.; Finnegan, R.; Mohadjer, L.; Krenzke, T.; Hogan, J. Literacy, Numeracy, and Problem Solving in Technology-Rich Environments among US Adults: Results from the Program for the International Assessment of Adult Competencies 2012. First Look. NCES 2014-008. National center for education statistics 2013.
- Cooper, K.; Gasper, W.; Flores, R.; Clarke, M.; Bass, E.; Evans, L.; Ponce, J. Exploring the Readability of Ingredients Lists of Food Labels with Existing Metrics. AMIA Summits on Translational Science Proceedings 2022, 2022, 159. [Google Scholar]
- Acton, R.B.; Rynard, V.L.; Adams, J.; Bhawra, J.; Cameron, A.J.; Contreras-Manzano, A.; Davis, R.E.; Jáuregui, A.; Sacks, G.; Thrasher, J.F.; et al. Awareness, use and understanding of nutrition labels among adults from five countries: findings from the 2018–2020 International Food Policy Study. Appetite 2023, 180, 106311. [Google Scholar] [CrossRef]
- Ayres, P.; Paas, F. Cognitive load theory: New directions and challenges, 2012.
- Grunert, K.G.; Wills, J.M. A review of European research on consumer response to nutrition information on food labels. Journal of public health 2007, 15, 385–399. [Google Scholar] [CrossRef]
- Talati, Z.; Egnell, M.; Hercberg, S.; Julia, C.; Pettigrew, S. Consumers’ perceptions of five front-of-package nutrition labels: An experimental study across 12 countries. Nutrients 2019, 11, 1934. [Google Scholar] [CrossRef] [PubMed]
- Dubois, P.; Albuquerque, P.; Allais, O.; Bonnet, C.; Bertail, P.; Combris, P.; Lahlou, S.; Rigal, N.; Ruffieux, B.; Chandon, P. Effects of front-of-pack labels on the nutritional quality of supermarket food purchases: evidence from a large-scale randomized controlled trial. Journal of the Academy of Marketing Science volume 2021. [Google Scholar] [CrossRef]
- Crosetto, P.; Lacroix, A.; Muller, L.; Ruffieux, B. Nutritional and economic impact of five alternative front-of-pack nutritional labels: experimental evidence 2020. [CrossRef]
- Mazzù, M.F.; Romani, S.; Gambicorti, A. Effects on consumers’ subjective understanding of a new front-of-pack nutritional label: a study on Italian consumers. International journal of food sciences and nutrition 2021, 72, 357–366. [Google Scholar] [CrossRef]
- Mazzù, M.F.; Romani, S.; Baccelloni, A.; Gambicorti, A. A cross-country experimental study on consumers’ subjective understanding and liking on front-of-pack nutrition labels. International Journal of Food Sciences and Nutrition 2021, 72, 833–847. [Google Scholar] [CrossRef]
- Packer, J.; Russell, S.J.; Ridout, D.; Conolly, A.; Jessop, C.; Viner, R.M.; Croker, H. Secondary Outcomes of a Front-of-Pack-Labelling Randomised Controlled Experiment in a Representative British Sample: Understanding, Ranking Speed and Perceptions. Nutrients 2022, 14, 2188. [Google Scholar] [CrossRef]
- Folwarczny, M.; Sigurdsson, V.; Menon, R.V.; Otterbring, T. Consumer susceptibility to front-of-package (FOP) food labeling: Scale development and validation. Appetite 2024, 192, 107097. [Google Scholar] [CrossRef]
- Martin, S. Measuring cognitive load and cognition: metrics for technology-enhanced learning. In Technology-Enhanced and Collaborative Learning; Routledge, 2018; pp. 77–106.
- Mcinnes, N.; Haglund, B.J. Readability of online health information: implications for health literacy. Informatics for health and social care 2011, 36, 173–189. [Google Scholar] [CrossRef]
- Crossley, S.; Heintz, A.; Choi, J.S.; Batchelor, J.; Karimi, M.; Malatinszky, A. A large-scaled corpus for assessing text readability. Behavior Research Methods 2023, 55, 491–507. [Google Scholar] [CrossRef]
- Pires, C.; Vigário, M.; Cavaco, A. Graphical content of medicinal package inserts: an exploratory study to evaluate potential legibility issues. Health Information & Libraries Journal 2016, 33, 121–139. [Google Scholar]
- Green, E.C.; Murphy, E.M.; Gryboski, K. The health belief model. The Wiley encyclopedia of health psychology 2020, pp. 211–214.
- González-Castro, J.L.; Ubillos-Landa, S.; Puente-Martínez, A.; Gracia-Leiva, M. Perceived vulnerability and severity predict adherence to COVID-19 protection measures: the mediating role of instrumental coping. Frontiers in Psychology 2021, 12, 674032. [Google Scholar] [CrossRef]
- Wang, Y.; Wang, J.; Shen, Q. A consumer segmentation study of nutrition information seeking and its relation to food consumption in Beijing, China. Foods 2022, 11, 453. [Google Scholar] [CrossRef] [PubMed]
- Scarborough, P.; Matthews, A.; Eyles, H.; Kaur, A.; Hodgkins, C.; Raats, M.M.; Rayner, M. Reds are more important than greens: how UK supermarket shoppers use the different information on a traffic light nutrition label in a choice experiment. International Journal of Behavioral Nutrition and Physical Activity 2015, 12, 1–9. [Google Scholar] [CrossRef] [PubMed]
- Scarborough, P.; Hodgkins, C.; Raats, M.M.; Harrington, R.A.; Cowburn, G.; Dean, M.; Doherty, A.; Foster, C.; Juszczak, E.; Matthews, A.; et al. Protocol for a pilot randomised controlled trial of an intervention to increase the use of traffic light food labelling in UK shoppers (the FLICC trial). Pilot and feasibility studies 2015, 1, 1–11. [Google Scholar] [CrossRef] [PubMed]
- Barahona, N.; Otero, C.; Otero, S. Equilibrium effects of food labeling policies. Econometrica 2023, 91, 839–868. [Google Scholar] [CrossRef]
- Coryn, C.L.; Hobson, K.A. Using nonequivalent dependent variables to reduce internal validity threats in quasi-experiments: Rationale, history, and examples from practice. New Directions for Evaluation 2011, 2011, 31–39. [Google Scholar] [CrossRef]
- Schweizer, M.L.; Braun, B.I.; Milstone, A.M. Research methods in healthcare epidemiology and antimicrobial stewardship—quasi-experimental designs. Infection control & hospital epidemiology 2016, 37, 1135–1140. [Google Scholar]
- Wagenaar, B.H.; Sherr, K.; Fernandes, Q.; Wagenaar, A.C. Using routine health information systems for well-designed health evaluations in low-and middle-income countries. Health policy and planning 2016, 31, 129–135. [Google Scholar] [CrossRef]
- Hunter, P.R.; Colón-González, F.J.; Brainard, J.; Rushton, S. Impact of non-pharmaceutical interventions against COVID-19 in Europe in 2020: a quasi-experimental non-equivalent group and time series design study. Eurosurveillance 2021, 26, 2001401. [Google Scholar] [CrossRef]
- Meda, I.B.; Kouanda, S.; Ridde, V. Effect of cost-reduction interventions on facility-based deliveries in Burkina Faso: a controlled interrupted time-series study with multiple non-equivalent dependent variables. J Epidemiol Community Health 2023, 77, 133–139. [Google Scholar] [CrossRef]
- Chatfield, S.L.; Mumaw, E.; Davis, T.; Hallam, J.S. Pre-test data and lessons learned from a group research project examining changes in physical activity behavior following construction of a rails-to-trails facility. Journal of community health 2014, 39, 386–393. [Google Scholar] [CrossRef]
- Reynolds, J.J. Improving the assessment of teaching effectiveness with the nonequivalent dependent variables approach. Teaching of Psychology 2022, 49, 381–387. [Google Scholar] [CrossRef]
- Reyes, M.; Taillie, L.S.; Popkin, B.; Kanter, R.; Vandevijvere, S.; Corvalán, C. Changes in the amount of nutrient of packaged foods and beverages after the initial implementation of the Chilean Law of Food Labelling and Advertising: A nonexperimental prospective study, 2020. [CrossRef]
- Sacks, G.; Rayner, M.; Swinburn, B. Impact of front-of-pack ‘traffic-light’nutrition labelling on consumer food purchases in the UK. Health promotion international 2009, 24, 344–352. [Google Scholar] [CrossRef]
- Hughes, J.P.; Weick, M.; Vasiljevic, M. Impact of pictorial warning labels on meat meal selection: A randomised experimental study with UK meat consumers. Appetite 2023, 190, 107026. [Google Scholar] [CrossRef]
- Allais, O.; Etilé, F.; Lecocq, S. Mandatory labels, taxes and market forces: An empirical evaluation of fat policies. Journal of Health Economics 2015, 43, 27–44. [Google Scholar] [CrossRef] [PubMed]
- Food Standards Agency and National Centre for Social Research (NatCen). Food and You, Waves 1-5 Data, 2010-2018. Food Standards Agency, 2019. [data file].
- Aceves-Martins, M.; Bates, R.L.; Craig, L.C.; Chalmers, N.; Horgan, G.; Boskamp, B.; de Roos, B. Nutritional quality, environmental impact and cost of ultra-processed foods: a UK food-based analysis. International journal of environmental research and public health 2022, 19, 3191. [Google Scholar] [CrossRef] [PubMed]
- Odoms-Young, A.M.; Kong, A.; Schiffer, L.A.; Porter, S.J.; Blumstein, L.; Bess, S.; Berbaum, M.L.; Fitzgibbon, M.L. Evaluating the initial impact of the revised Special Supplemental Nutrition Program for Women, Infants, and Children (WIC) food packages on dietary intake and home food availability in African-American and Hispanic families. Public health nutrition 2014, 17, 83–93. [Google Scholar] [CrossRef] [PubMed]
- Capasso, M.; Califano, G.; Caracciolo, F.; Caso, D. Only the best for my kids: An extended TPB model to understand mothers’ use of food labels. Appetite 2023, 191, 107040. [Google Scholar] [CrossRef]
- Robinson, S.; Marriott, L.; Poole, J.; Crozier, S.; Borland, S.; Lawrence, W.; Law, C.; Godfrey, K.; Cooper, C.; Inskip, H.; et al. Dietary patterns in infancy: the importance of maternal and family influences on feeding practice. British Journal of Nutrition 2007, 98, 1029–1037. [Google Scholar] [CrossRef]
- Smith, L.P.; Ng, S.W.; Popkin, B.M. Trends in US home food preparation and consumption: analysis of national nutrition surveys and time use studies from 1965–1966 to 2007–2008. Nutrition journal 2013, 12, 1–10. [Google Scholar] [CrossRef]
- Koch, F.; Hoffmann, I.; Claupein, E. Types of nutrition knowledge, their socio-demographic determinants and their association with food consumption: results of the NEMONIT study. Frontiers in nutrition 2021, 8, 630014. [Google Scholar] [CrossRef] [PubMed]
- Neelon, S.E.B.; Burgoine, T.; Gallis, J.A.; Monsivais, P. Spatial analysis of food insecurity and obesity by area-level deprivation in children in early years settings in England. Spatial and Spatio-temporal Epidemiology 2017, 23, 1–9. [Google Scholar] [CrossRef] [PubMed]
- R Core Team. R: A Language and Environment for Statistical Computing. R Foundation for Statistical Computing, Vienna, Austria, 2021.
- Dahabreh, I.J.; Robertson, S.E.; Steingrimsson, J.A.; Stuart, E.A.; Hernan, M.A. Extending inferences from a randomized trial to a new target population. Statistics in medicine 2020, 39, 1999–2014. [Google Scholar] [CrossRef]
- Ackerman, B.; Lesko, C.R.; Siddique, J.; Susukida, R.; Stuart, E.A. Generalizing randomized trial findings to a target population using complex survey population data. Statistics in medicine 2021, 40, 1101–1120. [Google Scholar] [CrossRef] [PubMed]
- Ling, A.Y.; Montez-Rath, M.E.; Carita, P.; Chandross, K.J.; Lucats, L.; Meng, Z.; Sebastien, B.; Kapphahn, K.; Desai, M. An overview of current methods for real-world applications to generalize or transport clinical trial findings to target populations of interest. Epidemiology 2023, 34, 627–636. [Google Scholar] [CrossRef]
- Bix, L.; Sundar, R.P.; Bello, N.M.; Peltier, C.; Weatherspoon, L.J.; Becker, M.W. To See or Not to See: Do Front of Pack Nutrition Labels Affect Attention to Overall Nutrition Information? PLOS ONE 2015, 10, e0139732. [Google Scholar] [CrossRef]
- Public Health England. Calorie reduction: The scope and ambition for action. Technical report, Public Health England, London, 2018. Accessed: 2025-08-01.
- Schmälzle, R.; Renner, B.; Schupp, H.T. Health risk perception and risk communication. Policy Insights from the Behavioral and Brain Sciences 2017, 4, 163–169. [Google Scholar] [CrossRef]
- Howard, S.; Adams, J.; White, M. Nutritional content of supermarket ready meals and recipes by television chefs in the United Kingdom: cross sectional study. Bmj 2012, 345. [Google Scholar] [CrossRef]
- Franckle, R.L.; Levy, D.E.; Macias-Navarro, L.; Rimm, E.B.; Thorndike, A.N. Traffic-light labels and financial incentives to reduce sugar-sweetened beverage purchases by low-income Latino families: a randomized controlled trial. Public health nutrition 2018, 21, 1426–1434. [Google Scholar] [CrossRef]
- Nguyen, L.; De Steur, H. Public Acceptability of Policy interventions to reduce sugary drink consumption in Urban Vietnam. Sustainability 2021, 13, 13422. [Google Scholar] [CrossRef]
- Griffith, R.; O’Connell, M.; Smith, K. Shopping around: how households adjusted food spending over the great recession. Economica 2016, 83, 247–280. [Google Scholar] [CrossRef]
- Liu, P.J.; Wisdom, J.; Roberto, C.A.; Liu, L.J.; Ubel, P.A. Using behavioral economics to design more effective food policies to address obesity. Applied Economic Perspectives and Policy 2014, 36, 6–24. [Google Scholar] [CrossRef]
- Congiu, L.; Moscati, I. A review of nudges: Definitions, justifications, effectiveness. Journal of Economic Surveys 2022, 36, 188–213. [Google Scholar] [CrossRef]
- Loewenstein, G.; Sunstein, C.R.; Golman, R. Disclosure: Psychology changes everything. Annu. Rev. Econ. 2014, 6, 391–419. [Google Scholar] [CrossRef]
- Chavez-Ugalde, I.Y.; de Vocht, F.; Jago, R.; Adams, J.; Ong, K.K.; Forouhi, N.G.; Colombet, Z.; Ricardo, L.I.; van Sluijs, E.; Toumpakari, Z. Ultra-processed food consumption in UK adolescents: distribution, trends, and sociodemographic correlates using the National Diet and Nutrition Survey 2008/09 to 2018/19. European journal of nutrition 2024, 63, 2709–2723. [Google Scholar] [CrossRef]
- Clifford Astbury, C.; Penney, T.L.; Adams, J. Comparison of individuals with low versus high consumption of home-prepared food in a group with universally high dietary quality: a cross-sectional analysis of the UK National Diet & Nutrition Survey (2008–2016). International Journal of Behavioral Nutrition and Physical Activity 2019, 16, 9. [Google Scholar]
- Hayes-Larson, E.; Zhou, Y.; Wu, Y.; Rojas-Saunero, L.P.; Seamans, M.J.; Gee, G.C.; Brookmeyer, R.; Gilsanz, P.; Whitmer, R.A.; Mayeda, E.R. Estimating dementia incidence in insured older Asian Americans and Pacific Islanders in California: an application of inverse odds of selection weights. American journal of epidemiology 2025, 194, 1304–1313. [Google Scholar] [CrossRef]
- Ramagopalan, S.V.; Popat, S.; Gupta, A.; Boyne, D.J.; Lockhart, A.; Hsu, G.; O’Sullivan, D.E.; Inskip, J.; Ray, J.; Cheung, W.Y.; et al. Transportability of overall survival estimates from US to Canadian patients with advanced non–small cell lung cancer with implications for regulatory and health technology assessment. JAMA Network Open 2022, 5, e2239874. [Google Scholar] [CrossRef]
- Public Health England., and Food Standards Agency. National Diet and Nutrition Survey Rolling Programme, Years 1-15, 2008-2023, 2024. [data collection]. UK Data Service. 6: SN, 6533. [CrossRef]
- Coffman, D.L.; Zhou, J.; Cai, X. Comparison of methods for handling covariate missingness in propensity score estimation with a binary exposure. BMC medical research methodology 2020, 20, 168. [Google Scholar] [CrossRef]
- DuGoff, E.H.; Schuler, M.; Stuart, E.A. Generalizing observational study results: applying propensity score methods to complex surveys. Health services research 2014, 49, 284–303. [Google Scholar] [CrossRef]



| Pre-package Sandwich | Pre-cooked Meat | Dairy | Fresh Meat | |||||||||
|---|---|---|---|---|---|---|---|---|---|---|---|---|
| Category | Never | Monthly | Weekly | Never | Monthly | Weekly | Never | Monthly | Weekly | Never | Monthly | Weekly |
| n = 8948 | 4052 | 3221 | 1675 | 1615 | 2035 | 5298 | 246 | 203 | 8498 | 789 | 2197 | 5963 |
| Sex | ||||||||||||
| Male | 54.2 | 51.3 | 37.6 | 55.0 | 54.0 | 47.0 | 53.6 | 52.9 | 49.9 | 59.4 | 55.1 | 46.9 |
| Female | 45.8 | 48.7 | 62.4 | 45.0 | 46.0 | 53.0 | 46.4 | 47.1 | 50.1 | 40.6 | 44.9 | 53.1 |
| Age | ||||||||||||
| 18-24 | 7.7 | 10.9 | 19.9 | 14.6 | 9.0 | 10.9 | 8.1 | 14.7 | 11.1 | 12.5 | 10.7 | 11.1 |
| 25-34 | 14.2 | 18.1 | 23.8 | 19.3 | 18.4 | 16.4 | 18.1 | 21.1 | 17.3 | 17.4 | 17.8 | 17.2 |
| 35-44 | 15.5 | 18.1 | 19.7 | 18.2 | 15.4 | 17.6 | 18.5 | 15.7 | 17.2 | 19.1 | 17.7 | 16.8 |
| 45-54 | 19.1 | 20.3 | 20.0 | 20.8 | 17.8 | 20.1 | 19.3 | 20.6 | 19.7 | 20.2 | 21.0 | 19.2 |
| 55-64 | 15.7 | 14.3 | 8.2 | 11.2 | 14.7 | 14.2 | 19.2 | 12.5 | 13.7 | 11.7 | 14.2 | 13.9 |
| 65+ | 27.8 | 18.4 | 8.4 | 15.9 | 24.7 | 20.7 | 16.8 | 15.5 | 21.0 | 19.1 | 18.6 | 21.8 |
| Religion | ||||||||||||
| Christian | 63.8 | 58.0 | 48.7 | 42.1 | 59.5 | 63.8 | 55.5 | 54.0 | 59.1 | 42.4 | 57.4 | 61.6 |
| Other religion | 6.9 | 6.3 | 9.4 | 22.8 | 6.2 | 2.8 | 8.9 | 6.8 | 7.1 | 15.9 | 6.4 | 6.3 |
| No religion | 29.3 | 35.7 | 41.9 | 35.2 | 34.3 | 33.5 | 35.6 | 39.1 | 33.8 | 41.7 | 36.2 | 32.1 |
| Marital status | ||||||||||||
| Married | 39.0 | 37.5 | 51.7 | 44.3 | 41.2 | 39.6 | 46.3 | 51.8 | 40.4 | 45.4 | 42.4 | 39.6 |
| Single | 61.0 | 62.5 | 48.3 | 55.7 | 58.8 | 60.4 | 53.7 | 48.2 | 59.6 | 54.6 | 57.6 | 60.4 |
| Household size | ||||||||||||
| 1 | 19.5 | 14.2 | 17.9 | 16.5 | 20.1 | 16.5 | 25.3 | 24.7 | 16.9 | 20.5 | 19.6 | 16.0 |
| 2 | 38.7 | 39.3 | 28.7 | 30.8 | 41.4 | 37.3 | 30.8 | 29.7 | 37.4 | 29.5 | 36.2 | 38.3 |
| 3 | 17.4 | 18.3 | 24.2 | 21.2 | 17.9 | 18.7 | 17.6 | 18.3 | 19.0 | 21.8 | 17.7 | 19.1 |
| 4 | 24.4 | 28.2 | 29.2 | 31.6 | 20.7 | 27.5 | 26.3 | 27.3 | 26.7 | 28.3 | 26.5 | 26.6 |
| Children at home | ||||||||||||
| Yes | 72.6 | 68.8 | 67.7 | 64.4 | 75.8 | 70.0 | 75.3 | 69.3 | 70.2 | 65.6 | 69.8 | 71.1 |
| No | 27.4 | 31.2 | 32.3 | 35.6 | 24.2 | 30.0 | 24.7 | 30.7 | 29.8 | 34.4 | 30.2 | 28.9 |
| Income | ||||||||||||
| Low | 53.8 | 66.6 | 68.9 | 57.7 | 62.5 | 61.8 | 53.8 | 59.2 | 61.5 | 59.8 | 59.9 | 61.9 |
| High | 46.2 | 33.4 | 31.1 | 42.3 | 37.5 | 38.2 | 46.2 | 40.8 | 38.5 | 40.2 | 40.1 | 38.1 |
| Area | ||||||||||||
| Urban | 17.2 | 19.1 | 12.3 | 13.4 | 19.0 | 17.3 | 13.8 | 9.6 | 17.2 | 14.4 | 16.2 | 17.6 |
| Rural | 82.8 | 80.9 | 87.7 | 86.6 | 81.0 | 82.7 | 86.2 | 90.4 | 82.8 | 85.6 | 83.8 | 82.4 |
| Country | ||||||||||||
| England | 91.1 | 92.2 | 93.8 | 93.7 | 92.9 | 91.1 | 94.0 | 92.5 | 91.9 | 93.8 | 93.1 | 91.3 |
| Wales | 5.4 | 5.2 | 4.2 | 4.2 | 4.9 | 5.4 | 3.0 | 4.5 | 5.2 | 4.5 | 4.7 | 5.3 |
| Northern Ireland | 3.5 | 2.6 | 2.0 | 2.0 | 2.2 | 3.4 | 3.0 | 3.0 | 2.9 | 1.7 | 2.1 | 3.3 |
| Pre-package Sandwich | Pre-cooked Meat | Dairy | Fresh Meat | |||||||||
|---|---|---|---|---|---|---|---|---|---|---|---|---|
| Category | Never | Monthly | Weekly | Never | Monthly | Weekly | Never | Monthly | Weekly | Never | Monthly | Weekly |
| n = 8948 | 4052 | 3221 | 1675 | 1615 | 2035 | 5298 | 246 | 203 | 8498 | 789 | 2197 | 5963 |
| Shopping | ||||||||||||
| responsability | ||||||||||||
| All/Most | 56.3 | 50.9 | 43.4 | 51.7 | 56.2 | 50.4 | 58.9 | 53.6 | 51.7 | 53.1 | 54.3 | 50.9 |
| Sometimes/Never | 43.7 | 49.1 | 56.6 | 48.3 | 43.8 | 49.6 | 41.1 | 46.4 | 48.3 | 46.9 | 45.7 | 49.1 |
| Concerns | ||||||||||||
| safe eating | ||||||||||||
| High | 22.2 | 17.7 | 25.8 | 24.8 | 20.3 | 20.5 | 34.3 | 24.9 | 20.8 | 21.1 | 21.3 | 21.2 |
| Low | 77.8 | 82.3 | 74.2 | 75.2 | 79.7 | 79.5 | 65.7 | 75.1 | 79.2 | 78.9 | 78.7 | 78.8 |
| Information | ||||||||||||
| seeking | ||||||||||||
| Yes | 79.5 | 83.7 | 84.1 | 81.4 | 82.4 | 81.8 | 83.4 | 80.2 | 81.9 | 81.7 | 82.8 | 81.5 |
| No | 20.5 | 16.3 | 15.9 | 18.6 | 17.6 | 18.2 | 16.6 | 19.8 | 18.1 | 18.3 | 17.2 | 18.5 |
| Year | ||||||||||||
| 2012 | 26.0 | 22.1 | 22.0 | 20.7 | 18.8 | 26.8 | 15.3 | 13.9 | 24.3 | 18.1 | 17.5 | 27.0 |
| 2014 | 28.2 | 23.0 | 27.1 | 23.8 | 21.9 | 28.4 | 21.8 | 28.2 | 26.2 | 20.4 | 20.5 | 28.9 |
| 2016 | 25.8 | 26.4 | 24.8 | 27.7 | 29.1 | 24.0 | 26.2 | 17.6 | 26.0 | 32.1 | 28.2 | 24.1 |
| 2018 | 20.1 | 28.6 | 26.0 | 27.8 | 30.2 | 20.8 | 36.7 | 40.3 | 23.5 | 29.4 | 33.7 | 20.1 |
| Pre-package Sandwich | Pre-cooked Meat | Dairy | Fresh Meat | |||||
|---|---|---|---|---|---|---|---|---|
| Variable | (SE) | OR [95% CI] | (SE) | OR [95% CI] | (SE) | OR [95% CI] | (SE) | OR [95% CI] |
| Readability | -0.10 (0.04) | 0.91 [0.83, 0.99] | 0.03 (0.03) | 1.03 [0.96, 1.10] | -0.07 (0.05) | 0.93 [0.84, 1.03] | 0.05 (0.04) | 1.05 [0.96, 1.14] |
| Year (vs. 2012) | ||||||||
| 2014 | -0.28 (0.23) | 0.76 [0.49, 1.18] | 0.15 (0.21) | 1.16 [0.77, 1.75] | 0.02 (0.26) | 1.02 [0.61, 1.70] | 0.27 (0.25) | 1.31 [0.81, 2.12] |
| 2016 | -0.39 (0.22) | 0.68 [0.44, 1.05] | 0.63 (0.19) | 1.87 [1.30, 2.70] | -0.48 (0.27) | 0.62 [0.36, 1.06] | 0.72 (0.20) | 2.06 [1.39, 3.05] |
| 2018 | -0.96 (0.21) | 0.38 [0.25, 0.58] | 0.55 (0.19) | 1.73 [1.20, 2.49] | -0.27 (0.25) | 0.76 [0.47, 1.24] | 0.84 (0.20) | 2.31 [1.57, 3.40] |
| Interactions | ||||||||
| Readability×2014 | 0.06 (0.06) | 1.06 [0.94, 1.20] | -0.03 (0.06) | 0.97 [0.86, 1.09] | 0.04 (0.07) | 1.04 [0.90, 1.19] | -0.08 (0.07) | 0.92 [0.80, 1.06] |
| Readability×2016 | 0.05 (0.06) | 1.05 [0.93, 1.19] | -0.07 (0.05) | 0.93 [0.84, 1.03] | 0.10 (0.07) | 1.11 [0.96, 1.28] | -0.03 (0.06) | 0.97 [0.87, 1.09] |
| Readability×2018 | 0.14 (0.06) | 1.15 [1.02, 1.29] | -0.02 (0.05) | 0.98 [0.89, 1.08] | 0.13 (0.07) | 1.14 [0.99, 1.31] | 0.00 (0.06) | 1.00 [0.89, 1.12] |
| Information Seekers | Non-Information Seekers | |||
|---|---|---|---|---|
| Variable | (SE) | OR [95% CI] | (SE) | OR [95% CI] |
| Pre-package Sandwich | ||||
| Readability | -0.07 (0.05) | 0.94 [0.85, 1.03] | -0.22 (0.08) | 0.81 [0.69, 0.95] |
| Year (vs. 2012) | ||||
| 2014 | -0.17 (0.25) | 0.84 [0.52, 1.36] | -0.47 (0.47) | 0.63 [0.25, 1.57] |
| 2016 | -0.41 (0.24) | 0.66 [0.41, 1.06] | -0.28 (0.45) | 0.75 [0.31, 1.81] |
| 2018 | -0.90 (0.23) | 0.41 [0.26, 0.64] | -1.10 (0.43) | 0.33 [0.14, 0.77] |
| Readability × Year | ||||
| 2014 vs. 2012 | 0.05 (0.07) | 1.05 [0.91, 1.20] | 0.04 (0.13) | 1.04 [0.80, 1.34] |
| 2016 vs. 2012 | 0.08 (0.07) | 1.08 [0.94, 1.24] | -0.08 (0.12) | 0.93 [0.73, 1.17] |
| 2018 vs. 2012 | 0.14 (0.06) | 1.15 [1.01, 1.30] | 0.12 (0.12) | 1.12 [0.88, 1.43] |
| Pre-cooked Meat | ||||
| Readability | 0.06 (0.05) | 1.06 [0.97, 1.16] | -0.06 (0.08) | 0.94 [0.79, 1.11] |
| Year (vs. 2012) | ||||
| 2014 | 0.24 (0.26) | 1.28 [0.77, 2.12] | -0.36 (0.46) | 0.70 [0.28, 1.73] |
| 2016 | 0.66 (0.24) | 1.93 [1.21, 3.09] | 0.83 (0.40) | 2.29 [1.04, 5.04] |
| 2018 | 0.76 (0.24) | 2.15 [1.35, 3.42] | 0.51 (0.37) | 1.67 [0.80, 3.46] |
| Readability × Year | ||||
| 2014 vs. 2012 | -0.06 (0.07) | 0.95 [0.82, 1.09] | 0.12 (0.13) | 1.13 [0.87, 1.46] |
| 2016 vs. 2012 | -0.06 (0.07) | 0.94 [0.82, 1.07] | -0.16 (0.13) | 0.85 [0.67, 1.09] |
| 2018 vs. 2012 | -0.05 (0.07) | 0.95 [0.84, 1.08] | -0.06 (0.11) | 0.95 [0.76, 1.18] |
| Dairy | ||||
| Readability | -0.02 (0.13) | 0.98 [0.75, 1.27] | -0.44 (0.18) | 0.65 [0.46, 0.92] |
| Year (vs. 2012) | ||||
| 2014 | 0.61 (0.73) | 1.85 [0.44, 7.74] | 0.55 (0.81) | 1.74 [0.36, 8.44] |
| 2016 | 0.71 (0.64) | 2.03 [0.58, 7.12] | -0.02 (0.90) | 0.98 [0.17, 5.67] |
| 2018 | 1.22 (0.57) | 3.40 [1.11, 10.4] | -0.82 (0.81) | 0.44 [0.09, 2.16] |
| Readability × Year | ||||
| 2014 vs. 2012 | -0.06 (0.20) | 0.94 [0.63, 1.39] | 0.06 (0.25) | 1.06 [0.65, 1.73] |
| 2016 vs. 2012 | -0.07 (0.18) | 0.93 [0.65, 1.33] | 0.15 (0.29) | 1.16 [0.66, 2.05] |
| 2018 vs. 2012 | 0.00 (0.16) | 1.00 [0.73, 1.37] | 0.45 (0.25) | 1.57 [0.97, 2.55] |
| Fresh Meat | ||||
| Readability | 0.09 (0.06) | 1.09 [0.98, 1.22] | -0.08 (0.10) | 0.92 [0.75, 1.13] |
| Year (vs. 2012) | ||||
| 2014 | 0.53 (0.28) | 1.69 [0.98, 2.92] | -0.19 (0.52) | 0.82 [0.30, 2.26] |
| 2016 | 0.90 (0.26) | 2.45 [1.47, 4.09] | 0.44 (0.47) | 1.55 [0.62, 3.87] |
| 2018 | 1.09 (0.25) | 2.97 [1.82, 4.84] | 0.30 (0.44) | 1.35 [0.57, 3.20] |
| Readability × Year | ||||
| 2014 vs. 2012 | -0.13 (0.08) | 0.88 [0.75, 1.03] | 0.03 (0.14) | 1.03 [0.79, 1.36] |
| 2016 vs. 2012 | -0.06 (0.07) | 0.94 [0.82, 1.09] | 0.03 (0.14) | 1.03 [0.78, 1.35] |
| 2018 vs. 2012 | -0.05 (0.07) | 0.95 [0.83, 1.09] | 0.14 (0.13) | 1.15 [0.89, 1.48] |
| High Concern | Low Concern | |||
|---|---|---|---|---|
| Variable | (SE) | OR [95% CI] | (SE) | OR [95% CI] |
| Pre-package Sandwich | ||||
| Readability | -0.09 (0.10) | 0.92 [0.76, 1.12] | -0.11 (0.05) | 0.90 [0.82, 0.99] |
| Year (vs. 2012) | ||||
| 2014 | -0.48 (0.47) | 0.62 [0.24, 1.55] | -0.17 (0.24) | 0.84 [0.53, 1.34] |
| 2016 | -0.66 (0.48) | 0.52 [0.20, 1.32] | -0.29 (0.24) | 0.75 [0.47, 1.20] |
| 2018 | -0.84 (0.46) | 0.43 [0.18, 1.06] | -1.00 (0.24) | 0.37 [0.23, 0.58] |
| Readability × Year | ||||
| 2014 vs. 2012 | 0.12 (0.13) | 1.13 [0.87, 1.46] | 0.03 (0.07) | 1.03 [0.91, 1.17] |
| 2016 vs. 2012 | 0.11 (0.13) | 1.12 [0.86, 1.44] | 0.03 (0.07) | 1.03 [0.90, 1.18] |
| 2018 vs. 2012 | 0.11 (0.13) | 1.12 [0.87, 1.44] | 0.15 (0.06) | 1.16 [1.03, 1.31] |
| Pre-cooked Meat | ||||
| Readability | 0.04 (0.09) | 1.04 [0.88, 1.23] | 0.02 (0.05) | 1.02 [0.93, 1.12] |
| Year (vs. 2012) | ||||
| 2014 | 0.05 (0.48) | 1.06 [0.41, 2.73] | 0.18 (0.26) | 1.19 [0.71, 2.00] |
| 2016 | 0.85 (0.43) | 2.35 [1.01, 5.46] | 0.63 (0.23) | 1.87 [1.20, 2.92] |
| 2018 | 0.69 (0.45) | 2.00 [0.83, 4.81] | 0.64 (0.22) | 1.90 [1.24, 2.92] |
| Readability × Year | ||||
| 2014 vs. 2012 | 0.05 (0.13) | 1.05 [0.81, 1.36] | -0.05 (0.07) | 0.95 [0.83, 1.09] |
| 2016 vs. 2012 | -0.17 (0.12) | 0.85 [0.67, 1.07] | -0.05 (0.06) | 0.95 [0.84, 1.08] |
| 2018 vs. 2012 | 0.01 (0.13) | 1.01 [0.79, 1.30] | -0.05 (0.06) | 0.96 [0.85, 1.08] |
| Dairy | ||||
| Readability | -0.04 (0.17) | 0.96 [0.69, 1.34] | -0.12 (0.15) | 0.89 [0.66, 1.19] |
| Year (vs. 2012) | ||||
| 2014 | 1.32 (0.90) | 3.76 [0.64, 22.0] | 0.22 (0.74) | 1.25 [0.29, 5.37] |
| 2016 | 0.29 (0.89) | 1.34 [0.24, 7.61] | 0.59 (0.69) | 1.80 [0.47, 6.94] |
| 2018 | 1.24 (0.71) | 3.46 [0.85, 14.0] | 0.63 (0.65) | 1.87 [0.52, 6.70] |
| Readability × Year | ||||
| 2014 vs. 2012 | -0.25 (0.26) | 0.78 [0.47, 1.29] | 0.05 (0.21) | 1.05 [0.70, 1.59] |
| 2016 vs. 2012 | 0.09 (0.26) | 1.10 [0.66, 1.82] | -0.06 (0.19) | 0.94 [0.65, 1.37] |
| 2018 vs. 2012 | -0.04 (0.22) | 0.96 [0.63, 1.47] | 0.15 (0.18) | 1.16 [0.81, 1.65] |
| Fresh Meat | ||||
| Readability | -0.14 (0.10) | 0.87 [0.72, 1.06] | 0.11 (0.05) | 1.11 [0.99, 1.24] |
| Year (vs. 2012) | ||||
| 2014 | -0.47 (0.51) | 0.63 [0.23, 1.70] | 0.63 (0.28) | 1.88 [1.09, 3.24] |
| 2016 | 0.07 (0.43) | 1.07 [0.47, 2.47] | 1.01 (0.25) | 2.74 [1.68, 4.45] |
| 2018 | -0.34 (0.45) | 0.71 [0.29, 1.71] | 1.23 (0.24) | 3.44 [2.16, 5.46] |
| Readability × Year | ||||
| 2014 vs. 2012 | 0.16 (0.15) | 1.17 [0.87, 1.57] | -0.17 (0.08) | 0.84 [0.72, 0.99] |
| 2016 vs. 2012 | 0.14 (0.12) | 1.15 [0.90, 1.47] | -0.09 (0.07) | 0.92 [0.80, 1.05] |
| 2018 vs. 2012 | 0.34 (0.13) | 1.40 [1.08, 1.81] | -0.09 (0.07) | 0.91 [0.80, 1.04] |
Disclaimer/Publisher’s Note: The statements, opinions and data contained in all publications are solely those of the individual author(s) and contributor(s) and not of MDPI and/or the editor(s). MDPI and/or the editor(s) disclaim responsibility for any injury to people or property resulting from any ideas, methods, instructions or products referred to in the content. |
© 2025 by the authors. Licensee MDPI, Basel, Switzerland. This article is an open access article distributed under the terms and conditions of the Creative Commons Attribution (CC BY) license (http://creativecommons.org/licenses/by/4.0/).