Preprint
Article

This version is not peer-reviewed.

Effectiveness of Three Front-of-Pack Food Labels in Guiding Consumer Identification of Nutrients of Concern and Purchase Intentions in Kenya: A Randomized Controlled Trial

A peer-reviewed article of this preprint also exists.

Submitted:

20 September 2024

Posted:

23 September 2024

You are already at the latest version

Abstract
Background: Front-of-pack-labels (FOPLs) on packaged foods provide consumers with essential information about the nutritional content of food products, enabling them to make informed choices and align their dietary habits with their health goals. However, evidence on the comprehensibility, use, and effectiveness of FOPLs remains limited, particularly in low- and middle-income countries like Kenya. Objective: In this study, we assessed the effectiveness of three FOPLs in helping consumers identify excess nutrients of concern in packaged food products and their potential influence on food purchases in Kenya. Methods: A total of 2198 shoppers with diverse backgrounds were recruited from selected supermarkets in three Kenyan main cities (Nairobi, Mombasa, Kisumu) and a small town (Garissa). Participants were randomized to three FOPLs: Red and green Octagon label (RG), Red and Green Octagon with icons (RGI) and a black Octagon Warning label (WL). In the control phase, participants were shown unlabeled images of packaged food products and they responded to a set of questions. In the experimental phase, the same product images were presented with one of the three front-of-pack labels they were randomized to, and participants answered the same questions again. Differences in the proportions of participants correctly identifying the nutrients of concern and the changes in intention to purchase unhealthy foods before and after exposure to FOPLs were analyzed using frequency tables and Chi-Square tests. The effectiveness of the three FOPLs was further assessed using a modified Poisson regression. Results: Results showed that exposure to FOPLs significantly improvement participants' ability to correctly identify nutrients of concern across various food categories. Additionally, FOPLs reduced consumers’ intentions to purchase unhealthy foods, with the Warning Labels (WL) emerging as particularly effective in enhancing consumers' understanding of product healthiness and reducing the intention to purchase unhealthy foods compared to the other two FOPLs. Conclusion: These findings underscore the potential role of FOPLs, particularly the WL as an effective regulatory tool for promoting healthier food choices in Kenya.
Keywords: 
;  ;  ;  ;  ;  ;  ;  ;  

1. Introduction

With rapid urbanization taking place in Kenya, obesogenic food environments are increasingly shifting consumers towards unhealthy food products, posing a critical public health challenge. The rising burden of diet-related non-communicable diseases (DR-NCDs) now accounts for 42.8% of all deaths in Kenya [1]. The prevalence of overweight and obesity has shown a concerning upward trend, rising from 25% in 2008/09 to 49% in 2022 [2,3]. This escalation is largely attributed to the overconsumption of unhealthy diets, particularly pre-packaged food products high in fat, sugar, salt, and energy [4].
FOPLs are proposed as a strategy to improve dietary quality by providing simplified symbols on the front of packaged products, representing detailed nutrient declarations usually found on the back of food packaging [5]. By providing clear and accessible nutritional information, these labels aim to guide consumers toward healthier food choices. Additionally, FOPLs can serve as an incentive for manufacturers to produce healthier options and reformulate existing products to meet consumer demand [6]. Nutrient-specific FOPLs can be categorized into two types: interpretive labels, which provide nutritional information for guidance and an overall assessment of the product's nutritional quality (e.g., traffic light system and warning labels), and non-interpretive labels, which present information without any specific judgment or recommendation (e.g., % GDA (Guideline Daily Amount) system) [7].
While systematic reviews suggest that FOPLs can enhance consumers’ product selection, improve knowledge, and aid in identifying healthier products, there is a notable gap in understanding their influence in contexts like Kenya [8,9,10,11]. Moreover, the implementation of FOPLs can vary between voluntary and mandatory schemes, with some countries opting for regulatory measures to ensure their adoption and standardization. Even though there isn’t research to show this, it is likely that mandatory schemes would likely lead to extensive manufacturer reformulation [12]. Research has shown an association between mandatory restaurant calorie labelling and reductions in body mass index (BMI), with areas implementing such regulations experiencing greater reductions in BMI compared to those without, suggesting that FOPLs might have similar effects [13].
The effectiveness of warning labels and other FOPLs may vary depending on cultural contexts, literacy levels, and the design of the labels themselves. Among FOPLs, warning labels have garnered attention as potentially impactful tools for highlighting products high in nutrients of concern (sugar, salt, or unhealthy fats) in low- and middle-income. For instance, countries like Chile [14], Peru [15], Mexico [16] and Uruguay [17] are currently using warning labels while South Africa has proposed their implementation to combat rising rates of obesity and related diseases [18,19]. However, there remains a significant knowledge gap in how these labelling strategies translate to the Kenyan context, where unique dietary habits, socioeconomic factors, and levels of health literacy may influence their effectiveness.
To address this gap, our study evaluated the effectiveness of various FOPLs and their potential influence on food choices in Kenya. By comprehensively assessing FOPLs' effectiveness in guiding consumer choices, we seek to contribute valuable insights that can inform strategies and policies aimed at promoting healthier food choices in the context of rapid urbanization in Kenya. Through this research, we hope to lay the groundwork for the development of a FOPL standard tailored to the Kenyan context, ultimately fostering healthier dietary behaviours and mitigating the burden of DR-NCDs.

2. Materials and Methods

This study was a three-arm randomized controlled trial (RCT) conducted between November and December 2023. Participants were adults recruited from four counties in Kenya: Nairobi, Mombasa, Kisumu, and Garissa. We chose these counties because three of them are major cities in Kenya, and one is a township, allowing for a diverse geographic representation. The RCT assessed both within-subject and between-subject effects. The within-subject effect measured the difference between a product without a front-of-pack label and the same product with a front-of-pack label. The between-subject effect compared the differences among the three different front-of-pack label (FOPL) conditions. This trial was pre-registered with the ISRCTN Registry (Registration ISRCTN82491256) [20].

2.1. Sampling Size and Sample Strategy

A minimum sample size of 2185 participants was calculated based on findings from a previous study [18], which reported correct identification rate (relative risk 1.32) of unhealthy foods using warning labels. Adjustments for various factors were made including 80% power, a design effect size 1.2, and a 10% non-response rate, to ensure statistical power and representation. A stratified sampling was used to allocate this sample size across the four selected counties (Nairobi, Mombasa, Kisumu, and Garissa), proportional to their respective population sizes. This approach resulted in a proportionate distribution of the sample size, with 1251 participants from Nairobi, 376 from Mombasa, 400 from Kisumu, and 172 from Garissa counties, thereby ensuring a representative sample across these diverse geographic areas.

2.2. Front-of-Pack-Labels (FOPLs) Tested

Three proposed front-of-pack label (FOPL) symbols were tested in this study: Red and Green (RG), Red and Green with icons (RGI), and Warning Label (WL). These symbols were suggested by the Ministry of Health-led technical committee responsible for developing the Kenya Nutrient Profile Model (KNMP) and the FOPL standard. Figure 1 shows all the three symbols which are octagonal in shape.
In the Red and Green (RG) label, nutrients of concern (salt, sugar, fat, and saturated fat) were written as text, red and green colour were assigned to denote if the nutrients were higher or lower than the unhealthy thresholds defined in the KNPM. Products with nutrients of concern exceeding the threshold were labelled with a red symbol, while those meeting or below the threshold were labelled with a green symbol. These symbols would appear on products if the nutrients of concern were present in the product.
The Red and Green with Icons (RGI) label uses the same colour-code as RG labels. It additionally had abbreviated nutrient names (fat (F), and saturated fat (SF)) and pictorials (a spoon with a heap for sugar and a saltshaker for salt). Like the RG label, products exceeding the threshold for a nutrient are designated with a red symbol, while those meeting or below the threshold receive a green symbol. Symbols would also appear if the nutrient of concern was in the product.
The Warning Label (WL). It is a black octagon which incorporates both text and images similar to RGI. Unlike the RG and RGI, these labels would only appear on food products that contain excessive or high levels of salt, sugar, total fats, and saturated fats, with the text “high-in” to denote thresholds higher than those set by the KNPM

2.3. Recruitment and Eligibility of Study Participants

Study participants were recruited as they exited supermarkets, food shops, and kiosks in the selected counties. Participants eligible for inclusion in the study were individuals aged 18 years or older, who frequently purchased packaged foods or drinks and were the main or they shared the food purchasing decisions within their households. To ensure representation across diverse socio-demographic groups, participants were selected based on gender (male or female), age (18–29 or 30–50 years), education level (no education, primary, secondary and post-secondary), income (low or middle-high), and residence (urban or rural). We excluded health professionals, tobacco industry employees, individuals working in the sugary drinks and food industry, professionals in the advertising sector, and employees of market research companies due to potential conflicts of interest or biases that these individuals might have.
Trained field interviewers, experienced in data collection, conducted participant recruitment and data collection. They received training on the study objectives, participant recruitment procedures, and questionnaire administration. After consent was obtained, data collection took place with eligible participants between November and December 2023.

2.4. Procedures

Participants were randomised to one of three FOPL symbols (RG, RGI, and WL; see Figure 1 for images of the labels) to examine whether the FOPL type influenced their ability to correctly identify the healthiness of food products (used as a marker of understanding) and whether the labels would influence their future intention to purchase unhealthy foods (used as a marker for potential effectiveness).
A manual process using an Excel sheet was used to randomly allocate study participants to one of three front-of-pack labels. Randomization to the label type took place before participants were enrolled into the study and both participants and field interviewers were unaware of the labels assigned to them. The initial randomization step involved using the sample allocation for Counties and sub-counties to ensure an equal distribution of labels among participants in those specific Counties. Participants were then assigned labels randomly based on their specific unique IDs. This process was then imported into the data collection tablets, and random symbols appeared for each participant ID during the interviews. As a result of this procedure, 33.6% (n = 738) of participants were exposed to the RG, 33.8% (n = 744) to the RGI, and 32.6% (n = 716) to the WL (Figure 2).
Each participant was exposed to both the control (images without labels) and experimental (images with labels) phases on the same day, with the aim of assessing the within- and between-subject effects. During the control phase, all participants viewed product images displayed on mock packages without any front-of-pack label, and they responded to a set of questions. In the experimental phase, the same participants were randomly assigned to one of the three label conditions (intervention). They viewed the same product images seen in the control phase, but this time the product images were presented with a front-of-pack label (the intervention), and they were asked to respond to an identical set of questions as in the control phase.

2.5. Stimuli

In this study, we used fictional images of both the single and paired products (See Appendix A). The single products were images of potato crisp, fruit juice, and soda, while the paired products were two packets of bread, yogurt, and breakfast cereals with distinct brand names. We created four sets of fictional products, encompassing all nine items: one set without Front-of-Pack Labelling (FOPL) as the control condition, and three sets with each having one of the following FOPLs: a red and green label, a red and green label with pictorials, or a warning label (WL). The labels were placed on the top right corner of each fictional food image.
Our choice of product categories was guided by common foods and beverages used in Kenya, with an aim to represent a mix of items often perceived as unhealthy (e.g., crisps and soda) and those with varying healthfulness (e.g., 100% fruit juice, bread, breakfast cereals, and yogurt). All participants were presented with the same product sets, with the only difference being the applied labels. Each product pair had one item with lower amounts of the nutrients of concern (sugar, salt, fat, saturated fat).

2.6. Outcome Measures

For the single products (crisps, juice, and soda) assessment, the primary outcomes were whether the participant correctly identified the foods that were high in salt, sugar, and fat (yes, no or don’t know) and correctly identified the foods as unhealthy (healthy or unhealthy). All the single products that were used in this study were unhealthy. A product was considered high in nutrients of concern or unhealthy if it displayed one or more red-coloured labels from either the RG or the RGI or one or more warning labels.
In evaluating the paired foods (bread, yogurt, and breakfast cereal), the primary outcome was the participant's ability to accurately identify the food product higher in salt, sugar, or fat and correctly identifying the unhealthier food. For paired foods, a food product was considered higher in nutrients of concern or unhealthier if it featured one or more red labels (RG or RGI) or a warning label.
We also assessed changes in intentions to purchase unhealthy food products using the question: “How likely are you to buy this product for yourself or your family?” Responses were recorded on a four-point Likert scale, with options including "I would definitely not buy it," "I am unlikely to buy it," "I will consider buying it," and "I will definitely buy it." For analysis, all responses were simplified into binary outcomes: 1 = yes, and 0 = no. The "yes" outcome combined responses "I will consider buying it" and "I will definitely buy it," while the "no" outcome combined responses "I would definitely not buy it" and "I am unlikely to buy it."
To determine the individual impact of each label, we compared the count of correct responses from study participants at baseline (when the products were displayed without a label) with the follow-up (i.e., when the product was displayed with one of the three labels).

2.7. Analysis

To analyse the within-subject effects, we conducted a comparison of the proportions of correct identification of high nutrients of concern and the changes in intention to purchase unhealthy foods, before and after exposure to the front-of-pack labels (FOPLs). Differences in these proportions were assessed using frequency tables and Chi-Square tests of association to determine significant variations in the correct identification of nutrients of concern across different FOPL symbols.
In the between-subjects analysis, we used a modified Poisson regression to assess the effectiveness of different front-of-pack label (FOPL) symbols. The response variables focused on the correct identification of nutrients of concern and the overall perceptions of food healthiness. The main exposure variable was the three FOPL symbols, while covariates included the identification of nutrients of concern during the control phase (without symbols). The model was adjusted for sex and the role of being the decision maker for food purchases in households since the other demographic factors were evenly distributed across the three arms. The results are presented as relative risk ratio (RRR) estimates comparing two distinct front-of-pack labels. An RRR greater than 1 indicates that a higher percentage of participants exposed to one label correctly identified foods high in nutrients of concern or unhealthy products compared to those exposed to the other label.

2.8. Ethics

Ethical guidelines were strictly adhered to throughout the implementation of this study. Participants gave informed consent to participate in the study before taking part. Ethical approval was obtained from the Ethics and Scientific Review Committee at AMREF Health Africa in Kenya (ERC/P1323/2022).

3. Results

A total of 2198 individuals participated in the randomized controlled trial and were included in the analyses. Table 1 displays demographic data categorized by the three Front-of-Pack Label (FOPL) conditions to which participants were randomized. Study participants were randomized into three arms as follows: A Red and Green label (RG) (33.6%), a Red and Green label with images (RGI) (33.8%), or a Warning Label (WL) (32.6%). All demographic factors were evenly distributed across the three arms, except for sex and being the main decision-maker for food purchases in the home. There was a higher percentage of men in the WL arm (53.1%) and women in the RGI arm (55%). A significant difference was also observed in the category of the main decision-maker, with a higher percentage of participants identified as the main decision-makers in the RGI (79.4%) and WL (77.5%) arms compared to the RG arm (73.0%).

3.1. Identification of Nutrients of Concern of the Products and Unhealthiness Perception of Foods (Within-Subject Comparisons)

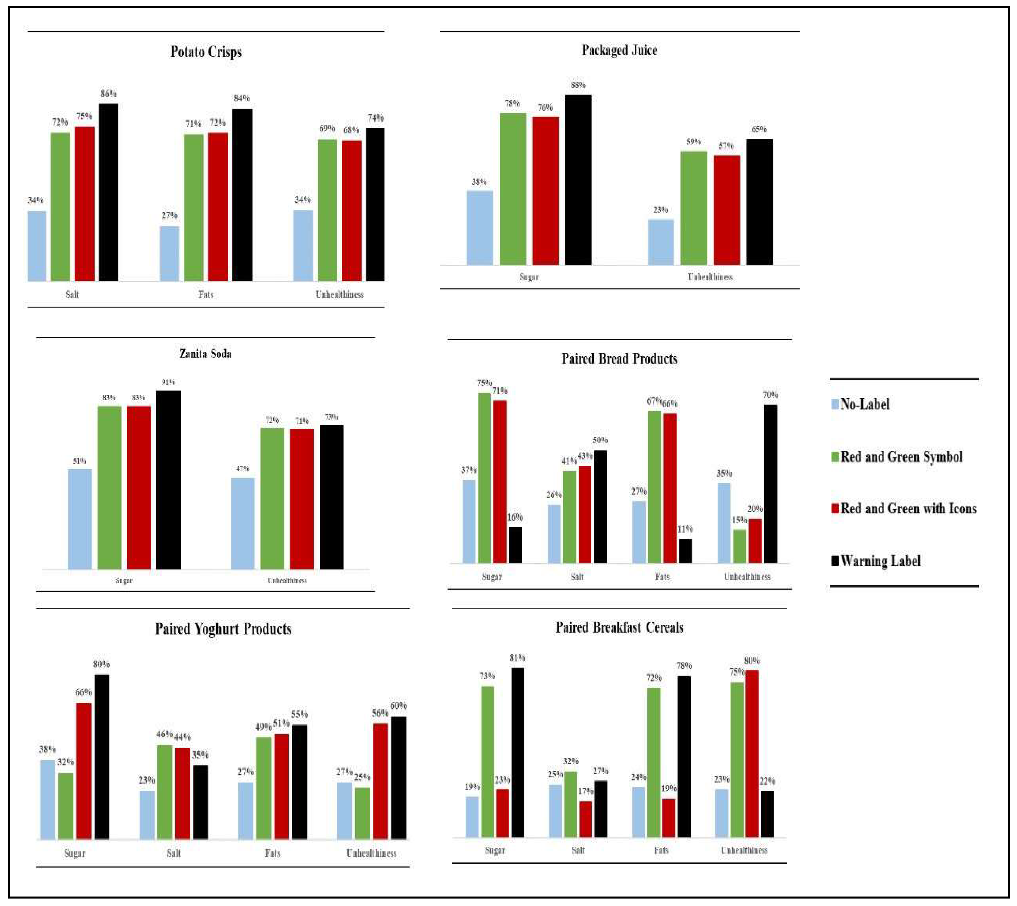
Figure 3 and Table A1 shows the proportion of participants correctly identifying nutrients of concern in food products before and after FOPL exposure. The results demonstrate that exposure to Front-of-Pack Labels (FOPLs) significantly improved participants' ability to correctly identify nutrients of concern in most of the food products. Specifically, participants exposed to Warning Labels (WL) showed better identification of nutrients of concern and perceived the overall product unhealthiness more accurately across different food categories, including potato crisps, packaged juice, and Zanita soda. When comparing paired products with different nutritional content, FOPLs like Red and Green (RG) and Red and Green with Icons (RGI) were effective at identifying specific nutrients such as fats and sugar, while the WL performed better at identifying salt and overall product unhealthiness.

3.2. Effectiveness of FOPLs in Identifying Nutrients of Concern (Between-Subject Comparison)

Modified Poisson regression analysis was used to compare the participants' ability to correctly identify high levels of nutrients of concern in various food items using different FOPLs (Table 2). The statistical significance levels are denoted by asterisks (*p<0.05). We compared WL against RG labels, WL against RGI, and RG against RGI for each food product.
When comparing exposure to WL versus the RG label, the WL was better at identifying breakfast cereals high in sugar compared to the RG label. The RG label was better in only identifying high sugar in yoghurt compared to the WL. When comparing the WL versus the RGI label, the WL was better in identifying potato crisps high in salt, potato crisps high in fat, packed juices high in sugar, soda high in sugar, yoghurt high in sugar and fat, breakfast cereal high in sugar and fat, compared to the RGI label. The RGI was better at correctly identifying bread high in sugar and fats compared to the WL. When comparing the RGI versus the RG label, the RGI correctly identified bread high in sugar and fats, while the RG correctly identified potato crisps high in salt and fats, packaged juice high in sugar, soda high in sugar, bread high in salt, yoghurt high in sugar, and breakfast cereal high in sugar and fats.

3.3. Effectiveness of FOPLs in Identifying the Overall Unhealthiness of Foods

The modified Poisson regression analysis was also used to compare the ability of the different FOPLs in correctly identifying the overall unhealthiness of various food items. When comparing exposure to WL versus the RG label, the RG label was better at identifying the unhealthiness of packaged juice and breakfast cereals while the WL was better at identifying the overall unhealthiness of bread and yoghurt. When comparing the WL versus the RGI label, the RGI label was better at identifying the overall unhealthiness in potato crisps, packaged juice, bread and breakfast cereals. When comparing the RGI versus the RG label, the RGI label was better in correctly identifying the overall unhealthiness of potato crisps, packaged juice, soda, bread and yoghurt.

3.4. Intention to Purchase

Figure 4 provides insights into consumers' intentions to purchase unhealthy food products based on different front-of-pack labelling (FOPL) symbols. Overall, the findings suggest that the presence of labels generally reduced consumers' intentions to purchase unhealthy foods compared to food products without labels. The RG and RGI labels had a similar effect in reducing consumers' intentions to buy unhealthy foods, while the WL was the most effective in decreasing the intention to purchase all unhealthy food products compared to the other FOPLs.

4. Discussion

The results of this study provide valuable insights into the effectiveness of different Front-of-Pack Labels (FOPLs) in improving consumers' ability to identify nutrients of concern and their perception of the overall healthiness of food products in Kenya. Overall, exposure to FOPLs led to a significant improvement in participants' ability to correctly identify nutrients of concern across various food categories, including potato crisps, packaged juice, soda, bread, yoghurt, and breakfast cereals compared to when the products had no FOPL on the food packaging. Findings from this study further showed that the presence of FOPLs enhanced consumers' understanding of product healthiness and reduced consumers' intentions to purchase unhealthy foods. Our results are consistent with existing evidence that shows that FOPLs are effective at helping consumers in identifying healthier choices [18,21]. Participants exposed to the WL demonstrated better identification of nutrients of concern and a reduced intention to purchase unhealthy foods compared to other FOPL symbols, such as Red and Green (RG) and Red and Green with Icons (RGI). The RGI performed best in identifying unhealthy foods compared to the RG and WL.
Kenya developed two unique front-of-pack labels (RG and RGI) that have not been used elsewhere, while the WL features for Kenya were adapted from the WL that is being proposed in South Africa [19] and similar WLs implemented across Latin American countries [22,23,24]. The labels used in the current study can be broadly categorized into two types: interpretive and non-interpretive. The RG and RGI labels are considered non-interpretive because they require more cognitive effort from the consumers to interpret the meaning of the red and green colours, where red indicates excess amounts of the nutrient of concern and green indicates that the nutrient is within or below threshold levels. In contrast, the warning label is interpretive as it graphically communicates the product's healthiness by explicitly stating "High in" for the nutrient of concern. This context is important as it provides a basis for interpreting our findings.

4.1. Identifying Unhealthy Foods

The results indicate that regardless of the label used, exposure to any of the FOPLs significantly enhanced participants' ability to correctly identify nutrients of concern in most of the food products. This finding is consistent with a prior similar study conducted in South Africa [18] which also concluded that the presence of a front-of-pack label on a product aided consumers in better identification of nutrients of concern in packaged foods compared to when the product lacked a FOPL. However, some participants who correctly identified nutrients of concern did not consistently interpret these as indicating the product was unhealthy, which explains the contradiction in the proportions of unhealthy foods identified compared to nutrients of concern. Similarly, another study conducted across 12 countries testing five FOPLs reported that the presence of FOPLs led to an improvement in the number of correct responses in the ranking task [25].
In the current study, the WL was the best in identifying nutrients of concern. The results of our study support findings from other contexts, indicating the widespread effectiveness of warning labels as an effective regulatory measure. Several studies in different settings have found that warning labels improved consumers' ability to identify high levels of nutrients of concern in food products [18,21,26]. The RG and RGI labels use a color-coding system similar to the multiple traffic lights (MTL) system, but with only two colours compared to the three colours used in the MTL system. Some participants may have struggled to connect the identification of nutrients of concern with the overall unhealthiness of the food, particularly when multiple labels and colours were used, leading to contradictory perceptions. The use of the green colour is also associated with a health halo effect, and this could be misleading as consumers may perceive foods with green labels as healthy [12]. This perception could explain why consumers who saw a green label among the red labels may not have correctly identified the food product as unhealthy. Previous research has shown that consumers found the MTL challenging to interpret when multiple labels and colours required interpretation [27,28].
When analysing within-subject effects, the WL performed the best in identifying the overall product unhealthiness in most products compared to the other two labels. However, in the regression analysis, the RGI label proved to be the most effective in helping participants correctly identify foods as unhealthy, outperforming both the WL and the RG label. This result highlights that even though the WL was more effective at pointing out nutrients of concern, many participants did not equate these nutrients with overall product unhealthiness. It is likely that the RGI label's combination of colour coding and icons seemed to confuse participants in judging the overall healthiness of the foods. Similar confusion in identifying unhealthy foods was noted in a study in Brazil using the TL system showing that the presence of the different colours (green, amber) for nutrients of concern on the same product may have led participants to wrongly perceive the food product to be healthier than it was [21]. Therefore, using a colour coded system is likely to confuse consumers in identifying unhealthy products thus reducing the intended effectiveness of the label to change consumers behaviour.

4.2. Reducing Intention to Purchase Unhealthy Foods

Overall, the findings suggest that the presence of labels influenced purchasing intentions. The FOPLs generally reduced consumers' intentions to purchase unhealthy foods compared to food products without labels. Although intention does not necessarily equate to actual purchasing, a shift in consumers' intentions represents a crucial phase in the progression from exposure to front-of-pack labels to real behavioural changes [29,30]. The current study investigated the impact of FOPLs on consumers’ intention to purchase unhealthy food choices. The findings demonstrate that all three labels influenced participants' reported intentions to buy unhealthy products which is similar to what was reported in South Africa [18]. However, the WL was more effective in reducing the intention to purchase these unhealthy products than either the RG or the RGI labels. Our findings are consistent with several studies that have demonstrated the effectiveness of warning labels in enhancing consumers' understanding of product healthiness and influencing their purchasing decisions. A study by Taillile et al. [31] found that Chile's implementation of warning labels on unhealthy food products led to a significant decrease in purchases of these items. Similarly, a study by Roberto et al. showed that warning labels were more effective than other FOPLs used in the study in reducing consumers' intentions to purchase sugary beverages [32] in the US. Another study in Jamaica found that the WLs significantly outperformed the other FOPLs tested in helping consumers to choose to purchase the least harmful option [26]. South Africa also reported reduced intention to purchase unhealthy products when participants were exposed to a warning label compared to the multiple traffic lights (MTL) system or the GDA [18]. Similarly, a study by Khandapour et al. in Brazil demonstrated that warning labels had a more significant substitution effect, leading consumers to shift their intentions away from purchasing unhealthy products towards opting for healthier alternatives [21]. In contrast to our findings, a study by Machín et al. found there was no difference between the effect of the warning label and the traffic light label [28].
Our study contributes to the growing body of evidence supporting the role of warning labels in addressing public health challenges related to diet-related diseases. By providing consumers with clear and easily understandable information about the nutritional content of food products, warning labels empower individuals to make healthier choices and contribute to reducing the prevalence of obesity, diabetes, and other non-communicable diseases. These findings underscore the importance of implementing evidence-based regulatory policies, such as warning labels, to promote population-level health and well-being.

4.3. Strengths and Limitations

This study has several strengths. With the large and diverse sample size of participants recruited from four counties in Kenya, including both rural and urban areas experiencing rapid urbanization, the study's findings hold broader applicability to the Kenyan population. The randomized controlled trial (RCT) design minimized bias and facilitated comparisons across different FOPL conditions. By comprehensively evaluating three distinct FOPL symbols—Red and Green labels (RG), Red and Green labels with icons (RGI), and Warning Labels (WL)—this research offers valuable insights into the effectiveness of various FOPLs in enhancing participants' understanding of product healthiness and influencing their food choices. However, several limitations need to be considered. First, the study's use of fictional images of food products may limit the generalizability of findings to real-world purchasing decisions, potentially affecting participants' responses. Additionally, the cross-sectional design limits the evaluation of long-term effects. Lastly, the study prioritized FOPL formats recommended by the Kenyan Nutrient Profile Model (KNPM) technical committee to ensure relevance within the local regulatory framework, and while this limited the exploration of other well-known FOPL designs, it enabled a deeper assessment of labels likely to be implemented in Kenya, offering valuable insights for policymakers. Despite these limitations, the study's rigorous methodology and comprehensive evaluation of FOPLs contribute valuable insights into the potential impact of FOPLs on food choices in Kenya.

4.4. Recommendation

We recommend that the Kenya Ministry of Health (MOH) implements warning label (WLs) on a mandatory basis for all packaged foods and beverages to improve population health and reduce the diet-related NCD burden. Mandatory labelling can create stronger incentives for the industry to reformulate their products, as evidence indicates that voluntary schemes are less likely to achieve the intended outcomes of front-of-package labels (FOPLs), such as influencing consumer behaviour and encouraging manufacturers to improve product formulations [33]. Mandatory warning labels (WL) would be particularly beneficial in settings with low nutritional literacy, such as Kenya, where they can help consumers make more informed choices despite limited knowledge about nutrition. Implementing WLs on food packaging can therefore empower consumers to make informed decisions and ultimately contribute to improving public health outcomes. Future research will be needed to investigate the effectiveness of the selected front-of-package labelling in Kenya.

5. Conclusions

In conclusion, this study provides evidence supporting the use of FOPLs in improving consumers' ability to identify nutrients of concern and their perception of the healthiness of food products in Kenya. WLs significantly outperformed the other FOPLs in the study such as Red and Green (RG) and Red and Green with Icons (RGI) in enhancing consumers' understanding of product healthiness and influencing their intentions to purchase food products. These findings underscore the potential of FOPLs and specifically the WLs as a regulatory tool to promote healthier food choices and combat the growing burden of diet-related diseases in Kenya.

Author Contributions

SFM, and GA conceptualized and designed the study. SFM, VA and CK executed the study, processed and cleaned the data. CK performed statistical analysis and interpreted the data. SFM, GA, VO, CHK and CK helped to analyse and interpret the data. SFM drafted the initial manuscript. SFM, GA, SI, VO, CHK and CK critically reviewed and edited the manuscript. All authors read and approved the final manuscript.

Funding

This research was funded by International Development Research Centre (IDRC) under project grant number 109865-001.

Institutional Review Board Statement

The study received ethical approval from the Scientific Research and Ethics Committee of the African Population and Health Research Center (APHRC) and the Ethics & Scientific Review Committee at the AMREF (P1323.2022).

Informed Consent Statement

Ethical principles in line with the Declaration of Helsinki were strictly adhered to throughout the study. Informed written consent was obtained from all participants prior to the commencement of data collection. The study received ethical approval from the Scientific Research and Ethics Committee of the African Population and Health Research Center (APHRC) and the Ethics & Scientific Review Committee at the AMREF (P1323.2022).

Data Availability Statement

Data analysed for this paper form part of a primary project which is currently being written up in other publications. Data used for this paper will therefore be available upon request and granted for replication purposes. Anonymized data will be available from the African Population and Health Research Center (APHRC) Microdata portal (https://aphrc.org/microdata-portal/) in 2026. For data inquiries, please contact Shukri Mohamed (smohamed@aphrc.org).

Acknowledgments

We extend our sincere gratitude to the field staff for their dedication and commitment to ensuring the quality of the data collected. The authors also wish to thank the food outlets involved in this study for graciously granting permission to conduct the research in and around their stores. We also would like to give thanks to the Ministry of Health in Kenya for supporting this study.

Conflicts of Interest

The authors declare no conflict of interest. The funders had no role in the design of the study; in the collection, analyses, or interpretation of data; in the writing of the manuscript, or in the decision to publish the results.

Appendix A

Table A1. Frequencies of proportions of correct identification of nutrients of concern.
Table A1. Frequencies of proportions of correct identification of nutrients of concern.
Product/Nutrient of concern Identification No Label (N=2198) Red and green symbols (N=738) Red and green with Icons (N=744) Warning Label (N=716) P-value
Potato crisps
Salt Correct 746 (33.9%) 533 (72.2%) 558 (75.0%) 616 (86.0%) < 0.001
Not Correct 1452 (66.1%) 205 (27.8%) 186 (25.0%) 100 (14.0%)
Fats Correct 588 (26.8%) 526 (71.3%) 535 (71.9%) 599 (83.7%) < 0.001
Not Correct 1610 (73.2%) 212 (28.7%) 209 (28.1%) 117 (16.3%)
Healthiness of product Correct 752 (34.2%) 509 (69.0%) 507 (68.1%) 531 (74.2%) 0.025
Not Correct 1446 (65.8%) 229 (31.0%) 237 (31.9%) 185 (25.8%)
Packaged juice
Sugar Correct 837 (38.1%) 579 (78.5%) 569 (76.5%) 631 (88.1%) < 0.001
Not Correct 1361 (61.9%) 159 (21.5%) 175 (23.5%) 85 (11.9%)
Unhealthiness Correct 516 (23.5%) 433 (58.7%) 421 (56.6%) 466 (65.1%) 0.003
Not Correct 1682 (76.5%) 433 (58.7%) 421 (56.6%) 466 (65.1%)
Zanita soda
Sugar Correct 1130 (51.4%) 609 (82.5%) 616 (82.8%) 652 (91.1%) < 0.001
Not Correct 1068 (48.6%) 129 (17.5%) 128 (17.2%) 64 (8.9%)
Unhealthiness Correct 1027 (46.7%) 529 (71.7%) 530 (71.2%) 525 (73.3%) 0.647
Not Correct 1171 (53.3%) 529 (71.7%) 530 (71.2%) 525 (73.3%)
Paired bread products
Sugar Correct 803 (36.5%) 553 (74.9%) 531 (71.4%) 114 (15.9%) < 0.001
Not Correct 1395 (63.5%) 185 (25.1%) 213 (28.6%) 602 (84.1%)
Salts Correct 567 (25.8%) 300 (40.7%) 318 (42.7%) 356 (49.7%) 0.001
Not Correct 1631 (74.2%) 438 (59.3%) 426 (57.3%) 360 (50.3%)
Fats Correct 598 (27.2%) 494 (66.9%) 489 (65.7%) 77 (10.8%) < 0.001
Not Correct 1600 (72.8%) 244 (33.1%) 255 (34.3%) 639 (89.2%)
Unhealthiness Correct 774 (35.2%) 630 (85.4%) 598 (80.4%) 217 (30.3%) < 0.001
Not Correct 1424 (64.8%) 108 (14.6%) 146 (19.6%) 499 (69.7%)
Paired Yoghurt Products
Sugar Correct 841 (38.3%) 236 (32.0%) 491 (66.0%) 570 (79.6%) < 0.001
Not Correct 1357 (61.7%) 502 (68.0%) 253 (34.0%) 146 (20.4%)
Salts Correct 507 (23.1%) 336 (45.5%) 328 (44.1%) 254 (35.5%) < 0.001
Not Correct 1691 (76.9%) 402 (54.5%) 416 (55.9%) 462 (64.5%)
Fats Correct 599 (27.3%) 363 (49.2%) 379 (50.9%) 396 (55.3%) 0.056
Not Correct 1599 (72.7%) 375 (50.8%) 365 (49.1%) 320 (44.7%)
Unhealthiness Correct 603 (27.4%) 183 (24.8%) 416 (55.9%) 426 (59.5%) < 0.001
Not Correct 1595 (72.6%) 555 (75.2%) 328 (44.1%) 290 (40.5%)
Breakfast cereals
Sugar Correct 426 (19.4%) 537 (72.8%) 170 (22.8%) 582 (81.3%) < 0.001
Not Correct 1772 (80.6%) 201 (27.2%) 574 (77.2%) 134 (18.7%)
Salts Correct 558 (25.4%) 233 (31.6%) 129 (17.3%) 193 (27.0%) < 0.001
Not Correct 1640 (74.6%) 505 (68.4%) 615 (82.7%) 523 (73.0%)
Fats Correct 529 (24.1%) 531 (72.0%) 139 (18.7%) 556 (77.7%) < 0.001
Not Correct 1669 (75.9%) 207 (28.0%) 605 (81.3%) 160 (22.3%)
Unhealthiness Correct 506 (23.0%) 550 (74.5%) 148 (19.9%) 557 (77.8%) < 0.001
Not Correct 1692 (77.0%) 188 (25.5%) 596 (80.1%) 159 (22.2%)

References

  1. Kenya Bureau of Statistics, KENYA STEPwise SURVEY FOR NON COMMUNICABLE DISEASES RISK FACTORS 2015 REPORT. 2015.
  2. Kenya National Bureau of Statistic (KNBS) and ICF Macro, Kenya Demographic and Health Survey 2008-09. 2010: Calverton, Maryland.
  3. Kenya National Bureau of Statistic (KNBS), Ministry of Health (MOH), and ICF Macro, Kenya Demographic and Health Survey 2022. Key Indicators Report. 2023.
  4. Holdsworth, M. et al., Unhealthy eating practices of city-dwelling Africans in deprived neighbourhoods: evidence for policy action from Ghana and Kenya. Global food security 2020, 26, 100452. [Google Scholar] [CrossRef] [PubMed]
  5. Goiana-da-Silva, F. et al., Front-of-pack labelling policies and the need for guidance. Lancet Public Health 2019, 4, e15. [Google Scholar] [CrossRef] [PubMed]
  6. World Cancer Research Fund International, Building momentum: lessons on implementing a robust front-of-pack food label. 2019.
  7. Kanter, R. L. Vanderlee, and S. Vandevijvere, Front-of-package nutrition labelling policy: global progress and future directions. Public Health Nutr 2018, 21, 1399–1408. [Google Scholar] [CrossRef]
  8. Hersey, J.C. et al., Effects of front-of-package and shelf nutrition labeling systems on consumers. Nutrition reviews 2013, 71, 1–14. [Google Scholar] [CrossRef]
  9. Ikonen, I. et al. Consumer effects of front-of-package nutrition labeling: An interdisciplinary meta-analysis. Journal of the academy of marketing science 2020, 48, 360–383. [Google Scholar]
  10. Talati, Z. et al., Consumers’ responses to health claims in the context of other on-pack nutrition information: A systematic review. Nutrition reviews 2017, 75, 260–273. [Google Scholar] [CrossRef]
  11. Temple, N.J. Front-of-package food labels: A narrative review. Appetite 2020, 144, 104485. [Google Scholar] [CrossRef]
  12. Roberto, C. et al., The Influence of Front-of-Package Nutrition Labeling on Consumer Behavior and Product Reformulation. Annual review of nutrition 2021, 41. [Google Scholar] [CrossRef]
  13. Restrepo, B.J. Calorie labeling in chain restaurants and body weight: evidence from New York. Health Economics 2017, 26, 1191–1209. [Google Scholar] [CrossRef]
  14. Carreño, I. Chile's black STOP sign for foods high in fat, salt or sugar. European Journal of Risk Regulation 2015, 6, 622–628. [Google Scholar] [CrossRef]
  15. de Experiencia, A. Comisión Federal para la Protección contra Riesgos Sanitarios. 2013.
  16. El Peruano, D.O. Aprueban manual de advertencias publicitarias en el marco de lo establecido en la ley Nº 30021, ley de promoción de la alimentación saludable para niños, niñas y adolescentes, y su reglamento aprobado por Decreto Supremo Nº 017-2017-SA. El Peruano; 2018 [cited 2024 Feb 8]. Diario Oficial El Peruano [Internet], 2018. 16.
  17. Ministerio de Salud Pública, Decreto N°272/18 [Decree N°272/18]. Montevideo: Ministerio de Salud Pública. 2018.
  18. Bopape, M. et al., Effect of different front-of-package food labels on identification of unhealthy products and intention to purchase the products– A randomised controlled trial in South Africa. Appetite 2022, 179, 106283. [Google Scholar] [CrossRef] [PubMed]
  19. Department of Health, REGULATIONS RELATING TO THE LABELLING AND ADVERTISING OF FOODSTUFF. 2023: South Africa.
  20. Gershim Asiki and Shukri F Mohamed, Assessing the effectiveness of front-of-pack food labels in Kenya. ISRCTN82491256 2023. 2023.
  21. Khandpur, N. et al., Are Front-of-Package Warning Labels More Effective at Communicating Nutrition Information than Traffic-Light Labels? A Randomized Controlled Experiment in a Brazilian Sample. Nutrients 2018, 10. [Google Scholar] [CrossRef] [PubMed]
  22. Corvalán, C. et al., Structural responses to the obesity and non-communicable diseases epidemic: the C hilean L aw of F ood L abeling and A dvertising. Obesity reviews 2013, 14, 79–87. [Google Scholar] [CrossRef] [PubMed]
  23. Trustwell, Creating Mexico Front-of-Package Warning Seals and Statements. 2020.
  24. Michail, N. PERU: Nutrition warning labels become mandatory. 15 May 2019. Available online: https://www.foodnavigator-latam.com/Article/2019/06/17/Peru-Nutrition-warning-labels-become-mandatory (accessed on 15 May 2024).
  25. Egnell, M. et al., Objective Understanding of Front-of-Package Nutrition Labels: An International Comparative Experimental Study across 12 Countries. Nutrients 2018, 10, 1542. [Google Scholar] [CrossRef]
  26. White-Barrow, V. et al., Effects of front-of-package nutrition labelling systems on understanding and purchase intention in Jamaica: results from a multiarm randomised controlled trial. BMJ Open 2023, 13, e065620. [Google Scholar] [CrossRef]
  27. Grunert, K.G. J.M. Wills, and L. Fernández-Celemín, Nutrition knowledge, and use and understanding of nutrition information on food labels among consumers in the UK. Appetite 2010, 55, 177–189. [Google Scholar] [CrossRef]
  28. Machín, L. et al., Does front-of-pack nutrition information improve consumer ability to make healthful choices? Performance of warnings and the traffic light system in a simulated shopping experiment. Appetite 2018, 121, 55–62. [Google Scholar] [CrossRef]
  29. Taillie, L.S. et al., Experimental studies of front-of-package nutrient warning labels on sugar-sweetened beverages and ultra-processed foods: a scoping review. Nutrients 2020, 12, 569. [Google Scholar] [CrossRef]
  30. Grummon, A.H. and M.G. Hall, Sugary drink warnings: A meta-analysis of experimental studies. PLoS medicine 2020, 17, e1003120. [Google Scholar] [CrossRef]
  31. Taillie, L.S. et al., Changes in food purchases after the Chilean policies on food labelling, marketing, and sales in schools: a before and after study. The Lancet Planetary Health 2021, 5, e526–e533. [Google Scholar] [CrossRef] [PubMed]
  32. Roberto, C.A. et al., The Influence of Sugar-Sweetened Beverage Health Warning Labels on Parents' Choices. Pediatrics 2016, 137, e20153185. [Google Scholar] [CrossRef] [PubMed]
  33. Bablani, L. et al., The impact of voluntary front-of-pack nutrition labelling on packaged food reformulation: A difference-in-differences analysis of the Australasian Health Star Rating scheme. PLoS Med 2020, 17, e1003427. [Google Scholar] [CrossRef] [PubMed]
Figure 1. Three front-of-pack labels tested in Kenya.
Figure 1. Three front-of-pack labels tested in Kenya.
Preprints 118835 g001
Figure 2. Study Flow Chart.
Figure 2. Study Flow Chart.
Preprints 118835 g002
Figure 3. Proportions of correct identification of nutrients of concern and unhealthiness of products.
Figure 3. Proportions of correct identification of nutrients of concern and unhealthiness of products.
Preprints 118835 g003
Figure 4. Intention to purchase unhealthy foods by FOPL Labels.
Figure 4. Intention to purchase unhealthy foods by FOPL Labels.
Preprints 118835 g004
Table 1. Participants’ socio-demographic information by FOPL symbols (N=2198).
Table 1. Participants’ socio-demographic information by FOPL symbols (N=2198).
RG (N=738) RGI (N=744) WL (N=716) Total (N=2198) P-value
County 0.998
Nairobi 418 (56.6%) 430 (57.8%) 411 (57.4%) 1259 (57.3%)
Mombasa 126 (17.1%) 126 (16.9%) 122 (17.0%) 374 (17.0%)
Kisumu 132 (17.9%) 131 (17.6%) 128 (17.9%) 391 (17.8%)
Garissa 62 (8.4%) 57 (7.7%) 55 (7.7%) 174 (7.9%)
Sex 0.008
Male 363 (49.2%) 334 (44.9%) 380 (53.1%) 1077 (49.0%)
Female 375 (50.8%) 409 (55.0%) 336 (46.9%) 1120 (51.0%)
Intersex 0 (0.0%) 1 (0.1%) 0 (0.0%) 1(0.0%)
Age category 0.751
18 to 29 268 (36.3%) 257 (34.5%) 247 (34.5%) 772 (35.1%)
30 to 50 401 (54.3%) 427 (57.4%) 403 (56.3%) 1231 (56.0%)
51 and above 69 (9.3%) 60 (8.1%) 66 (9.2%) 195 (8.9%)
Education level 0.492
No education 0 (0.0%) 1 (0.1%) 2 (0.3%) 3 (0.1%)
Primary school 151 (20.9%) 164 (22.6%) 136 (19.5%) 451 (21.0%)
Secondary school 304 (42.2%) 298 (41.1%) 283 (40.5%) 885 (41.3%)
Post-secondary 266 (36.9%) 262 (36.1%) 278 (39.8%) 806 (37.6%)
Marital Status 0.131
Currently married 445 (60.3%) 431 (57.9%) 449 (62.7%) 1325 (60.3%)
Previously married 72 (9.8%) 97 (13.0%) 81 (11.3%) 250 (11.4%)
Never married 221 (29.9%) 216 (29.0%) 186 (26.0%) 623 (28.3%)
Employment status 0.126
Formal employment 154 (20.9%) 183 (24.6%) 158 (22.1%) 495 (22.5%)
Self-employed 304 (41.2%) 252 (33.9%) 261 (36.5%) 817 (37.2%)
Casual workers 157 (21.3%) 167 (22.4%) 175 (24.4%) 499 (22.7%)
Unemployed 105 (14.2%) 127 (17.1%) 105 (14.7%) 337 (15.3%)
Farmers 13 (1.8%) 12 (1.6%) 16 (2.2%) 41 (1.9%)
Others 5 (0.7%) 3 (0.4%) 1 (0.1%) 9 (0.4%)
Ethnic background 0.976
Somali 62 (8.4%) 56 (7.5%) 56 (7.8%) 174 (7.9%)
Luhya 79 (10.7%) 75 (10.1%) 83 (11.6%) 237 (10.8%)
Luo 226 (30.6%) 220 (29.6%) 199 (27.8%) 645 (29.3%)
Kikuyu 128 (17.3%) 127 (17.1%) 126 (17.6%) 381 (17.3%)
Kamba 94 (12.7%) 101 (13.6%) 95 (13.3%) 290 (13.2%)
Others 149 (20.2%) 165 (22.2%) 157 (21.9%) 471 (21.4%)
Parent with children < 18 years 0.443
No 202 (27.4%) 194 (26.1%) 175 (24.4%) 571 (26.0%)
Yes 536 (72.6%) 550 (73.9%) 541 (75.6%) 1627 (74.0%)
Main decision-maker 0.012
No 199 (27.0%) 153 (20.6%) 161 (22.5%) 513 (23.3%)
Yes 539 (73.0%) 591 (79.4%) 555 (77.5%) 1685 (76.7%)
Table 2. Comparison of Relative Risk Ratios for Correct Identification of nutrients of concern in various foods using different front-of-pack labels (FOPLs).
Table 2. Comparison of Relative Risk Ratios for Correct Identification of nutrients of concern in various foods using different front-of-pack labels (FOPLs).
Nutrients of Concern WL Vs RG WL VS RGI RGI VS RG
RRR(CI) RRR(CI) RRR(CI)
Potato crisp high in salt 0.98 (0.95-1.04) 1.10 (1.06-1.14)*** 0.89 (0.85-0.94)***
Potato crisp high in fats 0.99 (0.95- 1.03) 1.10 (1.06-1.14)*** 0.90 (0.84-0.97)**
Unhealthiness in potato crisps 0.99 (0.93- 1.06) 0.90 (0.90- 0.93)*** 1.08 (1.00- 1.17)***
Packaged juice is high in sugar 1.01 (0.99-1.04) 1.10 (1.07-1.14)*** 0.92 (0.88-0.96)***
Unhealthiness of packaged juice 0.97 (0.95- 0.99)** 0. 87 (0.83-0.91)*** 1.12 (1.05-1.18)***
Soda is high in sugar 1.00 (0.93-1.06) 1.08 (1.05-1.10)*** 0.93 (0.88-0.97)***
Unhealthiness of Soda 1.00 (0.95-1.04) 1.00 (0.95-1.03) 1.03 (1.00- 1.06)*
Bread high in sugar 1.03 (0.98-1.07) 0.70 (0.62-0.79)*** 1.47 (1.29-1.67)***
Bread high in salt 0.99 (0.95 -1.02) 1.05 (0.97-1.14) 0.95 (0.89-1.00)*
Bread high in fat 1.01 (0.99-1.03) 0.71 (0.63-0.80)*** 1.42 (1.25- 1.62)***
Unhealthiness of Bread 1.36 (1.05- 1.76)** 0.29 (0.15-0.55)*** 4.80 (2.13-10.80)***
Yoghurt high in sugar 0.80 (0.67-0.94)** 1.11 (1.09-1.14)*** 0.72 (0.60-0.86)***
Yoghurt high in salt 1.00 (0.97-1.04) 0.95 (0.85-1.05) 1.06 (0.93- 1.21)
Yoghurt high in fats 0.99 (0.92-1.05) 1.04 (1.01-1.06)*** 0.95 (0.89-1.02)
Unhealthiness in yoghurts 2.26 (1.23- 4.15)** 0.94 (0.89-0.99) 2.40 (1.28-4.51)**
Breakfast cereal high in sugar 1.39 (1.20- 1.61)*** 1.50 (1.28-1.74)*** 0.93 (0.92-0.95)***
Breakfast cereal high in salt 1.01 (0.97-1.04) 0.94 (0.85-1.05) 1.07 (0.94-1.21)
Breakfast cereal high in fats 0.99 (0.93-1.04) 1.03 (1.00-1.06)* 0.96 (0.89-1.02)*
Unhealthiness in breakfast cereals 0.26 (0.14-0.49)*** 0.25 (0.13-0.49)*** 1.04 (0.99- 1.09)
WL: warning label, RG: Red and green label, RGI: red and green label with icons, RRR: Relative risk ratio, CI: Confidence Interval, *P<0.05, **P<0.01, ***P<0.001, and the model is adjusted for sex and the role of being a decision-maker for food purchases in the household.
Disclaimer/Publisher’s Note: The statements, opinions and data contained in all publications are solely those of the individual author(s) and contributor(s) and not of MDPI and/or the editor(s). MDPI and/or the editor(s) disclaim responsibility for any injury to people or property resulting from any ideas, methods, instructions or products referred to in the content.
Copyright: This open access article is published under a Creative Commons CC BY 4.0 license, which permit the free download, distribution, and reuse, provided that the author and preprint are cited in any reuse.
Prerpints.org logo

Preprints.org is a free preprint server supported by MDPI in Basel, Switzerland.

Subscribe

Disclaimer

Terms of Use

Privacy Policy

Privacy Settings

© 2026 MDPI (Basel, Switzerland) unless otherwise stated