Submitted:
23 November 2025
Posted:
25 November 2025
Read the latest preprint version here
Abstract
Keywords:
1. Introduction and Motivation
1.1. Boundary Degrees of Freedom in Gauge Theories (Edge Modes)
1.2. Horizon as a Physical Boundary: Membrane/Impedance and Soft Hair
1.3. Why a Universal Dimensionless Ratio Is Expected
2. Related Work and Background
2.1. Holographic Entropy and an Upper Bound on Bits
2.2. On the Origin of the Fine-Structure Constant
2.3. Configuration-Space Geometry and “Bare ”
2.4. My Earlier Results on Quantized Horizons, HBMB, and
3. Core Definitions and Notation: Local Quantized Horizon and HBMB
3.1. Local Quantized Horizon (Definition)
3.2. Holographic Bit Capacity
3.3. Mode Demand and Redundancy-Free Mode Number
3.4. HBMB Principle and Fixed Point
3.5. as a fixed-point output
4. Boundary/Edge Entropy as Information Capacity
4.1. Maxwell Edge Modes and Electric-Center Entropy
4.2. Scaling of Boundary Entropy:
4.3. Physically Accessible Boundary Fraction
5. Membrane Paradigm and the Impedance Identity
5.1. Stretched-Horizon Ohm Law and
5.2. Quantum Conductance and the Von Klitzing Constant
5.3. The Scheme-Independent Bridge
6. HBMB Fixed-Point Mechanism and the Derivation of the Fixed Point
6.1. Equilibrium Condition: Bit Capacity vs. Redundancy-Free Mode Demand
6.2. Role of the Boundary-Accessible Fraction
6.3. The Local Horizon Radius from an Impedance-Matching Fixed Point (A Concrete Example)
(i) Horizon as an EM boundary.
(ii) Spherical region and the lowest radiative mode.
(iii) Minimal-reflection matching.
(iv) Natural driving scale: the Compton frequency.
6.4. The Fixed Point as an Output
7. Connection to the Earlier HBMB-Based Derivation and to the Present -Driven Local Horizon
7.1. HBMB Structure of the Earlier Derivation (Formal Reminder)
7.2. What the Present -Driven Local Horizon Adds
7.3. Unambiguous Mapping and Strengthened Content
- The boundary information capacity is an area-law quantity, written as or .
- The redundancy-free interior demand is a computable mode count, .
- The dimensionless coupling emerges as the fixed-point ratio between the two sides, rather than being assumed.
- The notion of a local horizon acquires a physical and operational definition. In the earlier paper arose as an energy minimum and could appear model-dependent from the outside. Here we show that the same scale follows from boundary matching and membrane impedance, turning the “why this horizon?” question into a calculable statement.
- The fixed-point value is tied scheme-independently to an impedance ratio. The present work yields not only as but as the universal electromagnetic ratio , linking classical boundary response to quantum transport.
- The HBMB mechanism becomes explicitly local. While the earlier paper already implemented HBMB at a microscale, the present framework shows that the same balance functions as a general local-horizon mechanism driven by boundary physics, i.e. beyond any particular bag-model realisation.
8. Multi-Scale Consistency and Falsifiable Predictions
8.1. Microscale: Boundary DOF, Edge Entropy, and the Local Fixed Point
8.2. Mesoscale: Boundary Reduction from Gauge Redundancy
8.3. Macro/Analogue Level: The Local Horizon as an Information Threshold
8.4. Platform-Agnostic Falsifiable Predictions
(P1) Emergence of the ratio in impedance-based boundary analogues.
(P2) Running and scale dependence: no new universal constant.
(P3) Plateau–click pattern of redundancy-free mode density under parameter sweeps.
8.5. Scheme Dependence and Risk Control
9. Conclusion
(1) Boundary degrees of freedom and edge entropy.
(2) Horizon as a physical boundary: membrane/impedance bridge.
(3) HBMB fixed point and the output value of .
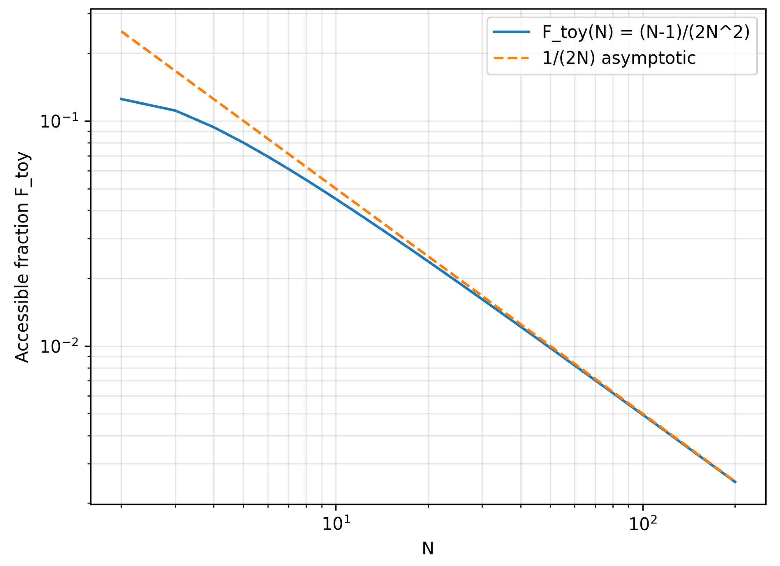
Appendix J A Lattice U(1) Toy Model for Boundary Scaling (Axial Gauge)
Appendix J.1 A.1. Lattice and Link Variables
Appendix J.2 A.2. Gauge Transformations and Axial Gauge Fixing
Appendix J.3 A.3. Zero-Flux Sector and Boundary-Type Free DOF
Appendix J.4 A.4. Accessible Fraction and Boundary Scaling
Appendix J.5 A.5. Interpretation
Appendix J.6 A.6. Numerical Check and Figure


References
- J. D. Bekenstein, “Black Holes and Entropy,” Phys. Rev. D 7, 2333 (1973).
- S. W. Hawking, “Particle Creation by Black Holes,” Commun. Math. Phys. 43, 199 (1975).
- R. M. Wald, “Jacob Bekenstein and the Development of Black Hole Thermodynamics,” arXiv:1805.02302 [gr-qc] (2018).
- W. Donnelly and A. C. Wall, “Entanglement Entropy of Electromagnetic Edge Modes,” Phys. Rev. Lett. 114, 111603 (2015), arXiv:1412.1895 [hep-th]. [CrossRef]
- W. Donnelly and A. C. Wall, “Geometric Entropy and Edge Modes of the Electromagnetic Field,” arXiv:1506.05792 [hep-th] (2015). [CrossRef]
- K. S. Thorne, R. H. Price, and D. A. Macdonald (eds.), Black Holes: The Membrane Paradigm, Yale University Press (1986). [CrossRef]
- S. W. Hawking, M. J. Perry, and A. Strominger, “Soft Hair on Black Holes,” Phys. Rev. Lett. 116, 231301 (2016), arXiv:1601.00921 [hep-th]. [CrossRef]
- H. Casini, M. Huerta and J. A. Rosabal, “Remarks on entanglement entropy for gauge fields,” Phys. Rev. D 89, no.8, 085012 (2014), arXiv:1312.1183 [hep-th]. [CrossRef]
- CODATA 2018 recommended values of the fundamental physical constants, see NIST/CODATA summary tables (2018).
- D. Nagy, “A First-Principles Derivation of the Fine-Structure Constant from Holographic Bit–Mode Balance,” preprint (2025). https://osf.io/preprints/osf/hw2je.
- D. Nagy, “Holographic Vacuum Energy from Quantized Horizons,” preprint (2025). https://osf.io/preprints/osf/m8t6h.
- A. J. Murphy, “Closed-Form Derivation of the Fine-Structure Constant from U(1) Configuration Space Geometry,” preprint (2025). 10.5281/zenodo.15426464.
- M. K. Parikh and F. Wilczek, “An action for black hole membranes,” Phys. Rev. D 58, 064011 (1998). [CrossRef]
- K. von Klitzing, G. Dorda, and M. Pepper, “New method for high-accuracy determination of the fine-structure constant based on quantized Hall resistance,” Phys. Rev. Lett. 45, 494–497 (1980). [CrossRef]
- T. Damour, “Black-hole eddy currents,” Phys. Rev. D 18, 3598 (1978). [CrossRef]
- R. L. Znajek, “The electric and magnetic conductivity of a Kerr hole,” Mon. Not. R. Astron. Soc. 185, 833–840 (1978). [CrossRef]
- B. Jeckelmann and B. Jeanneret, “The quantum Hall effect as an electrical resistance standard,” Rep. Prog. Phys. 64, 1603–1655 (2001). [CrossRef]
- P. J. Mohr, D. B. Newell, and B. N. Taylor, “CODATA recommended values of the fundamental physical constants: 2014,” Rev. Mod. Phys. 88, 035009 (2016). [CrossRef]
- J. D. Jackson, Classical Electrodynamics, 3rd ed., John Wiley & Sons, New York (1999).
- A. Chodos, R. L. Jaffe, K. Johnson, C. B. Thorn, and V. F. Weisskopf, “New extended model of hadrons,” Phys. Rev. D 9, 3471 (1974). [CrossRef]
- R. Camporesi and A. Higuchi, “On the eigenfunctions of the Dirac operator on spheres and real hyperbolic spaces,” J. Geom. Phys. 20, 1–18 (1996). [CrossRef]
- D. V. Vassilevich, “Heat kernel expansion: user’s manual,” Phys. Rept. 388, 279–360 (2003). [CrossRef]
- P. B. Gilkey, Invariance Theory, the Heat Equation, and the Atiyah–Singer Index Theorem, 2nd ed., CRC Press (1995).
- K. Kirsten and A. J. McKane, “Functional determinants by contour integration methods”, Ann. Phys. 308, 502 (2003). [CrossRef]
- G. V. Dunne and K. Kirsten, “Functional Determinants for Radial Operators,” arXiv:0812.0620. [CrossRef]
- M. E. Peskin and D. V. Schroeder, An Introduction to Quantum Field Theory, Addison–Wesley, Reading, MA (1995).
- J. B. Kogut, “An Introduction to Lattice Gauge Theory and Spin Systems,” Rev. Mod. Phys. 51, 659 (1979). [CrossRef]
Disclaimer/Publisher’s Note: The statements, opinions and data contained in all publications are solely those of the individual author(s) and contributor(s) and not of MDPI and/or the editor(s). MDPI and/or the editor(s) disclaim responsibility for any injury to people or property resulting from any ideas, methods, instructions or products referred to in the content. |
© 2025 by the author. Licensee MDPI, Basel, Switzerland. This article is an open access article distributed under the terms and conditions of the Creative Commons Attribution (CC BY) license (https://creativecommons.org/licenses/by/4.0/).