Preprint
Article

This version is not peer-reviewed.

Adaptation and Validation of the Socio-Educational and Cultural Ambivalence Scale in the Mapuche School Context

Submitted:

17 November 2025

Posted:

17 November 2025

You are already at the latest version

Abstract
The study aimed to adapt and psychometrically validate the Socio-Educational and Cultural Ambivalence Scale (EASC) in the context of Chilean intercultural education, considering teachers, students, and parents/caregivers. Socio-educational ambivalence is defined as the coexistence of contradictory beliefs, emotions, and practices in the relationship between dominant school knowledge and Mapuche educational knowledge. Using a sequential mixed qualitative–quantitative design, we conceptually reviewed the original instrument (Quilaqueo et al., 2016) and administered the adapted version to a sample of 739 participants (266 teachers, 286 students, and 183 parents/caregivers) from the regions of Biobío, La Araucanía, and Los Lagos. We proposed two six-factor scales: one shared by adults (teachers and parents/caregivers) and another with the same structure but fewer indicators for students. Confirmatory Factor Analysis (CFA) showed good model fit both for teachers and parents/caregivers (χ² = 1,100.85, df = 311, p < .001; RMSEA = .075; SRMR = .058; CFI = .934; TLI = .926) and for students (χ² = 378.546, df = 146, p < .001; RMSEA = .074; SRMR = .033; CFI = .978; TLI = .974). Composite reliability coefficients ranged from ω = .702–.974 for adults and ω = .749–.948 for students. The results support factorial validity, internal consistency, and scalar invariance for the adult category of the instrument (teachers and parents/caregivers), confirming its usefulness for assessing epistemic and cultural tensions in intercultural educational contexts. The EASC contributes to the development of tools that foster a more plural, reflective, and context-sensitive understanding of education in Indigenous territories.
Keywords: 
;  ;  ;  ;  

1. Introduction

Intercultural education in Chile has long faced the persistent challenge of articulating two epistemic universes: the dominant school knowledge of Western origin and the educational knowledge of Indigenous peoples, particularly that of the Mapuche (Quilaqueo, Quintriqueo, & Torres, 2017; Walsh, 2010). In this context, the phenomenon of socio-educational and cultural ambivalence emerges as a key category for understanding the cognitive, emotional, and ethical tensions experienced by teachers, students, and families as they interact within the school setting. This ambivalence reflects the coexistence of contradictory cultural orientations: on one hand, adherence to the values of modern schooling, and on the other, the persistence of practices, beliefs, and rationalities rooted in Mapuche knowledge systems (Gasché, 2013; Tabboni, 2007; Quilaqueo & Torres, 2022).
From a theoretical standpoint, ambivalence is understood as a structural disposition of social actors who oscillate between opposing norms or values (Simmel, 1971; Merton, 1968; Elias, 1994). In the educational field, this category becomes particularly relevant in culturally diverse settings, where pedagogical relations are shaped by colonial hierarchies, symbolic inequalities, and identity-based tensions that strain the dialogue between knowledge systems (Bertely & Gasché, 2011; Tubino, 2007). In Chile, the schooling of the Mapuche people reproduces mechanisms of sociocultural domination rooted in the monocultural epistemology of modern scientific rationality (Santos, 2009; Quilaqueo, Sartorello, & Torres, 2020). This rationality, according to Olivé (2009), has established an epistemological monism that excludes or subordinates Indigenous forms of knowledge, reinforced by the content of the national curriculum and teacher education programs.
The concept of educational ambivalence refers to the coexistence of opposing principles, beliefs, and emotions within individuals and institutions involved in teaching and learning processes. Building on Simmel (1971), Merton (1968), and Elias (1994), ambivalence represents the dual orientation of human behavior between defending individual life and participating in collective life. In the school environment, this ambivalence is expressed in the internal contradictions experienced by teachers and students regarding the values, symbols, and expectations that coexist in culturally diverse contexts. It is not merely indecision or cognitive conflict but a structural tension between epistemic rationalities—one dominant, the other subordinated—that operate simultaneously within the educational field (Gasché, 2013; Tubino, 2007). In intercultural contexts, this ambivalence takes two complementary forms: socio-educational ambivalence and cultural ambivalence.
Socio-educational ambivalence refers to the coexistence of frameworks for valuing knowledge—school-based and Indigenous—that shape the ways in which educational content is taught, learned, and evaluated. It should not be understood as a temporary contradiction but rather as an internal structure of pedagogical thought and action in contexts of sociocultural domination that hinder intercultural engagement. Following Simmel’s (1971) classical reading, ambivalence is an inherent feature of social life: individuals act under opposing impulses—individualism and collectivism, permanence and change, authority and autonomy—which are simultaneously expressed in daily experience. Merton (1968) expanded this notion by arguing that social roles generate incompatible demands that individuals must balance through adaptive strategies.
From this perspective, educational ambivalence produces the cognitive, affective, and value-based tensions that permeate teaching and learning processes when different knowledge systems coexist. It represents a form of structural dissonance that emerges both from inter-societal conflict and from the simultaneous internalization of opposing cultural rationalities: an instrumental and universalist rationality associated with modern school knowledge, and a community-based, situated rationality linked to Indigenous and family knowledge systems (Gasché, 2013).
Among teachers working in schools with Mapuche student populations, this ambivalence may manifest as difficulty in recognizing or incorporating educational content—such as the Mapuzugun language—into their pedagogical practice. For students, ambivalence often emerges as a fragmented identity experience: while they learn to navigate the expectations of the school system, they must also resist or reinterpret narratives that render invisible their roots and family knowledge. This dynamic creates a constant field of tension between who they are expected to be and who they are within their cultural experience (Bertely & Gasché, 2011).
Cultural ambivalence, more affective and symbolic in nature, describes the tension experienced by individuals who participate in different cultural systems and must reconcile diverse identity, spiritual, and community-based loyalties (Tabboni, 2007; Schütz, 1976). It is conceptualized as an internal state of tension between incompatible value systems and expectations, where individuals experience simultaneous acceptance and resistance (Tabboni, 2007; Gasché, 2013). In the Mapuche context, this ambivalence manifests as oscillation between loyalty to family knowledge and the need to adhere to models of “Western success.” Thus, a permanent space of identity negotiation emerges (Riquelme et al., 2024), marked by the coexistence of opposing normative ideals, such as the promotion of cultural diversity and adherence to universal standards of knowledge (Elias, 1994; Tabboni, 2007).

1.1. The Need for an Instrument to Measure Socio-Educational Ambivalence

From a psychological perspective, this condition expresses both conflict and adaptive potential, understood as the capacity of individuals to articulate divergent cultural meanings and generate creative syntheses. For this reason, instruments designed to assess ambivalence do not aim to pathologize it, but rather to measure its structure and directionality.
In epistemic terms, ambivalence does not imply inconsistency; instead, it reflects the possibility of recognizing the coexistence of multiple rationalities within educational processes (Fornet-Betancourt, 2018; Walsh, 2010). From this viewpoint, ambivalence is also a sign of cultural resistance, as it expresses the effort of individuals to maintain their own frameworks of reference amid the homogenizing pressures of schooling. Understanding it therefore requires an approach that integrates the psychological, sociocultural, and political levels, articulating the affective dimensions of conflict with the institutional structures that sustain it (Quilaqueo & Torres, 2022).
We thus consider ambivalence as lying at the core of the epistemic tension between dominant school knowledge and subordinated Mapuche educational knowledge, identifying within it a key to understanding the obstacles faced by education in culturally diverse contexts.
Despite its theoretical relevance, socio-educational ambivalence has been scarcely operationalized in educational research. Most studies on intercultural education have centered on qualitative descriptions of teacher discourse or practice, without developing instruments capable of empirically assessing epistemic and cultural tensions in the classroom. This gap limits cross-context comparisons and constrains the development of evidence-based public policies.
The development of the Socio-Educational and Cultural Ambivalence Scale (EASC) responds to a twofold need. First, it seeks to create a psychometric instrument that translates the conceptual categories of epistemological pluralism into observable indicators, while maintaining theoretical fidelity to the model of double educational rationality. Second, it aims to provide a tool capable of assessing the presence and levels of ambivalence among both teachers and students, enabling comparative analyses across regions, educational levels, and cultural groups.
The design of the scales draws upon this theoretical matrix to measure cultural orientations toward the school system, the valuation of Mapuche knowledge, and perceptions of the educational system as a factor of assimilation or integration, thereby allowing the construction of educational ambivalence profiles associated with acculturation strategies.
The scale was conceived to uncover the nature of socio-educational and cultural ambivalence that strains the dialogue between Mapuche educational knowledge and school-based knowledge. It therefore constitutes an essential methodological step toward consolidating an empirical field of critical intercultural education in Chile.
From an epistemological standpoint, having such a tool makes it possible to advance toward a sociology of educational ambivalences—a perspective that recognizes the plurality of meanings, resistances, and negotiations shaping pedagogical practice in culturally diverse territories. From an applied perspective, it enables the identification of ambivalence patterns that may inform teacher training processes, curricular redesign, and psycho-educational support for Indigenous students.
In sum, exploring socio-educational ambivalence through a valid and reliable instrument is both a scientific and an ethical endeavor. It entails not only measuring a psychological variable but also capturing a culturally situated relational dynamic that reveals the tensions—and potential forms of recognition—between the epistemes that coexist within Chilean schools.

2. Materials and Methods

2.1. Approach and Study Design

An instrumental design was developed to adapt and psychometrically validate the Socio-Educational and Cultural Ambivalence Scale (EASC) in its versions for students (EASC-E), teachers (EASC-D), and parents/caregivers (EASC-P). The scale was conceived to measure the coexistence of contradictory cultural orientations within intercultural educational processes.

2.2. Participants

A total of 739 individuals participated, ranging in age from 10 to 72 years (M = 30.48; SD = 15.6). Of the sample, 62.9% identified as women, 36.1% as men, and 0.9% did not report their gender. Regarding ethnic identification, 62.7% self-identified as Mapuche and 37.3% as non-Mapuche. Participants were distributed across three school roles: 36% teachers, 38.8% students, and 25.2% parents/caregivers belonging to primary and secondary schools in the regions of Biobío (2.2%), La Araucanía (83.4%), and Los Lagos (14.5%).
Teacher ages ranged from 23 to 72 years (M = 41.83; SD = 10.39); parents/caregivers ranged from 19 to 60 years (M = 40.54; SD = 9.16); and students ranged from 10 to 18 years (M = 13.55; SD = 1.98). Gender and ethnic ancestry distributions for each group are presented in Table 1.
This sample size met recommended criteria for factor analyses, including at least five to ten cases per item (Nunnally & Bernstein, 1995; Lloret-Segura et al., 2014), ensuring parameter stability and reliability in model estimation. School selection was based on intercultural relevance, requiring that at least 10% of enrolled students self-identify as Mapuche, according to records from the Ministry of Education (Mineduc) and the 2017 National Census (INE, 2018). For the teacher group, inclusion criteria required being employed in schools with significant enrollment of Mapuche students. For the student group, inclusion criteria were: (a) self-identification as Mapuche, and (b) being enrolled between 8th grade and 12th grade.

2.3. Instruments

The Socio-Educational and Cultural Ambivalence Scale (EASC) is grounded in a theoretical framework that integrates two conceptual traditions: (a) the model of double educational rationality (Quilaqueo et al., 2016; Quilaqueo, Torres, & Álvarez, 2022), which conceives the coexistence of two epistemic systems in tension—the modern school rationality and the Mapuche community rationality—and (b) the theoretical approach to educational ambivalence as cognitive and affective tension in response to conflicting values and knowledge systems (Gasché, 2013; Tabboni, 2007).
Socio-educational and cultural ambivalence is expected to manifest differently depending on the actor’s role within the school institution. While Mapuche students experience this ambivalence as an identity- and emotion-based tension in relation to school, parents/caregivers encounter it as a dissonance between family educational values and the norms of the formal school system. Consequently, two complementary and conceptually equivalent instruments were developed, designed to capture the perceptions and experiences of both groups from their respective positions within the educational community.
Thus, the design of the scales followed a parallel logic: maintaining conceptual equivalence across instruments while adapting language, level of abstraction, and item complexity to the characteristics of each target group. Both questionnaires were originally developed in Spanish and underwent linguistic review in Mapuzugun to ensure cultural and semantic adequacy.
a. Conceptual Exploration and Item Construction
Instrument development began with a qualitative exploratory phase, described in Instrumentos de exploración de la ambivalencia (2023). Interviews and participatory workshops were conducted with Mapuche students, teachers, and families. These activities enabled the identification of semantic cores and empirical categories that informed the initial item pool. Based on these findings, item sets were constructed aligned with the six dimensions empirically validated in previous research on Mapuche educational rationality (Quilaqueo et al., 2023).All three versions share the same factorial structure. The teacher and parent/caregiver scales include the same number of items (36), with language adapted to each group. The student version includes 25 items representing the same factors. Items are rated on a five-point Likert-type scale (1 = Strongly disagree to 5 = Strongly agree).
The scale is organized into six dimensions that explore the relationship between educational practices, local knowledge, and cultural recognition.
1. Integration of Contextual and Cultural Knowledge: Evaluates the incorporation of Mapuche cultural and contextual knowledge into the school curriculum. High scores indicate meaningful integration between local and academic knowledge; low scores reflect dominance of Western knowledge.
Examples:
EASC-E: “E_10 I like when we use examples from the Mapuche community to understand school subjects.”
EASC-P: “P_10 We consider it important for the school to incorporate knowledge from the territory and Mapuche culture.”
EASC-D: “D_10 I strive to include local Mapuche knowledge when teaching school content.”
2. School–Community Linkages and Knowledge Mobilization: Assesses collaboration between school, family, and community in transmitting traditional knowledge.
High scores indicate active, reciprocal links; low scores suggest disconnection or symbolic participation.
Examples:
EASC-E: “E_13 I enjoy when school activities involve the Mapuche community.”
EASC-P: “P_13 We gladly participate when the school organizes activities with the community.”
EASC-D: “D_13 I value collaboration with Mapuche families in educational and cultural projects.”
3. Equal Treatment and Recognition of Cultural Diversity: Examines equitable treatment and recognition of cultural diversity within the school. High scores indicate inclusion and respect; low scores reflect invisibilization or disregard of differences.
Examples:
EASC-E: “E_15 Teachers value the different cultures of students.”
EASC-P: “P_15 The school recognizes and respects the culture of every family.”
EASC-D: “D_15 I strive for all my students’ cultures to be equally valued in the classroom.”
4. Cultural Identity and Resistance to Homogenization: Assesses preservation of Mapuche identity in the face of homogenizing pressures within the school system. High scores indicate pride and continuity; low scores reflect cultural loss or displacement.
Examples:
EASC-E: “E_17 I am proud of my culture and I enjoy learning about it.”
EASC-P: “P_17 We are concerned that the school may weaken our children’s cultural identity.”
EASC-D: “D_17 Teaching should strengthen Mapuche students’ cultural identity.”
5. Intercultural Education and Deepening of Traditional Knowledge: Evaluates the depth with which Mapuche knowledge is taught, avoiding folklorization. High scores indicate substantive teaching; low scores reflect superficial or symbolic practices.
Examples:
EASC-E: “E_20 It is important to learn what Mapuche people know about plants and animals.”
EASC-P: “P_20 We value when the school teaches traditional knowledge beyond celebrations.”
EASC-D: “D_20 I seek to meaningfully incorporate traditional Mapuche knowledge into the curriculum.”
6. Participation in Cultural Ceremonies and Hybrid Spaces: Assesses participation in Mapuche ceremonies as spaces for cultural encounter and hybridization. High scores indicate meaningful and respectful participation; low scores reflect absence or trivialization.
Examples:
EASC-E: “E_23 I enjoy participating in cultural ceremonies at school.”
EASC-P: “P_23 We consider it important for schools to include Mapuche ceremonies as part of learning.”
EASC-D: “D_23 Participation in cultural ceremonies strengthens intercultural respect among students.”
Validation
The adaptation process followed international guidelines for test construction and validation in multicultural contexts (Muñiz, Elosua, & Hambleton, 2013), encompassing the following stages: a) Conceptual review: The research team examined theoretical and empirical literature on ambivalence, interculturality, and educational rationalities to refine the scale dimensions. b) Linguistic–cultural review: Semantic appropriateness of items for teacher and student populations was assessed, adapting expressions to the cultural and linguistic register of the Mapuche context. c) Expert judgment: Experts in intercultural education, psychometrics, and sociology of education evaluated item clarity, relevance, and representativeness.

2.4. Procedure

The study was carried out in coordination with participating schools. The scale was administered in person during school hours with prior authorization from school principals. Each participant received written information about the study’s objectives and procedures, signing informed consent or assent as appropriate, in accordance with ethical guidelines for educational research (Sánchez, 1992; Aréchiga, 2004). Administration was conducted collectively, in groups of 15 to 30 participants, under the supervision of a trained researcher and assistant. The average duration was 25 minutes. Data were recorded anonymously and coded in a secure database, ensuring confidentiality and participant integrity. The process also included the return of partial results to participating school communities, as part of the ethical and reciprocity commitments of the Fondecyt project.

2.5. Data Analysis

Because the student scale does not contain the same number of items as the teacher and parent/caregiver versions, the analyses were conducted independently for: (1) Students, and (2) Teachers and parents/caregivers.
Normality was examined for all items to select the appropriate estimators for subsequent analyses. Confirmatory Factor Analysis (CFA) was conducted using the robust weighted least squares estimator (ULSMV) (Brown, 2015; Muthén & Muthén, 2017). To evaluate model fit, the following indices were examined: Chi-square and chi-square/df ratio; Root Mean Square Error of Approximation (RMSEA); Standardized Root Mean Square Residual (SRMR); Comparative Fit Index (CFI); Tucker–Lewis Index (TLI). In general, a model is considered to have adequate fit when χ2/df ≤ 3, RMSEA < .08 (ideally < .05), SRMR < .08, and CFI/TLI ≥ .90 (preferably ≥ .95) (Hu & Bentler, 1999; Kline, 2016; Byrne, 2016).
Regarding internal parameters, standardized factor loadings (λ) ≥ .40 were considered acceptable, although loadings ≥ .60 are desirable as they indicate adequate representation of the item within its factor (Hair et al., 2019). Composite reliability (CR) should exceed .70, and average variance extracted (AVE) should reach at least .50, indicating convergent validity and internal consistency (Fornell & Larcker, 1981).
Discriminant validity was examined using the Fornell–Larcker criterion, comparing shared variance across constructs with variance extracted. Since discriminant validity was not achieved, a second-order factor model was tested, provided it met theoretical and statistical criteria (Varela et al., 2006). High standardized loadings (> .90) between first- and second-order factors are not considered problematic when the model is well-identified and theoretically coherent (Hair et al., 2019; Kline, 2016).
A second phase examined measurement invariance between teachers and parents/caregivers. Invariance analysis assesses whether the factorial structure is equivalent across groups. Three hierarchical levels were tested: (a) Configural invariance, verifying the same factor structure; (b) Metric invariance, testing equality of factor loadings; and (c) Scalar invariance, testing equality of intercepts or thresholds.
Invariance is supported when the decrease in CFI is ≤ .01 and the increase in RMSEA is ≤ .015 (Cheung & Rensvold, 2002; Chen, 2007). Normality analyses were conducted using SPSS v.26 (IBM Corp., 2020). CFA and invariance analyses were performed with Mplus v.8.8 (Muthén & Muthén, 2024). AVE, reliability, and convergent and discriminant validity were calculated using Microsoft Excel v.16 (Microsoft, 2023).

2.6. Ethical Considerations

The research was approved by the Ethics Committee of the Catholic University of Temuco (Ethical Res. No. 2023-047). The principles of voluntariness, confidentiality, anonymity and community return of results were ensured, in coherence with the guidelines of intercultural ethics and respect for Mapuche knowledge (Tubino, 2007; Fornet-Betancourt, 2018)

3. Results

The Kolmogorov–Smirnov test indicated that the distribution of the data does not conform to normal (p < .05). Excellent goodness-of-fit indices were found for both the teachers and parents scale (χ2 = 957.33, df = 302, p < 0.001; RMSEA = 0.069; SRMR = 0.052; CFI = 0.946; TLI = 0.937) and for the student scale (χ2 = 358.63, df = 137, p < 0.001; RMSEA = 0.075; SRMR = 0.031; CFI = 0.979; TLI = 0.974). The standardized loads of all items are greater than 0.4, which can be seen in the structure of the scales in Table 2 and Table 3.
In Table 4 and Table 5, it can be seen that the scales show good reliability indices and convergent validity. Likewise, it is appreciated that there is insufficient evidence in favor of discriminant validity between the latent variables.
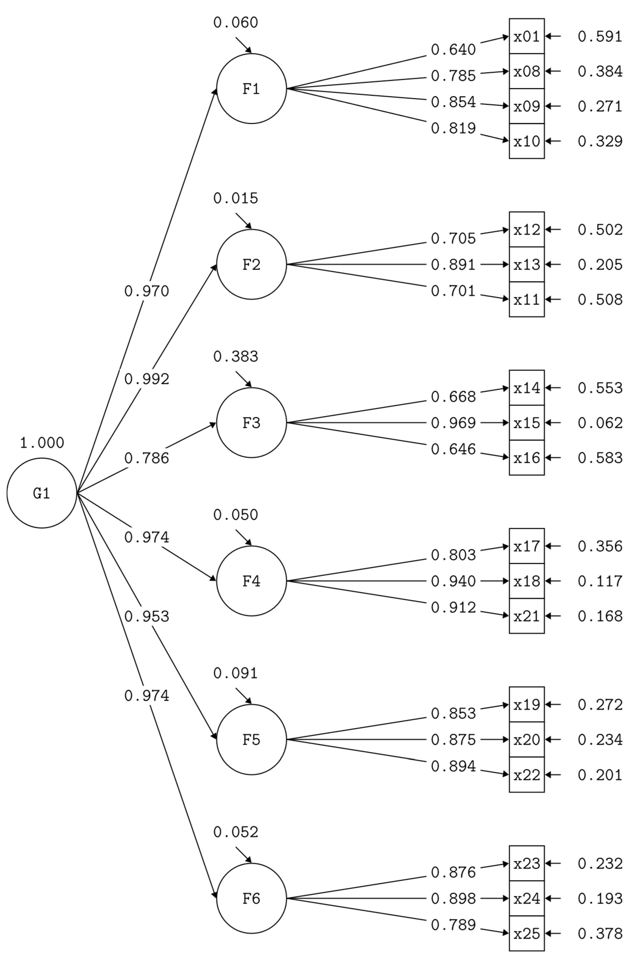
Considering that there was no evidence of discriminant validity, a model with a second-order factor was proposed for each scale (Figure 1 and Figure 2). The model presented a good fit to the data for both the teachers and parents scale (χ2 = 1100.85, df = 311, p < 0.001; RMSEA = 0.075; SRMR = 0.058; CFI = 0.934; TLI = 0.926) and for the student scale (χ2 = 378.546, df = 146, p < 0.001; RMSEA = 0.074; SRMR = 0.033; CFI = 0.978; TLI = 0.974).

Invariance of Measurement

The proposed model showed a good fit to the data for both the group of Teachers (χ2 = 606.53, df = 302, p < 0.001; RMSEA = 0.062; SRMR = 0.054; CFI = 0.957; TLI = 0.950) and for the group of Parents (χ2 = 617.87, df = 302, p < 0.001; RMSEA = 0.075; SRMR = 0.062; CFI = 0.946; TLI = 0.937). Scalar invariance was achieved for the role category (Teachers and Parents groups), which is evidenced in Table 5.
X2 Gl p–value RMSEA CFI TLI Δ CFI Δ RMSEA
Configural 1120,465 604 < 0.001 0,067 0,952 0,944
Metric 972,546 625 < 0.001 0,050 0,973 0,969 0,021 -0,017
Scalar 1126,085 700 < 0.001 0,052 0,967 0,967 -0,006 0,002

4. Discussion

The results obtained in the validation of the Socio-Educational and Cultural Ambivalence Scale (EASC) confirm both the theoretical relevance and the empirical robustness of the construct within the context of intercultural education. The six-factor structure showed satisfactory fit indices across the three versions of the scale (teachers, parents/caregivers, and students), indicating the stability of the double educational rationality model (Quilaqueo et al., 2016) as an explanatory framework for the cognitive, affective, and value-based tensions that shape intercultural school experiences.
First, the internal consistency of the scales and the high ordinal reliability (ω ranging from .73 to .91) demonstrate that socio-educational ambivalence can be measured with precision and compared across different groups within the school community. These findings provide empirical support for the hypothesis that ambivalence constitutes a structural disposition rather than an accidental or merely contextual phenomenon (Simmel, 1971; Tabboni, 2007). The confirmation of a second-order factor additionally suggests the presence of a latent overarching dimension—epistemic ambivalence—that encompasses the various manifestations of cultural tension between school knowledge and Mapuche knowledge.
Second, the absence of discriminant validity among the dimensions indicates a significant interdependence between the cognitive and affective components of the phenomenon. Theoretically, this reinforces the idea that practices of knowledge integration, recognition of cultural diversity, and participation in ceremonial spaces do not operate in isolation but rather as complementary expressions of a shared intercultural meaning structure (Gasché, 2013; Fornet-Betancourt, 2018). Consequently, the EASC not only measures attitudes but also allows inferences about cultural relational modes and identity orientations in the context of schooling.
The evidence of scalar invariance between teachers and parents/caregivers is particularly relevant. This finding confirms that both groups interpret the evaluated constructs equivalently, enabling legitimate comparisons between school actors. The alignment in the factorial structure suggests that ambivalence is not an individual trait but a relational phenomenon emerging from the interaction of educational rationalities in tension (Walsh, 2010; Quilaqueo & Torres, 2022). From an intercultural perspective, this convergence underscores the need to understand ambivalence as a form of symbolic resistance and identity negotiation in response to the epistemological monism of the Chilean school system (Santos, 2009; Olivé, 2009).
Additionally, the high correlations between the dimensions related to Integration of Contextual Knowledge and Deep Intercultural Education reflect a positive disposition toward knowledge dialogue, consistent with the integration strategy described by Berry (1997, 2017). However, the coexistence of items oriented toward assimilation or separation suggests that the school continues to be a space of unresolved cultural ambivalence: actors recognize the importance of Mapuche knowledge while simultaneously reproducing the legitimacy criteria of Western knowledge.
These findings allow ambivalence to be interpreted as an indicator of transition between educational models. Among teachers and parents/caregivers, it expresses the tension between institutional expectations of the national curriculum and community aspirations for cultural recognition; among students, it reflects the effort to articulate a bicultural identity within school structures that still privilege academic universalism. Thus, ambivalence becomes a marker of the epistemic inequalities that persist in Chilean education, as well as a potential site for pedagogical transformation.
Ultimately, the study confirms that socio-educational ambivalence should not be conceived as a deficit in cultural coherence but rather as an adaptive and critical response to educational contexts characterized by epistemic hegemony. In this sense, the EASC contributes significantly to the fields of intercultural psychology and the sociology of education by offering an empirical tool capable of translating into observable dimensions the symbolic and affective tensions that structure pedagogical experiences in Indigenous territories.
The study presents several limitations that must be acknowledged. First, although the sample was large and territorially diverse, it was concentrated in three regions of southern Chile, which limits the generalizability of the results to other Indigenous groups or urban areas with lower Mapuche representation. Second, the cross-sectional nature of the design prevents the assessment of the temporal stability of socio-educational ambivalence; thus, future studies should incorporate longitudinal measurements to observe how it evolves throughout the school trajectory.
Another limitation concerns the potential influence of social desirability bias, particularly among teachers, whose responses may have been influenced by institutional discourses on interculturality rather than by actual practices. Furthermore, the lack of discriminant validity among dimensions suggests the need to revise the wording of some items to increase empirical independence across factors and strengthen the structural validity of the model. Finally, the linguistic–cultural adaptation to Mapuzugun still requires a deeper semantic validation process to ensure full comprehension of the items in bilingual or community-based contexts.
It is recommended that the EASC be applied in other intercultural educational contexts in Latin America—such as Quechua, Aymara, or Guaraní communities—to explore the universality of the construct and compare forms of socio-educational ambivalence across different sociocultural configurations.
From a methodological standpoint, future research should develop longitudinal and multigroup invariance studies to identify trajectories of change in intercultural orientations among teachers and students, as well as the institutional conditions that foster or inhibit epistemic integration. In applied terms, the EASC can serve as a diagnostic tool in teacher training programs, supporting the identification of cultural tensions and guiding context-sensitive pedagogical support processes.
Finally, consolidating an empirical field around educational ambivalence opens an interdisciplinary research agenda that integrates psychometrics with anthropology of education, discourse analysis, and public policy evaluation. The scale validated here represents a significant step toward constructing an epistemically plural education system in which cultural differences are not translated into hierarchies but rather into the foundations of a more just, reflective, and transformative dialogue of knowledge.

Author Contributions

Conceptualization, E.R. methodology, F.M.; validation, D.Q., H.T. and G.M.; formal analysis, F.M.; investigation, D.Q.; resources, D.Q.; data curation, F.M.; writing—original draft preparation, E.R.; writing—review and editing, F.M.; supervision, D.Q.; project administration, D.Q.; funding acquisition, D.Q. All authors have read and agreed to the published version of the manuscript.

Funding

This research was funded by FONDECYT, grant number 1231178 Ambivalencia sociocultural y educativa en contexto mapuche: tensión epistemica de docentes con estudiantes y padres de familia”.

Institutional Review Board Statement

The study was conducted in accordance with the Declaration of Helsinki, and approved by the Ethics Committee of Católica de Temuco University (Ethical Res. No. 2023-047).

Informed Consent Statement

Informed consent was obtained from all subjects involved in the study

Data Availability Statement

Data is unavailable due to ethical restrictions.

Conflicts of Interest

The authors declare no conflicts of interest. The funders had no role in the design of the study; in the collection, analyses, or interpretation of data; in the writing of the manuscript; or in the decision to publish the results.

Appendix A

Appendix A.1

Dimension Items (Teachers) Items (Parents) Items (Students)
Integration of Contextual and Cultural Knowledge D_1. I value that my students learn about both Mapuche and Chilean culture. D_8. Learning based on the local context improves students’ understanding of what is taught in school. D_9. It is crucial to include Mapuche cultural knowledge in the school curriculum. D_10. The link between the school and the Mapuche community facilitates a better understanding and dialogue of knowledge. P_1. I value learning about both the Mapuche culture and the Chilean culture. P_8. Learning from the local context improves understanding of what the school teaches students. P_9. It is crucial to include Mapuche cultural knowledge in the school curriculum. P_10. The link between school and community facilitates the dialogue of knowledge. E_1. I value learning about both the Mapuche culture and the Chilean culture. E_8. I prefer that school activities include topics from the Mapuche culture. E_9. I like it when we learn about the traditions and celebrations of the Mapuche community at school. E_10. I like it when we use examples from the Mapuche community to understand the subjects. E_11. I enjoy classes that connect what I learn in school to my life at home.
School-Community Linkage and Knowledge Mobilization D_11. It is essential to involve Mapuche families in the cultural formation of students. D_12. Rural schools promote more Mapuche cultural practices than urban ones. D_13. The school should foster a sense of belonging between Mapuche families and the educational community. D_14. The active link between family, school and community is key to preserving and strengthening the Mapuche culture. P_11. It is essential to involve families in the cultural formation of students. P_12. Rural schools promote more Mapuche cultural practices than urban ones. P_13. The school should foster a sense of belonging between families and the educational community. P_14. The family-school-community link is key to preserving the Mapuche culture. E_12. It is important to me that my parents come to school for cultural activities. E_13. I enjoy when activities at school involve the Mapuche community.
Equal Treatment and Recognition of Cultural Diversity D_15. There should be no differences in the treatment between Mapuche and non-Mapuche students in the classroom. D_16. Equal treatment should recognize the cultural differences of all students. D_17. In school, all cultures must be respected equally. D_18. The Mapuche culture is equally respected in the teachings within the school. D_19. It is important that Mapuche students can express their cultural identity freely within the school. D_20. Mapuche students have the same opportunities to express their cultural identity. P_15. There should be no differences in the treatment of Mapuche and non-Mapuche students in education. P_16. Indifferentiation in treatment must respect the diversity of students. P_17. The school promotes an environment where all cultures are equally respected. P_18. The Mapuche culture is equally respected in school education. P_19. It is important that Mapuche students are able to express their cultural identity at school. P_20. Mapuche students have the same opportunities to express their cultural identity. E_14. I feel treated the same as my classmates at school. E_15. It’s good that all students can share about their cultures. E_16. Teachers value the different cultures of all students.
Cultural Identity and Resistance to Homogenization D_22. The school must avoid the folklorization of Mapuche cultural ceremonies, guaranteeing their respect and depth. D_23. Respect for Mapuche values should be a central aspect in the educational approach of the school. D_24. Mapuche values should be integrated into the school curriculum to strengthen cultural identity. P_22. The school must avoid the folklorization of Mapuche cultural ceremonies. P_23. Respect for Mapuche values should be a central element in education. P_24. Mapuche values should be integrated into the school curriculum to strengthen cultural identity. E_17. I’m proud of my culture and I like to learn about it. E_18. I would like to learn more about Mapuche traditions at school. E_21. I want to learn more about the traditions of Mapuche families.
Intercultural Education and Deepening of Traditional Knowledge D_25. Teachers should be more committed to teaching Mapuche cultural content in the classroom. D_26. The teaching of Mapuzugun should be a daily school practice. D_27. The school should incorporate more traditional Mapuche knowledge into the school curriculum. D_28. Education must promote a balance between traditional academic knowledge and the knowledge of the Mapuche culture. D_29. It is important that teachers have a solid knowledge of the Mapuche territory and cultural traditions. D_30. The school promotes the learning of Mapuche history and traditions as part of the comprehensive education of students. P_25. Teachers should be more committed to teaching Mapuche cultural content. P_26. The teaching of Mapuzugun must be practical and contextualized. P_27. The school should incorporate more traditional knowledge into the school curriculum. P_28. Education should promote a balance between Western and Mapuche knowledge. P_29. The teacher should have a solid knowledge of the Mapuche territory and culture. P_30. The school promotes the learning of Mapuche history and traditions. E_19. I think it is important to preserve the Mapuche language and its culture in school. E_20. It is important to know what the Mapuche know about plants and animals. E_22. I like it when teachers teach us about Mapuche stories.
Participation and Cultural Ceremonies D_31. Mapuche cultural ceremonies should be an integral part of school activities. D_32. It is important for the school to hold ceremonies such as the We Txipantu.D_34. Participation in cultural ceremonies should involve the entire school community. D_35. School ceremonies reflect Mapuche cultural authenticity. D_36. School cultural activities should encourage active community participation. P_31. Cultural ceremonies should be an integral part of school activities. P_32. It is important for the school to hold ceremonies such as the We Txipantu.P_34. Participation in cultural ceremonies should involve the entire school community. P_35. School ceremonies reflect Mapuche cultural authenticity. P_36. School cultural activities encourage community participation. E_23. I like to participate in cultural ceremonies at school. E_24. I think it’s important that we all celebrate Mapuche cultural traditions together at school. E_25. Cultural ceremonies at school help me learn more about my cultural heritage.

References

  1. Aréchiga, A. (2004). Ética de la investigación educativa: reflexiones y propuestas. Universidad Nacional Autónoma de México.
  2. Berry, J. W. (1997). Immigration, acculturation, and adaptation. Applied Psychology: An International Review, 46(1), 5–34. https://doi.org/10.1111/j.1464-0597.1997.tb01087.x.
  3. Berry, J. W. (2017). Mutual intercultural relations. Cambridge University Press.
  4. Bertely, M., & Gasché, J. (2011). Educación intercultural en América Latina: balance y perspectivas. CLACSO.
  5. Brown, T. A. (2015). Confirmatory factor analysis for applied research (2nd ed.). The Guilford Press.
  6. Byrne, B. M. (2016). Structural equation modeling with AMOS: Basic concepts, applications, and programming (3rd ed.). Routledge. https://doi.org/10.4324/9781315757421.
  7. Chen, F. F. (2007). Sensitivity of goodness of fit indexes to lack of measurement invariance. Structural Equation Modeling, 14(3), 464–504. https://doi.org/10.1080/10705510701301834.
  8. Cheung, G. W., & Rensvold, R. B. (2002). Evaluating goodness-of-fit indexes for testing measurement invariance. Structural Equation Modeling, 9(2), 233–255. https://doi.org/10.1207/S15328007SEM0902_5.
  9. Dahlgren, L., Emmelin, M., & Winkvist, A. (2004). Qualitative methodology for international public health. Umeå University.
  10. Elias, N. (1994). Teoría del símbolo: Un ensayo sociológico sobre la estética. Fondo de Cultura Económica.
  11. Fornell, C., & Larcker, D. F. (1981). Evaluating structural equation models with unobservable variables and measurement error. Journal of Marketing Research, 18(1), 39–50. https://doi.org/10.1177/002224378101800104.
  12. Fornet-Betancourt, R. (2018). Transformación intercultural de la filosofía: Ensayos de hermenéutica intercultural desde América Latina. Anthropos.
  13. Gasché, J. (2013). Educación intercultural y pueblos indígenas: problemas, enfoques y propuestas. Fondo Editorial del Congreso del Perú.
  14. Hair, J. F., Black, W. C., Babin, B. J., & Anderson, R. E. (2019). Multivariate data analysis (8th ed.). Cengage Learning.
  15. Hu, L. T., & Bentler, P. M. (1999). Cutoff criteria for fit indexes in covariance structure analysis: Conventional criteria versus new alternatives. Structural Equation Modeling, 6(1), 1–55. https://doi.org/10.1080/10705519909540118.
  16. .
  17. Kline, R. B. (2016). Principles and practice of structural equation modeling (4th ed.). The Guilford Press.
  18. Lloret-Segura, S., Ferreres-Traver, A., Hernández-Baeza, A., & Tomás-Marco, I. (2014). El análisis factorial exploratorio de los ítems: una guía práctica, revisada y actualizada. Anales de Psicología, 30(3), 1151–1169. https://doi.org/10.6018/analesps.30.3.199361.
  19. Merton, R. K. (1968). Social theory and social structure. The Free Press.
  20. Muñiz, J., Elosua, P., & Hambleton, R. K. (2013). Directrices para la traducción y adaptación de los tests: segunda edición. Psicothema, 25(2), 151–157. https://doi.org/10.7334/psicothema2013.24.
  21. Muthén, L. K., & Muthén, B. O. (2017). Mplus user’s guide (8th ed.). Muthén & Muthén.
  22. Nunnally, J. C., & Bernstein, I. H. (1995). Psychometric theory (3rd ed.). McGraw-Hill.
  23. Olivé, L. (2009). Multiculturalismo y pluralismo epistemológico. Paidós.
  24. Pino Concha, J., & Merino Dickinson, M. (2010). Interculturalidad y educación: la experiencia de la educación mapuche. Revista Estudios Pedagógicos, 36(2), 289–307. https://doi.org/10.4067/S0718-07052010000200017.
  25. Quilaqueo, D., & Torres, H.,. (2022). Ambivalencia y tensiones epistemológicas en la práctica docente intercultural. Revista Latinoamericana de Educación Inclusiva, 16(1), 75–94. https://doi.org/10.4067/S0718-73782022000100075.
  26. Saavedra, P., & Quilaqueo, D. (2021). Educación mapuche y políticas interculturales en Chile: entre la resistencia y la cooptación. Revista Colombiana de Educación, 82, 119–140. https://doi.org/10.17227/rce.num82-11180.
  27. Sánchez, A. (1992). Ética en la investigación educativa. Fondo de Cultura Económica.
  28. Santos, B. de S. (2009). Una epistemología del Sur: la reinvención del conocimiento y la emancipación social. Siglo XXI.
  29. Schütz, A. (1976). El problema de la realidad social. Amorrortu.
  30. Simmel, G. (1971). Sociología: estudios sobre las formas de socialización. Revista de Occidente.
  31. Tabboni, S. (2007). Sociología de las emociones. Nueva Visión.
  32. Tubino, F. (2007). Interculturalidad, democracia y ciudadanía. Pontificia Universidad Católica del Perú.
  33. Varela, J., Abad, J. F., & Fernández, M. (2006). Modelos de ecuaciones estructurales: teoría y práctica. Editorial La Muralla.
  34. Walsh, C. (2005). Interculturalidad, conocimiento y decolonialidad. Abya-Yala.
  35. Walsh, C. (2010). Interculturalidad crítica y pedagogía de-colonial: ensayos desde Abya-Yala. Abya-Yala.Azikiwe & Bello, 2020a).
Figure 1. Second-order factor model, Teachers and Parents scale. Source: Authors’ elaboration.
Figure 1. Second-order factor model, Teachers and Parents scale. Source: Authors’ elaboration.
Preprints 185418 g001
Figure 2. Second-order factor model, Student scale. Source: Authors’ elaboration.
Figure 2. Second-order factor model, Student scale. Source: Authors’ elaboration.
Preprints 185418 g002
Table 1. Gender and Ethnic Ancestry Distribution by Role.
Table 1. Gender and Ethnic Ancestry Distribution by Role.
Role Category Group Frequency Percentage Cumulative Percentage
Teacher Gender Men 75 28.2 28.2
Women 187 70.3 98.5
No response 4 1.5 100.0
Total 266 100.0
Ancestry Mapuche 79 29.7 29.7
Non-Mapuche 187 70.3 100.0
Total 266 100.0
Student Gender Men 137 47.7 47.7
Women 147 51.2 99.0
No response 3 1.0 100.0
Total 287 100.0
Ancestry Mapuche 225 78.4 78.4
Non-Mapuche 62 21.6 100.0
Total 287 100.0
Parents/Caregivers Gender Men 55 29.6 29.6
Women 131 70.4 100.0
No response 0 0.0
Total 186 100.0
Ancestry Mapuche 159 85.5 85.5
Non-Mapuche 27 14.5 100.0
Total 186 100.0
Source: Authors’ elaboration.
Table 2. Structure and factorial loads scale Teachers and Parents.
Table 2. Structure and factorial loads scale Teachers and Parents.
Factor Cantidad de Indicadores λ Mínimo λ Máximo
F1 4 0,534 0,823
F2 4 0,293 0,846
F3 5 0,520 0,983
F4 3 0,336 0,908
F5 6 0,595 0,856
F6 5 0,529 0,907
Source: Authors’ elaboration.
Table 3. Structure and Factor Loads Scale Students.
Table 3. Structure and Factor Loads Scale Students.
Factor Cantidad de Indicadores λ Mínimo λ Máximo
F1 4 0,627 0,835
F2 3 0,690 0,870
F3 3 0,646 0,968
F4 3 0,803 0,940
F5 3 0,854 0,894
F6 3 0,789 0,898
Source: Authors’ elaboration.
Table 4. Reliability and convergent validity of the Teachers and Parents scale.
Table 4. Reliability and convergent validity of the Teachers and Parents scale.
AVE ω F1 F2 F3 F4 F5 F6
F1 0,492 0,789 0,702
F2 0,551 0,815 0,974 0,743
F3 0,501 0,826 0,773 0,771 0,708
F4 0,508 0,732 0,888 0,816 0,633 0,712
F5 0,633 0,911 0,871 0,812 0,584 0,923 0,796
F6 0,623 0,889 0,838 0,790 0,720 0,841 0,894 0,789
Source: Authors’ elaboration. Note: The diagonal shows the square root of the AVE, and below the diagonal are the correlations between the factors.
Table 5. Reliability and Convergent Validity Scale Students.
Table 5. Reliability and Convergent Validity Scale Students.
AVE ω F1 F2 F3 F4 F5 F6
F1 0,561 0,864 0,749
F2 0,617 0,760 0,899 0,785
F3 0,600 0,813 0,805 0,765 0,775
F4 0,787 0,917 0,947 0,950 0,765 0,887
F5 0,765 0,907 0,936 0,930 0,753 0,949 0,875
F6 0,732 0,891 0,948 0,899 0,747 0,943 0,922 0,856
Source: Authors’ elaboration Note: The diagonal shows the square root of the AVE and below the diagonal are the correlations between the factors.
Disclaimer/Publisher’s Note: The statements, opinions and data contained in all publications are solely those of the individual author(s) and contributor(s) and not of MDPI and/or the editor(s). MDPI and/or the editor(s) disclaim responsibility for any injury to people or property resulting from any ideas, methods, instructions or products referred to in the content.
Copyright: This open access article is published under a Creative Commons CC BY 4.0 license, which permit the free download, distribution, and reuse, provided that the author and preprint are cited in any reuse.
Prerpints.org logo

Preprints.org is a free preprint server supported by MDPI in Basel, Switzerland.

Subscribe

Disclaimer

Terms of Use

Privacy Policy

Privacy Settings

© 2026 MDPI (Basel, Switzerland) unless otherwise stated