Submitted:
13 November 2025
Posted:
17 November 2025
You are already at the latest version
Abstract
Keywords:
1. Introduction
2. Materials and Methods
2.1. Overview of the Workflow
2.2. Dataset Description
2.3. RCAN Model Architecture
2.4. Custom Loss Functions
- LF1: Combined L1, L2, and slope-based errors.
- LF2: Weighted L1 loss emphasizing elevation deviations.
- LF3: Laplacian pyramid loss preserving multiscale edge details.
- LF4: Elevation gradient loss combining L1 error with slope consistency.
- α, β, γ represent weighting coefficients balancing the contribution of each component;
- L1 loss penalizes absolute elevation differences between predicted and reference DTMs;
- L2 loss penalizes squared differences, emphasizing large errors;
- Slope loss enforces gradient consistency in both x and y directions;
- Elevation-aware loss applies spatial weighting based on absolute elevation values;
- Laplacian pyramid loss preserves edge sharpness and fine-scale details.
2.5. Training Setup and Implementation
2.6. Evaluation Metrics
2.7. Use of Generative AI
3. Results
3.1. Quantitative Evaluation of Loss Functions
3.2. Loss Weight Tuning Analysis
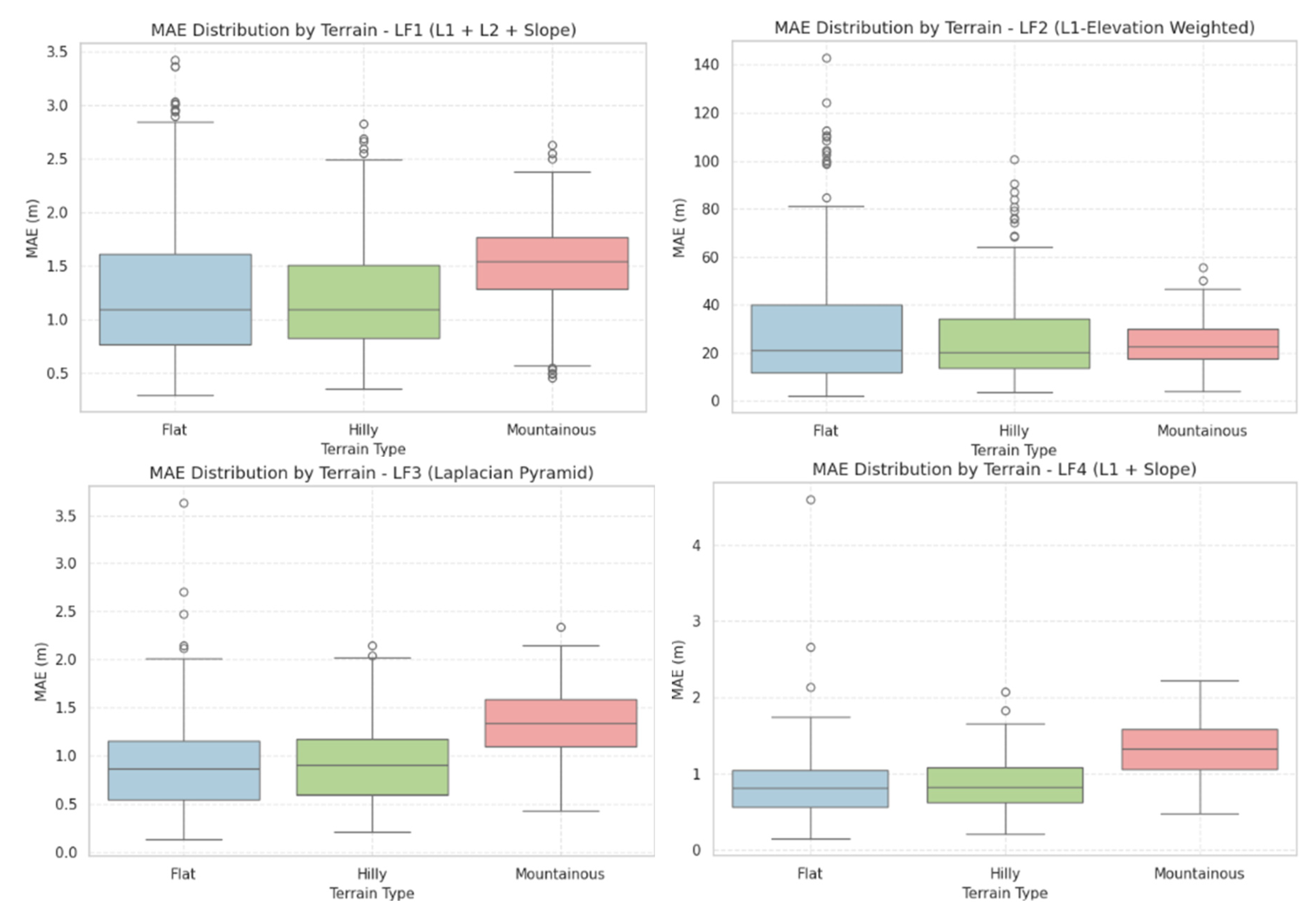
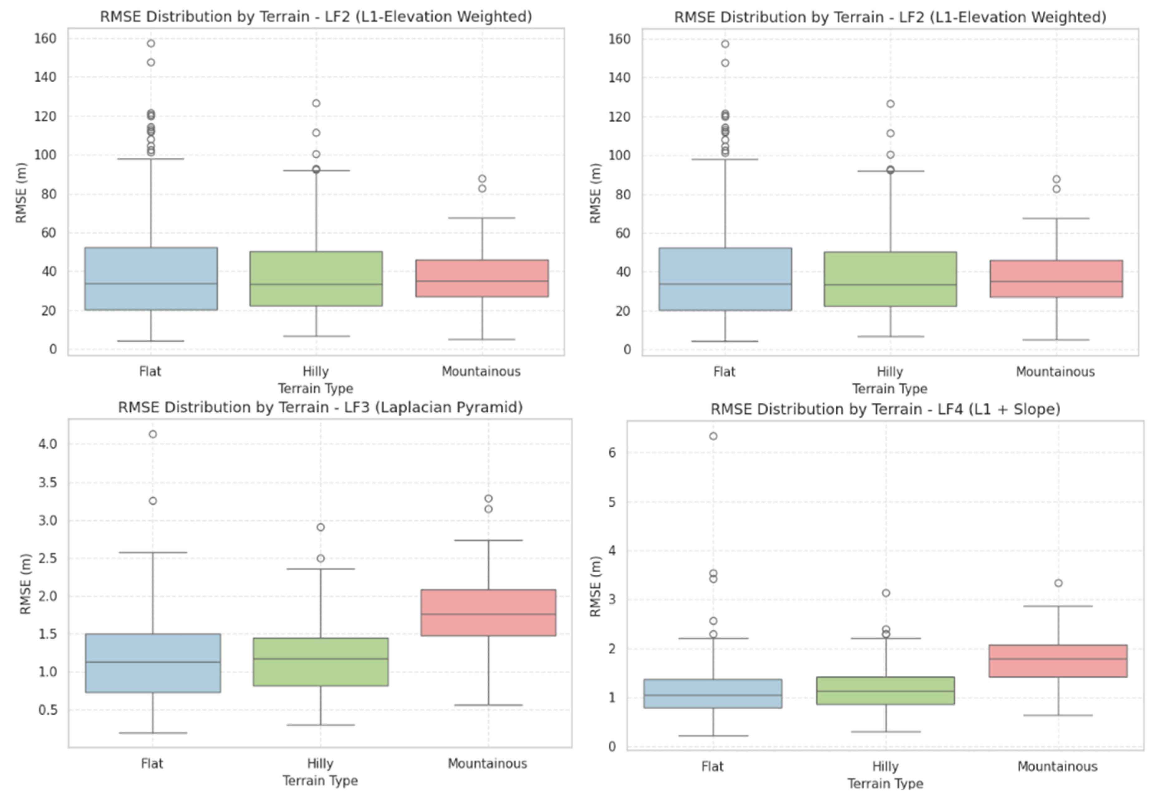
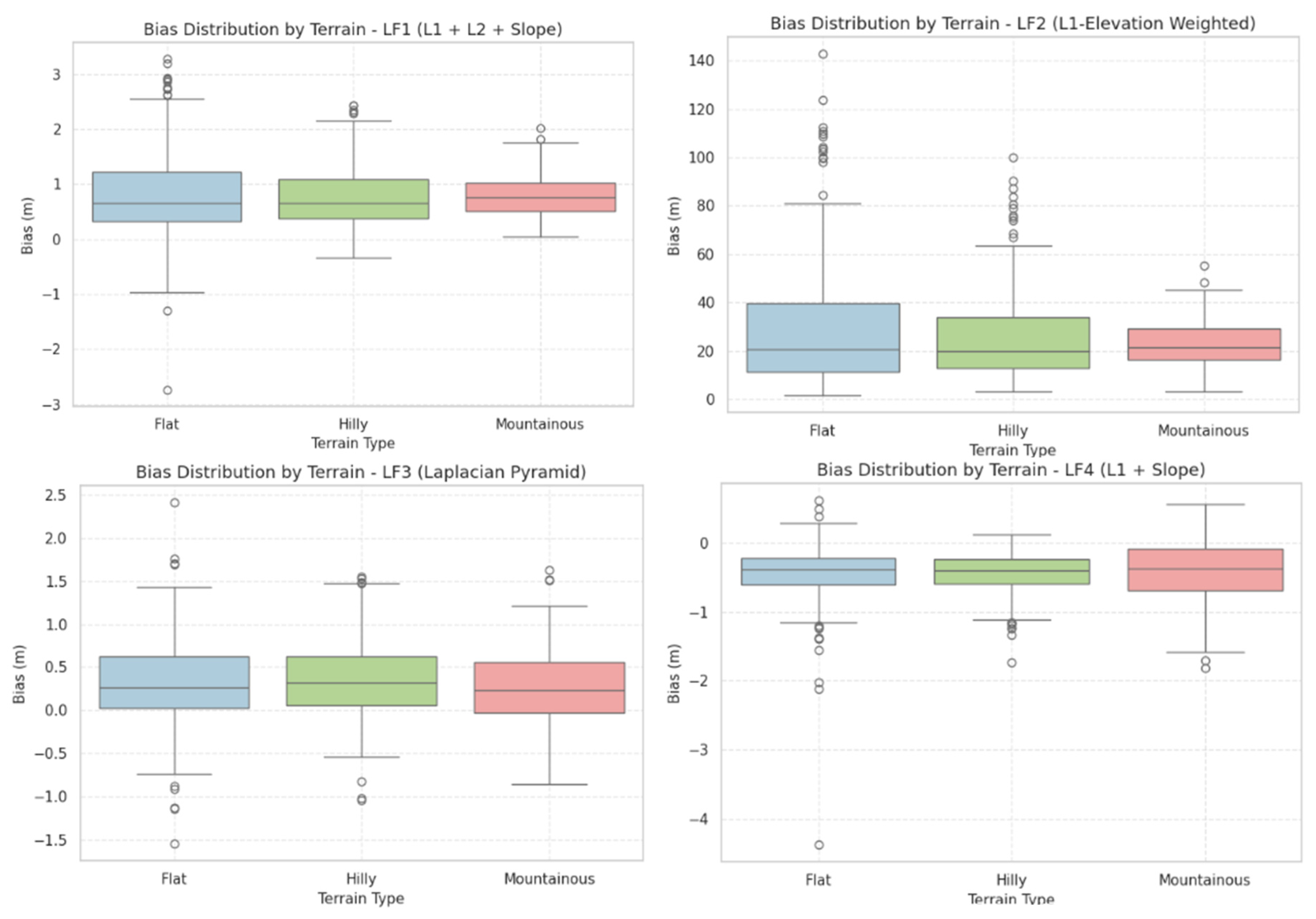
3.3. Terrain-Specific Performance
3.3.1. Loss Functions
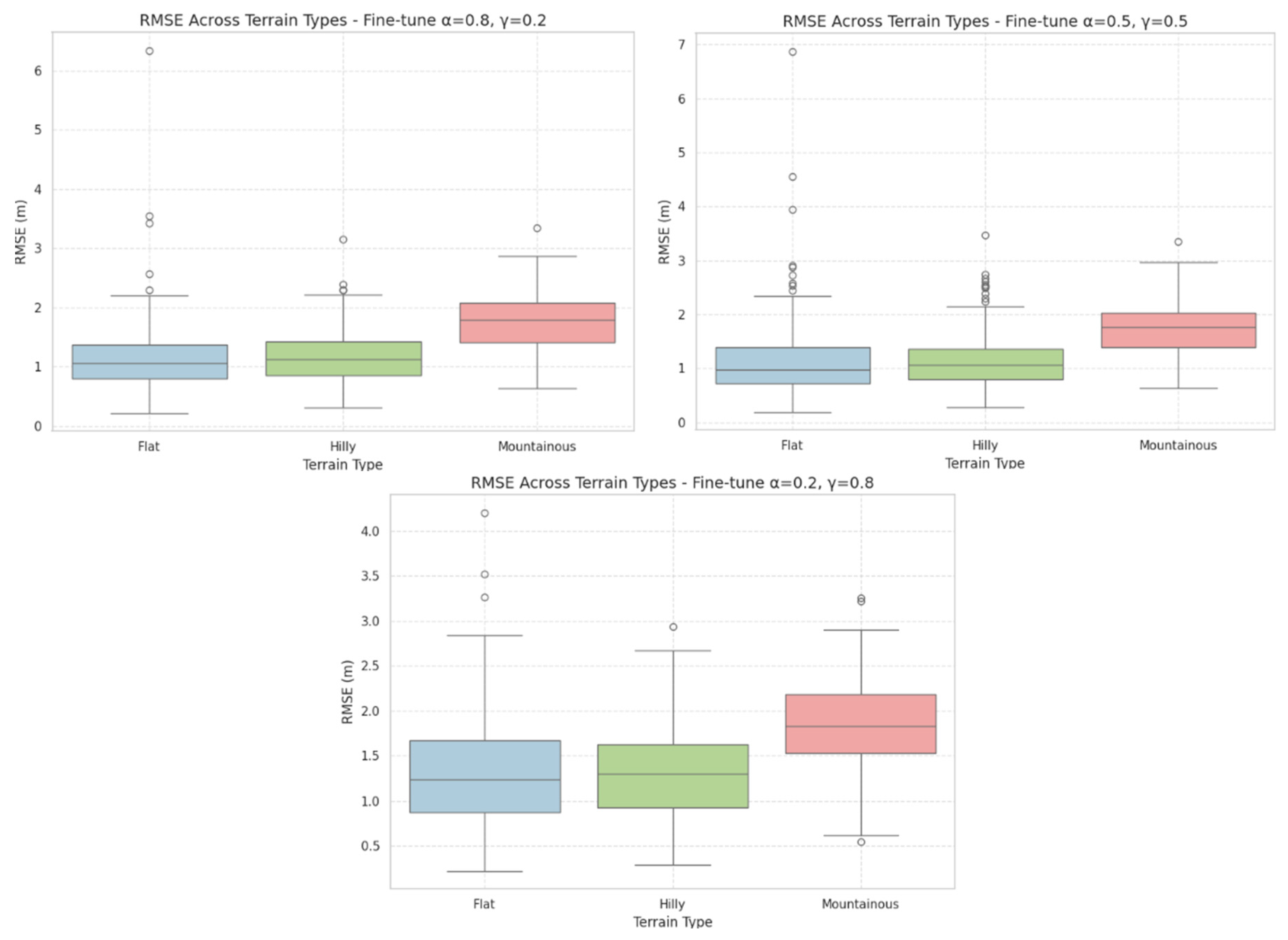
3.3.2. Fine Tuning
3.4. Training Behaviour and Convergence
3.4.1. Training Behaviour of Different Loss Function
3.4.2. Training Behaviour Under Different Fine-Tuning Weights
4. Discussion
4.1. Quantitative Evaluation of Loss Functions
4.2. Loss Weight Tuning Analysis
4.3. Terrain-Specific Performance
4.3.1. Loss Functions
4.3.2. Fine Tuning
4.4. Training Behaviour and Convergence
4.4.1. Training Behaviour of Different Loss Function
4.4.2. Training Behaviour Under Different Fine-Tuning Weights
5. Conclusions
6. Limitations and Practical Implications
Author Contributions
Conflicts of Interest
References
- Ackroyd, C., Skiles, S.M., Rittger, K., Meyer, J., 2021. Trends in snow cover duration across river basins in high mountain Asia from daily gap-filled MODIS fractional snow-covered area. Front. Earth Sci. 9, 713145. [CrossRef]
- Atkinson, P.M., 2013. Downscaling in remote sensing. Int. J. Appl. Earth Obs. Geoinf. 22, 106–114. [CrossRef]
- Atwood, A., West, A.J., 2022. Evaluation of high-resolution DEMs from satellite imagery for geomorphic applications: A case study using the SETSM algorithm. Earth Surf. Proc. Land. 47 (3), 706–722. [CrossRef]
- Bertero M, Boccacci P, 1998. Introduction to inverse problems in imaging. IOP Publishing Ltd, Bristol.
- Bertin, S., Jaud, M., Delacourt, C., 2022. Assessing DEM quality and minimizing registration error in repeated geomorphic surveys with multi-temporal ground truths of invariant features: application to a long-term dataset of beach topography and nearshore bathymetry. Earth Surf. Process. Landforms 47 (12), 2950–2971. [CrossRef]
- Chang, H., Yeung, D., Xiong, Y., 2004. Super-resolution through neighbor embedding. Graphical Models and Image Processing, 275–282.
- Deng, Y., Wilson, J.P., Bauer, B.O., 2007. DEM resolution dependencies of terrain attributes across a landscape. Int. J. Geogr. Inf. Sci. 21 (2), 187–213. [CrossRef]
- Dong, C., Loy, C.C., He, K., Tang, X., 2015. Image super-resolution using deep convolutional networks. IEEE Trans. Pattern Anal. Mach. Intell. 38 (2), 295–307. [CrossRef]
- Feng, R., Grana, D., Mukerji, T., Mosegaard, K., 2022. Application of bayesian generative adversarial networks to geological facies modeling. Math. Geosci., 1–25. [CrossRef]
- Goovaerts, P., 1997. Geostatistics for natural resources evaluation. Oxford University Press, New York. [CrossRef]
- Guth, P.L., Geoffroy, T.M., 2021. LiDAR point cloud and ICESat-2 evaluation of 1 second global digital elevation models: Copernicus wins. Trans. GIS 25 (5), 2245–2261. [CrossRef]
- James, M.R., Quinton, J.N., 2014. Ultra-rapid topographic surveying for complex environments: the hand-held mobile laser scanner (HMLS). Earth Surf. Process. Landforms 39 (1), 138–142. [CrossRef]
- Jiang, Y., Xiong, L., Huang, X., Li, S., Shen, W., 2023. Super-resolution for terrain modeling using deep learning in High Mountain Asia. Int. J. Appl. Earth Obs. Geoinf. 118, 103296. [CrossRef]
- Ke, L., et al., 2022. Constraining the contribution of glacier mass balance to the Tibetan lake growth in the early 21st century. Remote Sens. Environ. 268, 112779. [CrossRef]
- Kim, K.I., Kwon, Y., 2010. Single-image super-resolution using sparse regression and natural image prior. IEEE Trans. Pattern Anal. Mach. Intell. 32 (6), 1127–1133. [CrossRef]
- Krdžalić, K., Mandlburger, G., Pfeifer, N., 2024. Downscaling DEMs with deep learning: recent advances and future prospects. ISPRS J. Photogramm. Remote Sens. 203, 248–266. [CrossRef]
- Kyriakidis, P.C., Shortridge, A.M., Goodchild, M.F., 1999. Geostatistics for conflation and accuracy assessment of digital elevation models. Int J Geogr Inf Sci 13(7):677–707. [CrossRef]
- Ledig, C., Theis, L., Huszár, F., Caballero, J., Cunningham, A., Acosta, A., ... & Shi, W. (2017). Photo-realistic single image super-resolution using a generative adversarial network. In Proceedings of the IEEE conference on computer vision and pattern recognition (pp. 4681-4690).
- Lehner, S., Pleskachevsky, A., Velotto, D., & Jacobsen, S. (2013). Meteo-marine parameters and their variability: Observed by high-resolution satellite radar images. Oceanography, 26(2), 80-91. [CrossRef]
- Lim, B., Son, S., Kim, H., Nah, S., & Mu Lee, K. (2017). Enhanced deep residual networks for single image super-resolution. In Proceedings of the IEEE conference on computer vision and pattern recognition workshops (pp. 136-144). [CrossRef]
- Lin, X., Zhang, Q., Wang, H., Yao, C., Chen, C., Cheng, L., & Li, Z. (2022). A DEM super-resolution reconstruction network combining internal and external learning. Remote Sensing, 14(9), 2181. [CrossRef]
- Liu, K., Ding, H., Tang, G., Song, C., Liu, Y., Jiang, L., ... & Ma, R. (2018). Large-scale mapping of gully-affected areas: An approach integrating Google Earth images and terrain skeleton information. Geomorphology, 314, 13-26. [CrossRef]
- Mariethoz, G., Renard, P., Straubhaar, J., 2010. The direct sampling method to perform multiple-point geostatistical simulations. Water Resour Res 46(11): W11536. [CrossRef]
- Mukherjee, S., Joshi, P. K., Mukherjee, S., Ghosh, A., Garg, R. D., & Mukhopadhyay, A. (2013). Evaluation of vertical accuracy of open source Digital Elevation Model (DEM). International Journal of Applied Earth Observation and Geoinformation, 21, 205-217. [CrossRef]
- Musa, Z.N., Popescu, I., Mynett, A., 2015. A review of applications of satellite SAR, optical, altimetry and DEM data for surface water modelling, mapping and parameter estimation. Hydrol. Earth Syst. Sci. 19 (9), 3755–3769. [CrossRef]
- Passalacqua, P., Do Trung, T., Foufoula-Georgiou, E., Sapiro, G., & Dietrich, W. E. (2010). A geometric framework for channel network extraction from lidar: Nonlinear diffusion and geodesic paths. Journal of Geophysical Research: Earth Surface, 115(F1). [CrossRef]
- Qiu, Z., Yue, L., & Liu, X. (2019). Void filling of digital elevation models with a terrain texture learning model based on generative adversarial networks. Remote Sensing, 11(23), 2829. [CrossRef]
- Rasera, L. G., Gravey, M., Lane, S. N., & Mariethoz, G. (2020). Downscaling images with trends using multiple-point statistics simulation: An application to digital elevation models. Mathematical Geosciences, 52(2), 145-187. [CrossRef]
- Reichstein, M., Camps-Valls, G., Stevens, B., Jung, M., Denzler, J., Carvalhais, N., & Prabhat, F. (2019). Deep learning and process understanding for data-driven Earth system science. Nature, 566(7743), 195-204. [CrossRef]
- Remy, N., Boucher, A., Wu, J., 2009. Applied Geostatistics with SGeMS: A User’s Guide. Cambridge University Press, Cambridge.
- Shary, P.A., Sharaya, L.S., Mitusov, A.V., 2005. The problem of scale-specific and scale-free approaches in geomorphometry. Geogr. Fis. Din. Quat. 28 (1), 81–101.
- Straubhaar, J., Renard, P., Mariethoz, G., 2016. Conditioning multiple-point statistics simulations to block data. Spat Stat 16:53–71. [CrossRef]
- Strebelle, S., 2002. Conditional simulation of complex geological structures using multiple-point statistics. Math Geol 34(1):1–21. [CrossRef]
- Sun, J., Xu, Z., Shum, H.Y., 2011. Gradient profile prior and its applications in image super-resolution and enhancement. IEEE Trans. Image Process. 20 (6), 1529–1542. [CrossRef]
- Tarolli, P., & Mudd, S. (2020). Remote Sensing of Geomorphology. (Developments in Earth Surface Processes; Vol. 23). Elsevier. https://www-sciencedirect-com.ezproxy.is.ed.ac.uk/bookseries/developments-in-earth-surface-processes/vol/23/suppl/C.
- Tsai, R.Y., Huang, T.S., 1984. Multi-frame image restoration and registration. Adv. Comput. Vis. Image Process. 1 (2), 317–339.
- Winiwarter, L., Mandlburger, G., Schmohl, S., & Pfeifer, N. (2019). Classification of ALS point clouds using end-to-end deep learning. PFG–journal of photogrammetry, remote sensing and geoinformation science, 87(3), 75-90. [CrossRef]
- Xu, Z., Wang, X., Chen, Z., Xiong, D., Ding, M., & Hou, W. (2015). Nonlocal similarity based DEM super resolution. ISPRS Journal of Photogrammetry and Remote Sensing, 110, 48-54. [CrossRef]
- Yan, L., Fan, B., Xiang, S., & Pan, C. (2021). CMT: Cross mean teacher unsupervised domain adaptation for VHR image semantic segmentation. IEEE Geoscience and Remote Sensing Letters, 19, 1-5. [CrossRef]
- Yang, J., Wright, J., Huang, T. S., & Ma, Y. (2010). Image super-resolution via sparse representation. IEEE transactions on image processing, 19(11), 2861-2873. [CrossRef]
- Yang, W., Zhang, X., Tian, Y., Wang, W., Xue, J. H., & Liao, Q. (2019). Deep learning for single image super-resolution: A brief review. IEEE Transactions on Multimedia, 21(12), 3106-3121. [CrossRef]
- Zhang, T., Switzer, P., Journel, A., 2006. Filter-based classification of training image patterns for spatial simulation. Math Geol 38(1):63–80. [CrossRef]
- Zhang, Y., Tian, Y., Kong, Y., Zhong, B., Fu, Y., 2018. Image super-resolution using very deep residual channel attention networks. In: Proceedings of the European Conference on Computer Vision (ECCV), pp. 286–301. [CrossRef]
- Zhang, Y., Yu, W., 2022. Comparison of DEM super-resolution methods based on interpolation and neural networks. Sensors 22 (3), 745. [CrossRef]
- Zhang, Y., Yu, W., Zhu, D., 2022. Terrain feature-aware deep learning network for digital elevation model superresolution. ISPRS J. Photogramm. Remote Sens. 189, 143–162. [CrossRef]
- Zhou, A., Chen, Y., Wilson, J. P., Su, H., Xiong, Z., & Cheng, Q. (2021). An enhanced double-filter deep residual neural network for generating super resolution DEMs. Remote sensing, 13(16), 3089. [CrossRef]
- Sun, J., Xu, F., Cervone, G., Gervais, M., Wauthier, C., & Salvador, M. (2021). Automatic atmospheric correction for shortwave hyperspectral remote sensing data using a time-dependent deep neural network. ISPRS Journal of Photogrammetry and Remote Sensing, 174, 117-131. [CrossRef]
- Zhou, S., Feng, Y., Li, S., Zheng, D., Fang, F., Liu, Y., & Wan, B. (2023). DSM-assisted unsupervised domain adaptive network for semantic segmentation of remote sensing imagery. IEEE Transactions on Geoscience and Remote Sensing, 61, 1-16. [CrossRef]
- Zhou, T., Geng, Y., Chen, J., Pan, J., Haase, D., & Lausch, A. (2020). High-resolution digital mapping of soil organic carbon and soil total nitrogen using DEM derivatives, Sentinel-1 and Sentinel-2 data based on machine learning algorithms. Science of The Total Environment, 729, 138244. [CrossRef]

















| loss function | LF1 | LF2 | LF3 | LF4 | ||||
|---|---|---|---|---|---|---|---|---|
| Validation | Testing | Validation | Testing | Validation | Testing | Validation | Testing | |
| Mean RMSE (M) | 0.28 | 1.90 ± 0.54 | 2.82 | 36.84 ± 13.99 | 0.27 | 1.66 ± 0.49 | 0.28 | 1.64 ± 0.49 |
| MAE (M) | _ | 1.45 ± 0.43 | _ | 24.14 ± 9.44 | _ | 1.23 ± 0.39 | _ | 1.21 ± 0.38 |
| Mean PSNR(dB) | 59.43 | 48.01 ± 3.02 | 40.34 | 22.59 ± 3.08 | 59.74 | 49.24 ± 3.14 | 59.47 | 49.30 ± 3.49 |
| Mean SSIM (M) | 0.94 | 0.99 ± 0.01 | 0.90 | 0.96 ± 0.01 | 0.94 | 0.99 ± 0.01 | 0.94 | 0.99 ± 0.01 |
| loss function | (α=0.8, γ=0.2) | (α=0.5, γ=0.5) | (α=0.2, γ=0.8) | |||
|---|---|---|---|---|---|---|
| Validation | Testing | Validation | Testing | Validation | Testing | |
| Mean RMSE (M) | 0.28 | 1.64 ± 0.49 | 0.28 | 1.62 ± 0.50 | 0.28 | 1.73 ± 0.52 |
| MAE (M) | - | 1.21 ± 0.38 | - | 1.18 ± 0.39 | - | 1.32 ± 0.42 |
| Mean PSNR (dB) | 59.47 | 49.30 ± 3.49 | 59.52 | 49.47 ± 3.50 | 59.44 | 48.88 ± 3.10 |
| Mean SSIM (M) | 0.94 | 0.99 ± 0.01 | 0.94 | 0.99 ± 0.01 | 0.94 | 0.99 ± 0.01 |
| Model | Terrain | Mean MAE (m) | Mean RMSE (m) | Mean Bias (m) |
|---|---|---|---|---|
| LF1 | Flat | 1.27 | 1.62 | +0.82 |
| Hilly | 1.21 | 1.57 | +0.78 | |
| Mountainous | 1.52 | 1.99 | +0.77 | |
| LF2 | Flat | 30.14 | 40.85 | +29.76 |
| Hilly | 26.36 | 38.50 | +25.90 | |
| Mountainous | 23.57 | 35.94 | +22.68 | |
| LF3 | Flat | 0.90 | 1.16 | +0.32 |
| Hilly | 0.91 | 1.19 | +0.34 | |
| Mountainous | 1.33 | 1.77 | +0.26 | |
| LF4 | Flat | 0.85 | 1.15 | –0.47 |
| Hilly | 0.86 | 1.17 | –0.43 | |
| Mountainous | 1.32 | 1.76 | –0.41 |
| Model | Terrain | Mean MAE (m) | Mean RMSE (m) | Mean Bias (m) |
|---|---|---|---|---|
| α=0.8, γ=0.2 | Flat | 0.85 | 1.15 | –0.47 |
| Hilly | 0.86 | 1.17 | –0.43 | |
| Mountainous | 1.32 | 1.76 | –0.41 | |
| α=0.5, γ=0.5 | Flat | 0.83 | 1.14 | –0.04 |
| Hilly | 0.83 | 1.15 | –0.03 | |
| Mountainous | 1.29 | 1.73 | –0.04 | |
| α=0.2, γ=0.8 | Flat | 1.02 | 1.29 | +0.83 |
| Hilly | 1.03 | 1.31 | +0.80 | |
| Mountainous | 1.41 | 1.84 | +0.72 |
Disclaimer/Publisher’s Note: The statements, opinions and data contained in all publications are solely those of the individual author(s) and contributor(s) and not of MDPI and/or the editor(s). MDPI and/or the editor(s) disclaim responsibility for any injury to people or property resulting from any ideas, methods, instructions or products referred to in the content. |
© 2025 by the authors. Licensee MDPI, Basel, Switzerland. This article is an open access article distributed under the terms and conditions of the Creative Commons Attribution (CC BY) license (https://creativecommons.org/licenses/by/4.0/).