Submitted:
31 October 2025
Posted:
31 October 2025
You are already at the latest version
Abstract
Keywords:
1. Introduction
2. Discretized Temporal Relations
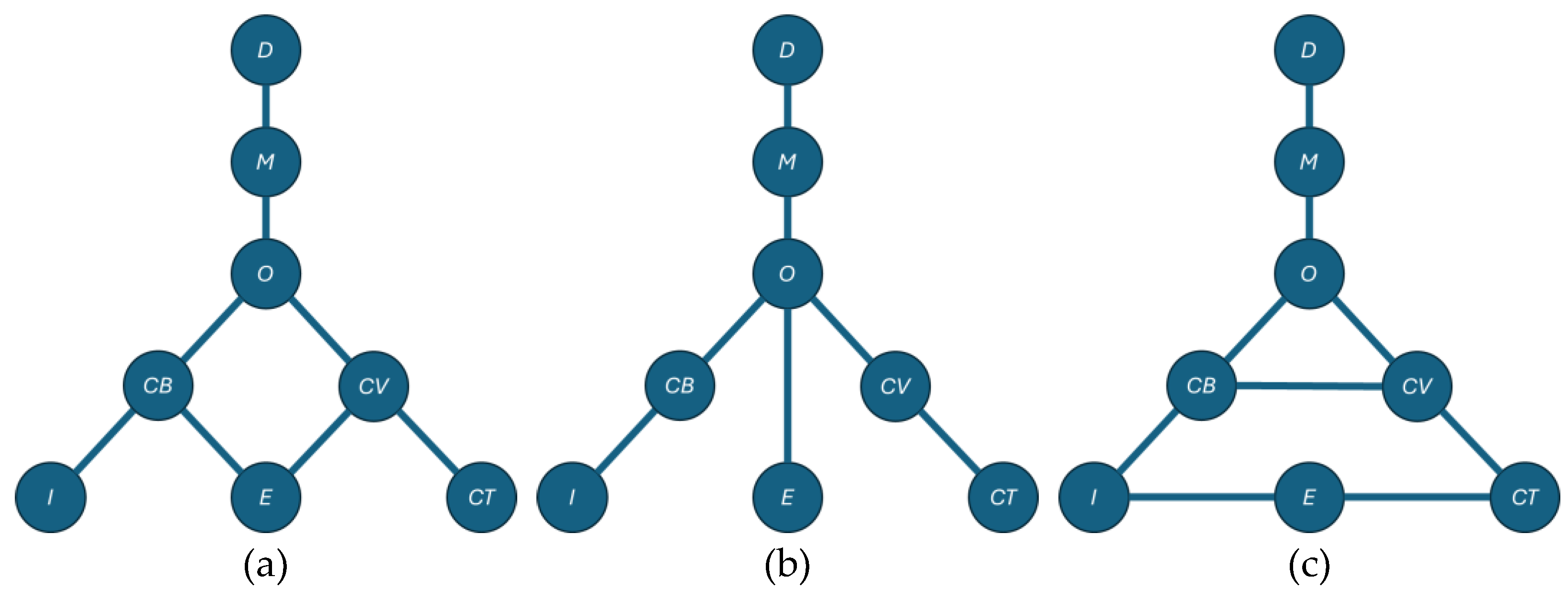
3. Conceptual Neighborhood Graphs
- anisotropic scaling, namely one of the objects has a boundary point moved, while the other three boundary points in the scene remain fixed (called the A neighborhood),
- translation, namely one of the objects moves without changing its duration while the other is unaltered (called the B neighborhood), and
- isotropic scaling, namely one of the objects grows (or shrinks) the same amount at each boundary point while the other remains unaltered (called the C neighborhood).

4. Simulation Protocol
5. Results
6. Comparison of Discretized Temporal Conceptual Neighborhood Graphs to Continuous Temporal Conceptual Neighborhood Graphs
7. Discussion, Conclusions, and Future Work
Author Contributions
Funding
Conflicts of Interest
References
- Claramunt, C.; Dube, M.P. A brief review of the evolution of GIScience since the NCGIA Research Agenda initiatives. Journal of Spatial Information Science 2023, 26, 137–150. [Google Scholar] [CrossRef]
- Clarke, B. A calculus of individuals based on “connection”. Notre Dame Journal of Formal Logic, 1981, 22(3), 204-218.
- Vince, A.; Little, C.H. Discrete Jordan curve theorems. Journal of Combinatorial Theory, Series B, 1989, 47(3), 251-261.
- Egenhofer, M.J.; Herring, J.R. Categorizing binary topological relations between regions, lines, and points in geographic databases. NCGIA Technical Report, 1990.
- Randell, D.A.; Cui, Z.; Cohn, A.G. A spatial logic based on regions and connection. In Principles of Knowledge Representation and Reasoning; Nebel, B.; Rich, C.; and Swartout, W.R., Eds.; Morgan Kaufmann Publishers, San Francisco, CA, USA, 1992, pp. 165-176.
- Papadias, D., Sellis, T., Theodoridis, Y., and Egenhofer, M.J. Topological relations in the world of minimum bounding rectangles: a study with R-trees. In Proceedings of the 1995 ACM SIGMOD International Conference on Management of Data; Carey, M. and Schneider, D., Eds.; ACM Press, Washington, D.C., USA, 1995, pp. 92-103.
- Goyal, R. Similarity assessment for cardinal directions between extended spatial objects. Doctoral Dissertation, . University of Maine, Orono, ME, United States, 2000. [Google Scholar]
- Dube, M.P. Topological augmentation: a step forward for qualitative partition reasoning. Journal of Spatial Information Science, 2017, 14(1), 1-29.
- Allen, J.F. Maintaining knowledge about temporal intervals. Communications of the ACM 1983, 26(11), 832–843. [Google Scholar] [CrossRef]
- Egenhofer, M.J.; Sharma, J. Topological relations between in regions in and . In International Symposium on Spatial Databases; Abel, D.J., Ooi, B.C., Eds. Springer-Verlag: Berlin, Germany, 1993; pp. 316-336.
- Balbiani, P.; Osmani, A. A model for reasoning about topological relations between cyclic intervals. In Principles of Knowledge Representation and Reasoning; Cohn, A.G., Giunchiglia, F., and Selman, B., Eds.; Morgan Kaufmann Publishers, San Francisco, CA, USA; 2000; pp. 378-385.
- Dube, M.P.; Egenhofer, M.J.; Barrett, J.V.; Simpson, N.J. Beyond the digital Jordan curve: unconstrained simple pixel-based raster relations. Journal of Computer Languages 2019, 54, 100906. [Google Scholar] [CrossRef]
- Dube, M.P.; Egenhofer, M.J. Binary topological relations on the digital sphere. International Journal of Approximate Reasoning 2020, 116, 62–84. [Google Scholar] [CrossRef]
- Dube, M.P. Digital relations in : discretized time and rasterized lines. International Journal of Geo-information 2025, 14(9), 327.
- Robertson, C.; Chaudhuri, C.; Hojati, M.; Roberts, S. An integrated environmental analytics system (IDEAS) based on a DGGS. ISPRS Journal of Photogrammetry and Remote Sensing 2020, 162, 214–228. [Google Scholar] [CrossRef]
- Environmental Systems Research Institute. ESRI Shapefile Technical Description. ESRI Technical Report, 1998.
- Winter, S. Topological relations between discrete regions. In International Symposium on Spatial Databases; Egenhofer, M.J. and Herring, J.R., Eds. Springer-Verlag, Berlin, Germany; 1995, pp. 310-327.
- Yuan, M. Use of a three-domain representation to enhance GIS support for complex spatiotemporal queries. Transactions in GIS 1999, 3(2), 137–159. [Google Scholar] [CrossRef]
- Freksa, C. Temporal reasoning based on semi-intervals. Artificial Intelligence, 1992, 54(1-2), 199-227.
- Egenhofer, M.J. Deriving the composition of binary topological relations. Journal of Visual Languages and Computing 1994, 5(2), 133–149. [Google Scholar] [CrossRef]
- Duntsch, I.; Orlowska, E. Discrete dualities for some algebras with relations. Journal of Logical and Algebraic Methods in Programming 2014, 83(2), 169–179. [Google Scholar] [CrossRef]
- Hornsby, K.S.; Li, N. Conceptual framework for modeling dynamic paths from natural language expressions. Transactions in GIS 2009, 13, 27–45. [Google Scholar] [CrossRef]
- Schneider, M. Moving objects in databases: state-of-the-art and open problems. In Research Trends in Geographic Information Science; Navratil, G., Ed.; Springer, Berlin, Germany, 2009; pp. 169-187.
- Hall, B.P.; Dube, M.P. Conceptual neighborhood graphs of topological relations in . International Journal of Geo-information 2025, 14(4), 150.
- Xie, Y.; Wang, Z.; Mai, G.; Li, Y.; Jia, X.; Gao, S.; Wang, S. Geo-foundation models: reality, gaps, and opportunities. In Proceedings of the 31st ACM SIGSPATIAL International Conference on Advances in Geographic Information Systems; Damiani, M.L., Renz, M., Eldawy, A., Kroger, P., Nascimento, M.A., Eds. ACM Press, Washington, United States, 2023; pp. 1-4.
- Dube, M.P.; Hall, B.P. Conceptual neighborhood graphs: event detectors, data relevancy, and language translation. Geography According to ChatGPT 2025 (in press).
- Egenhofer, M.J.; Mark, D.M. Naïve geography. In International Conference on Spatial Information Theory; Frank, A.U., Kuhn, W., Eds.; Springer: Berlin, Germany, 1995; pp. 1-15.
- Dube, M.; Egenhofer, M. An ordering of convex topological relations. In Geographic Information Science: 7th International Conference; Xiao, N., Kwan, M., Goodchild, M., Shekhar, S. Springer: Berlin, Germany, 2012, 72-86.
- Klippel, A.; Li, R.; Yang, J.; Hardisty, F; Xu, S. In Cognitive and Linguistic Aspects of Geographic Space; Raubal, M., Mark, D.M., Frank, A.U., Eds.; Springer: Berlin, Germany, 2013; pp. 195-215.
- Pred, A. The choreography of existence: comments on Hagerstrand’s time-geography and its usefulness. Economic Geography 1978, 53, 207–221. [Google Scholar] [CrossRef]
- Goodchild, M.F. Geographical information science. International Journal of Geographical Information Systems 1992, 6(1), 31–45. [Google Scholar] [CrossRef]
- Burrough, P.A.; Frank, A.U. Concepts and paradigms in spatial information: are current geographical information systems truly generic? International Journal of Geographical Information Systems 1995, 9(2), 101–116. [Google Scholar] [CrossRef]
- Mark, D.M. Geographic information science: defining the field. In Foundations of Geographic Information Science; Duckham, M., Goodchild, M.F., Worboys, M.F., Eds.; Taylor and Francis: London, United Kingdom, 2003; pp. 1–17. [Google Scholar]
- Mark, D.M.; Egenhofer, M.J.; Bian, L.; Hornsby, K.; Rogerson, P.; Vena, J. Spatio-temporal GIS analysis for environmental health using geospatial lifelines. In 2nd International Workshop on Geography and Medicine; Flahault, A.; Toubiana, L.; Valleron, A.; Eds.; Paris, France, 1999, p. 52.
- Kopp, S.; Becker, P.; Doshi, A.; Wright, D.J.; Zhang, K.; Xu, H. Achieving the full vision of earth observation data cubes. Data 2019, 4(3), 94. [Google Scholar] [CrossRef]
- Kraak, M.J. The space-time cube revisited from a geovisualization perspective. In 21st International Cartographic Conference: Cartographic Renaissance; International Cartographic Association, Basel, Switzerland, 2003; pp. 1988-1996.
- Johnson, I. Contextualising archaeological information through interactive maps. Internet Archaeology 2022, 12. [Google Scholar] [CrossRef]
- Kuipers, B. Modelling spatial knowledge. Cognitive Science 1978, 2(1), 129–153. [Google Scholar] [CrossRef]
- Landau, B.; Jackendoff, R. Whence and whither in spatial language and spatial cognition? Behavioral and Brain Sciences 1993, 16(2), 255–265. [Google Scholar] [CrossRef]
- Kuhn, W. An image-schematic account of spatial categories. In International Conference on Spatial Information Theory; Winter, S., Duckham, M., Kulik, L., and Kuipers, B., Eds.; Springer: Heidelberg, Germany, 2007; pp. 152–168. [Google Scholar]
- Clementini, E.; Sharma, J.; Egenhofer, M.J. Modelling topological spatial relations: strategies for query processing. Computers and Graphics 1994, 18(6), 815–822. [Google Scholar] [CrossRef]
- Brennan, J.; Martin, E.A.; Kim, M. Developing an ontology of spatial reasoning and design. In Visual and Spatial Reasoning in Design; Gero, J.S., Tversky, B., and Knight, T., Eds.; Key Centre of Design Computing and Cognition, Sydney, Australia; 2004; pp. 163-182.
- Egenhofer, M.J. Spherical topological relations. Journal on Data Semantics III 2005, 1, 25–49. [Google Scholar]
- Dube, M. An embedding graph for 9-intersection topological spatial relations. Masters Thesis, . University of Maine, Orono, ME, United States, 2009. [Google Scholar]
- Dube, M.P. and Egenhofer, M.J. Establishing similarity across multi-granular topological-relation ontologies. In Quality of Context; Rothermel, K., Fritsch, D., Blochinger, W., and Durr, F., Eds.; Springer: Berlin, Germany, 2009; pp. 98–108. [Google Scholar]
- Egenhofer, M.J. The family of conceptual neighborhood graphs for region-region relations. In International Conference on Geographic Information Science; Fabrikant, S.I., Reichenbacher, T., van Kreveld, M.J., Schlieder, C., Eds.; Springer: Berlin, Germany, 2010; pp. 42–55. [Google Scholar]
- Dube, M. Beyond homeomorphic deformations: neighborhoods of topological changes. In Advancing Geographic Information Science: The Past and Next Twenty Years; Onsrud, H., Kuhn, W. GSDI Press: Needham, MA, United States, 2016, pp. 137-151.
- Hall, B. Identification of conceptual neighborhoods and topological relations in . Masters Thesis, . University of Maine, Orono, ME, United States, 2024. [Google Scholar]
- Egenhofer, M.J.; Franzosa, R.D. Point-set topological spatial relations. International Journal of Geographical Information Systems 1991, 5(2), 161–174. [Google Scholar] [CrossRef]
- Alspaugh, T. Software support for calculations in Allen’s interval algebra. Technical Report, University of California at Irvine, Irvine, CA, United States, 2005.
- Periyandy, T. Areas of same cardinal direction. Masters Thesis, . University of Maine, Orono, ME, United States, 2023. [Google Scholar]
- Kurata, Y. The 9+-intersection: a universal framework for modeling topological relations. In International Conference on Geographic Information Science; Cova, T.J., Miller, H.J., Beard, M.K., Frank, A.U., Goodchild, M.F., Eds.; Springer: Berlin, Germany, 2008; pp. 181–198. [Google Scholar]
- Blaser, A.D. and Egenhofer, M.J. A visual tool for querying geographic databases. In Proceedings of the Working Conference on Advanced Visual Interfaces; Di Gesu, V., Levialdi, S., and Tarantino, L., Eds.; ACM Press, Washington, D.C., 2000, pp. 211-216.
- Abramovich, S.; Connell, M.L. Geometry and measurement. In Developing Deep Knowledge in Middle School Mathematics; Springer, Berlin, Germany, 2021; pp. 183-222.
- Egenhofer, M.; Al-Taha, K. Reasoning about gradual changes of topological relationships. In Theories and Methods of Spatio-Temporal Reasoning in Geographic Space: International Conference GIS – From Space to Territory; Frank, A., Campari, I., Formentini, U. Springer-Verlag: Berlin, Germany, 1992, pp. 196-219.
- Wolff, A. Graph drawing and cartography. In 12th Scandinavian Workshop on Algorithm Theory; Kaplan, H., Ed. Springer, Berlin, Germany, 2010; pp. 697-733.
- Shea, K.S.; McMaster, R.B. Cartographic generalization in a digital environment: when and how to generalize. In: Ninth International Symposium on Computer-Assisted Cartography; Anderson, E., Ed.; American Society for Photogrammetry and Remote Sensing, Falls Church, VA, USA, 1989; pp. 56-67.
- Miuller, J.C.; Weibel, R.; Lagrange, J.P.; Salge, F. Generalization: state of the art and issues. In GIS and Generalization: Methodology and Practice; Miuller, J.C., Lagrange, J.P., and Weibel, R., Eds.; CRC Press, London, United Kingdom, 1995; pp. 3-17.
- Sester, M. Analysis of mobility data-a focus on mobile mapping systems. Geo-spatial Information Science 2020, 23(1), 68-74.
- Goddard, C. Natural semantic metalanguage. In The Routledge Handbook of Cognitive Linguistics; Xu, W. and Taylor, J.R., Eds. Routledge, New York, NY, USA, 2021; pp. 93-110.
- Weibel, R.; Jones, C.B. Computational perspectives on map generalization. Geoinformatica 1998, 2(4), 307–314. [Google Scholar] [CrossRef]
- Kronenfeld, B.J.; Stanislawski, L.V.; Buttenfield, B.P.; Brockmeyer, T. Simplification of polylines by segment collapse: minimizing areal displacement while preserving area. International Journal of Cartography 2020, 6(1), 22–46. [Google Scholar] [CrossRef]
- Mark, D.M.; Egenhofer, M.J. Modeling spatial relations between lines: combining formal mathematics and human subjects testing. Cartography and Geographic Information Systems 1994, 21(4), 195–212. [Google Scholar]
- Reis, R.M.P., Egenhofer, M.J., Matos, J.L. Conceptual neighborhoods of topological relations between lines. In Headway in Spatial Data Handling; Ruas, A. and Gold, C., Eds.; Springer, Berlin, Germany, 2008; pp. 557-574.
- Claramunt, C.; Jiang, B. An integrated representation of spatial and temporal relationships between evolving regions. Journal of Geographical Systems 2001, 3(4), 411–428. [Google Scholar] [CrossRef]
- Chamberlin, D.D.; Boyce, R.F. SEQUEL: a structured English query language. In Proceedings of the 1974 ACM SIGFIDET Workshop on Data Description, Access, and Control; Altshuler, G., Rustin, R., and Plagman, B., Eds.; ACM Press, Washington, DC, USA, 1974; pp. 249-264.
















| Relation | Converse |
|---|---|
| before | after |
| meets | met by |
| overlaps | overlapped by |
| finished by | finishes |
| contains | during |
| starts | started by |
| equal | equal |
| Parent Relation | Graphical Representation | Parent Converse | Graphical Representation |
|---|---|---|---|
| before | ![]() |
after | ![]() |
| meets | ![]() |
met by | ![]() |
| overlaps | ![]() |
overlapped by | ![]() |
| finished by | ![]() |
finishes | ![]() |
| contains | ![]() |
during | ![]() |
| starts | ![]() |
started by | ![]() |
| equal | ![]() |
Disclaimer/Publisher’s Note: The statements, opinions and data contained in all publications are solely those of the individual author(s) and contributor(s) and not of MDPI and/or the editor(s). MDPI and/or the editor(s) disclaim responsibility for any injury to people or property resulting from any ideas, methods, instructions or products referred to in the content. |
© 2025 by the authors. Licensee MDPI, Basel, Switzerland. This article is an open access article distributed under the terms and conditions of the Creative Commons Attribution (CC BY) license (http://creativecommons.org/licenses/by/4.0/).













