Preprint
Article

This version is not peer-reviewed.

Effects of Rolling Parameters on Stress–Strain Fields and Texture Evolution in Al–Cu–Sc Alloy Sheets

  † These authors contributed equally to this work.

A peer-reviewed article of this preprint also exists.

Submitted:

27 October 2025

Posted:

30 October 2025

You are already at the latest version

Abstract
This work examines how rolling speed, feeding rate, and pass schedule—with a constant total reduction—affect the stress–strain fields, rolling force, and texture evolution of Al–Cu–Sc alloy sheets. A coupled finite element (FEM) and viscoplastic self-consistent (VPSC) framework is employed and compared with EBSD measurements to connect macroscopic fields with microscale texture changes. Results indicate that increasing rolling speed raises the effective strain rate and deformation heating, which lowers peak rolling force and improves in-plane stress homogenization on the RD–ND plane, while enhancing surface–core incompatibility and residual-stress gradients along the ND–TD direction. A higher feeding rate mainly intensifies work hardening, slightly elevates rolling force, and promotes near-surface stress/strain localization; in contrast, multi-pass schedules redistribute deformation between passes and reduce macroscopic stress concentration. Texture analyses show a speed-induced rotation from 〈001〉 toward 〈111〉 orientations, strengthening shear-related components; KAM maps suggest increased local orientation gradients consistent with higher stored energy. The simulations capture the principal experimental trends across conditions, supporting the use of the combined framework for trend-level process guidance. Overall, the findings clarify parameter–microstructure relationships and provide a basis for designing rolling routes that balance force reduction, stress uniformity, and texture control in Al–Cu–Sc sheets.
Keywords: 
;  ;  ;  ;  ;  ;  

1. Introduction

Aluminum alloys are widely used for sheet products because of their high specific strength, corrosion resistance, and thermal conductivity. Among them, Al–Cu–Sc alloys have attracted increasing attention for lightweight structural applications in aerospace and transportation, owing to the microalloying effect of scandium (Sc). The addition of Sc promotes coherent Al3Sc nano-precipitates, which inhibit recrystallization, refine grains, and improve thermal stability and strength [1,2,3,4,5,6,7,8,9,10,11,12]. Rolling is the principal route to produce thin and wide sheets from such alloys; hence, process parameters directly shape microstructure and final properties [13,14,15,16,17]. In particular, rolling speed, feeding rate, and pass schedule define the local strain rate and metal flow pattern. Even with a fixed total reduction, different parameter combinations can alter the stress–strain field, residual stresses, rolling force, and texture evolution [18,19,20,21,22,23,24,25].
Despite extensive studies on aluminum sheet rolling, two aspects remain insufficiently resolved for Al–Cu–Sc sheets with the practical constraint of constant total reduction. First, most prior works examine single-factor influences or emphasize macroscopic properties and static recrystallization, while the partitioning of deformation among passes and its consequences for inter-pass stress/strain accumulation, through-thickness residual-stress gradients, and force fluctuations have not been systematically quantified [26,27]. Second, the links between parameter-controlled strain-rate histories and microscale pathways—grain rotation, dislocation storage, and the emergence of shear-related texture components—are often discussed qualitatively, with limited multi-scale evidence that connects fields to texture evolution under comparable processing paths [28,29]. Representative studies on high-strength Al alloys report strong sensitivities of texture to pass schedule and reduction strategy [30,31], but a coordinated analysis that separates parameter effects from the total-reduction effect and couples macro fields to microtexture for Al–Cu–Sc is still scarce.
Recent advances in modeling offer tools to address these gaps. Finite element method (FEM) simulations can resolve the evolution of stress/strain and rolling force under specified process paths, while viscoplastic self-consistent (VPSC) models capture polycrystalline reorientation under rate-sensitive slip [32,33,34,35]. However, predictive use of a combined FEM–VPSC framework—benchmarked by EBSD texture measurements under identical conditions—remains challenging for Al–Cu–Sc due to the sensitivity of responses to strain-rate gradients, frictional shear, and inter-pass history.
Motivated by these observations, this study investigates how rolling speed, feeding rate, and number of passes—with a fixed total reduction—govern the macro- and micro-scale evolution of Al–Cu–Sc sheet rolling. We couple FEM (for stress/strain fields and rolling force) with VPSC (for texture development) and validate the trends against EBSD measurements on the same processing paths. The central questions are: (i) how parameter choices rebalance in-plane stress homogenization on the RD–ND plane against through-thickness gradients on the ND–TD plane; (ii) how strain-rate histories relate to grain rotation toward shear-related components and local orientation gradients; and (iii) to what extent multi-pass schedules mitigate macroscopic stress concentration via inter-pass relaxation.
The contributions are threefold. First, we delineate parameter-specific roles with constant total reduction, decoupling the influence of rolling speed, feeding rate, and pass schedule on stress/strain distributions and residual stresses. Second, we establish a multi-scale correspondence between macroscopic fields and microtexture evolution, clarifying how rate effects promote 111 -related components and local misorientation signatures. Third, we provide a calibrated FEM–VPSC workflow, trend-validated by EBSD, that can serve as a reference for parameter screening and texture control in Al–Cu–Sc sheet rolling (trend-level guidance rather than point predictions).
The remainder of the paper is organized as follows. Section 2 describes the simulation setup and experimental procedures. Section 3 analyzes the evolution of stress, strain, and rolling force under different parameter sets. Section 4 presents EBSD observations and VPSC predictions of texture, and compares their trends. Section 5 summarizes the findings, highlights the main limitations, and outlines directions for future work.

2. Experimental Procedure

To comprehensively investigate the effects of rolling parameters on macro- and micro-scale responses, this study combines finite element simulation with laboratory rolling experiments. The numerical model was developed to capture the stress–strain evolution and deformation characteristics under different processing conditions, while the experimental procedure was designed to validate the simulation predictions and provide microstructural evidence.

2.1. Simulation Model Development

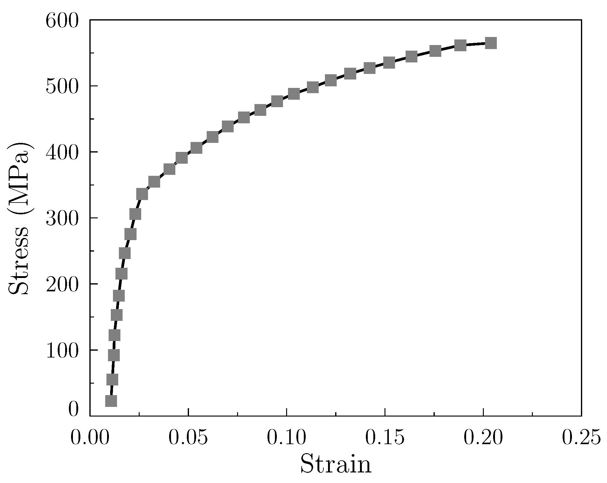
Finite element simulations of the rolling process were performed using ABAQUS. A rigid–plastic framework was adopted to approximate the high plastic strain conditions of sheet rolling. The room-temperature true stress–strain curve used for the constitutive description of the Al–Cu–Sc alloy is shown in Figure 1.
The workpiece, with initial dimensions of 150 mm × 80 mm × 10 mm , was discretized into 100,000 C3D8R elements (8-node linear brick, reduced integration) to ensure sufficient resolution of local stress and strain gradients. The rolling rolls were modeled as analytical rigid bodies, and their interaction with the sheet was described using a surface-to-surface contact algorithm. A constant Coulomb friction coefficient of 0.1 was applied based on typical values reported for cold-rolling processes [36,37].
The overall simulation configuration—including the finite element mesh, and its correspondence to the experimental setup—is illustrated in Figure 2a–c. Table 1 lists the basic physical properties of the alloy used in both simulation and experiments.

2.2. Experimental Procedure

A commercial Al–Cu–Sc alloy with the properties listed in Table 1 was selected for experimental verification. Prior to rolling, the alloy billets were homogenized at 500 C for 24 h in an SG-XL1400 box furnace and subsequently water-quenched. This treatment was intended to achieve a uniform initial microstructure and minimize dendritic segregation [38]. The homogenized billets were then machined into sheets with dimensions of 150 mm × 80 mm × 10 mm using a DK7735 wire electrical discharge machine (EDM). Surface grinding was performed to ensure consistent surface finish and minimize surface defects before rolling.
Cold rolling was conducted at room temperature on a two-high rolling mill with a roll diameter of 250 mm and a roll length of 300 mm . Rolling experiments were performed under different process parameters (rolling speed, feeding rate, and number of passes) while maintaining a constant total reduction of 40%, corresponding to a final sheet thickness of 6 mm . This experimental design ensured that the influence of individual parameters could be decoupled from the total deformation effect.
The evolution of stress–strain fields, residual stress distribution, and microtexture was characterized at different rolling stages. Measurements were taken on two principal sections: the RD–ND (rolling–normal) plane, which reflects in-plane deformation and stress homogenization, and the ND–TD (normal–transverse) plane, which captures through-thickness stress gradients and texture evolution. These results were subsequently compared with the simulation predictions for validation and further analysis.

3. Results and Discussion

3.1. Stress Analysis

Rolling of the Al–Cu–Sc alloy sheet is a continuous, multi-stage deformation process involving the entry, deformation, and exit stages. The evolution of the stress field across these stages directly affects plastic flow behavior, residual stress distribution, and ultimately the microstructure and properties of the final sheet. Three key process parameters—feeding rate (linear entry speed of the sheet), rolling speed (angular velocity of the rolls), and number of passes—play a decisive role in shaping the stress state during rolling. These parameters influence contact stress at the entry stage, plastic flow stress during deformation, and residual stress in the final product. Understanding their effects is therefore essential for clarifying the physical mechanisms of deformation and for establishing process–structure correlations [39,40].

3.1.1. Entry Stage: Effects of Rolling Speed and Feeding Rate

Figure 3a presents the simulated stress distributions on the RD–ND (rolling–normal) and ND–TD (normal–transverse) planes under three representative rolling speeds: 3.14 rad/s (low), 6.28 rad/s (medium), and 12.56 rad/s (high), with the feeding rate fixed at 100 mm/s. At low rolling speed, high and localized stress is observed in the roll-sheet contact zone, while the ND–TD plane shows a gradient decreasing from the surface toward the core. As the speed increases to a medium level, the stress distribution broadens, and edge regions exhibit more pronounced gradients. At high rolling speed, the overall stress on the RD–ND plane becomes more symmetric through the sheet thickness, accompanied by a distinct gradient along the rolling direction. In all cases, displacement in the rolling direction is greater on the outer surface than in the core, and this difference increases with rolling speed.
These observations suggest that strain rate and deformation heating jointly affect stress evolution. At a lower rolling speed, the slower dissipation of energy tends to result in more localized stress concentrations. Medium rolling speed appears to accentuate edge effects. For a higher speed, the interplay between deformation heating and dynamic softening contributes to a more symmetric stress profile, while also enhancing the difference between surface and core regions [41,42].
Figure 3b shows the influence of feeding rate (100, 200, 300 mm/s) on the entry-stage stress field at a fixed rolling speed of 6.28 rad/s. A lower feeding rate produces a more pronounced ND–TD stress gradient near the edges and a stress field on the RD–ND plane that extends forward and backward relative to the roll bite zone. Stress magnitude generally decreases from the surface to the core. The elevated stress concentration at low feeding rate is possibly related to higher local strain rates and intensified dislocation activity [43]. Moreover, slower feeding exacerbates deformation inhomogeneity, further accentuating edge stresses. The observed surface-to-core stress decay is likely related to the combination of shear deformation near the surface and the triaxial compressive state in the core. Additionally, the stress field ahead of the roll gap is influenced by restricted metal flow and evolving deformation-zone geometry.

3.1.2. Deformation Stage: Effects of Rolling Speed and Feeding Rate

Figure 4a shows the stress distributions during the deformation stage under different rolling speeds. As rolling speed increases, the stress distribution on the RD–ND plane becomes more uniform, while the peak stress decreases. In contrast, the ND–TD plane exhibits an opposite trend. At low speed, stress is mainly concentrated near the sheet edges, with a peak value of approximately 519.8 MPa. At medium speed, the high-stress zone moves outward, and the peak drops to about 378.3 MPa. At high speed, stress concentration shifts toward the core, forming a gradient that decreases radially outward and significantly reducing edge stresses.
This transition may be associated with strain-rate effects and thermal–mechanical interactions. At higher speeds, increased strain rates accompanied by rapid surface cooling may restrict plastic flow near the surface, potentially elevating triaxial stresses in the core. In contrast, low-speed rolling allows more uniform deformation but induces edge stress concentration, likely due to limited lateral flow. Additionally, variations in contact arc length and deformation zone geometry could also play a role in the observed stress evolution.
Figure 4b illustrates the effect of feeding rate during deformation. Increasing the feeding rate leads to higher stresses on the RD–ND plane but lower stresses in the ND–TD core region. This redistribution suggests an enhanced deformation mismatch between the surface and core regions. An increased feeding rate raises the strain rate, which is accommodated microscopically by an accelerated multiplication of dislocations. Furthermore, the presence of Al3Sc precipitates aggravates dislocation pile-up, enhancing the work hardening and higher overall stress on the RD–ND plane. On the ND–TD plane, stress concentration at low feeding rate is primarily attributed to poor deformation compatibility near the free edges. With increasing the feeding rate, a pronounced metal flow difference develops between the surface and core, enhancing deformation inhomogeneity. This shifts stress localization to the outer surface, while the core remains in a lower-stress state. These interpretations are qualitative and may depend on friction conditions and local temperature rise.

3.1.3. Effect of Pass Number: Inter-pass Relaxation and Stress Redistribution

The number of passes also significantly influences stress evolution. As shown in Figure 5, two-pass rolling reduces stress concentration compared with a single-pass process. This reduction is associated with dividing the total 40% reduction into two stages, which allows partial stress relaxation between passes and mitigates concentrated material flow [44,45]. Furthermore, the microstructural response underlines the benefit of multi-pass rolling. The presence of Al3Sc precipitates in Al–Cu–Sc alloy is accompanied by the formation of extensive dislocation pile-ups, as revealed by microstructural characterization. Under single-pass deformation, these microstructural features correspond to localized high-stress regions. Multi-pass processing promotes a more homogeneous microstructure through enhanced dynamic recovery, effectively alleviating the stress concentration.
At higher rolling speed, strain-rate gradients along the sheet width become more pronounced, amplifying edge effects and increasing stress concentration points on the ND–TD plane. Nevertheless, the more homogeneous deformation achieved with two passes suppresses localized stress aggregation and results in a more dispersed stress distribution overall.

3.1.4. Exit Stage: Coupled Effects of Rolling Speed, Feeding Rate, and Pass Number

Figure 6a summarizes the exit-stage stress distributions under different rolling speeds. Increasing speed is associated with reduced stress concentration on the RD–ND plane and a more evident multi-zone incompatibility on the ND–TD plane, which appears as an arc-shaped gradient from surface to core. A plausible explanation is that shorter roll–sheet contact time at higher speeds intensifies near-surface shear and accumulates sufficient surface strain, while the core experiences delayed and less extensive deformation. In parallel, stronger width-wise strain-rate gradients at higher speeds impose greater flow constraints at the edges than at the center, further contributing to the observed through-thickness gradient. Upon cooling, differential contraction between the more-deformed surface and the less-deformed core may preserve part of this gradient.
Figure 6b shows the effect of feeding rate on the exit-stage stress field. On the ND–TD plane, higher feeding rate tend to shift stress concentration from the core toward the surface and to weaken the arcuate pattern, whereas on the RD–ND plane, stresses become more dispersed and symmetric. These tendencies are consistent with the combined influence of strain-rate sensitivity and deformation compatibility: lower feeding rate allows deeper stress penetration due to longer deformation times, while higher rates can increase near-surface softening and promote a more uniform in-plane distribution.
The influence of pass number is presented in Figure 7. For two-pass schedules, increasing rolling speed still reduces the peak stress on the RD–ND plane and promotes a more uniform pattern. On the ND–TD plane, the distribution evolves from localized near-surface concentration at low speed to a clearer outward-increasing gradient at higher speed.
This evolution suggests a combined role of inter-pass strain redistribution (which mitigates macroscopic concentration) and strain-rate gradients (which promote a microscopic through-thickness imbalance). Partial recovery between passes may influence the final gradient, possibly by relaxing accumulated strain in the mid-thickness while preserving surface-layer deformation.

3.1.5. Equivalent Stress Evolution During Rolling

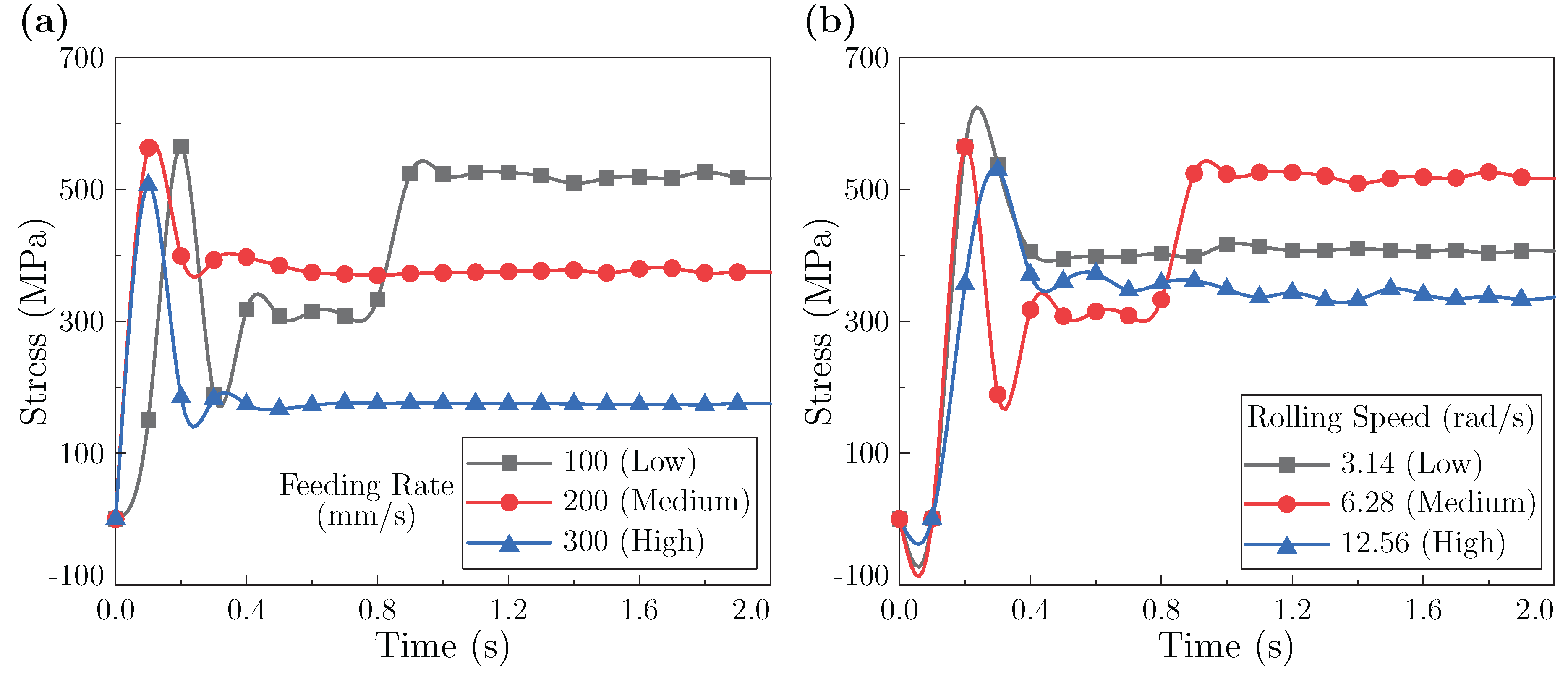
Figure 8 reports the equivalent stress at the sheet leading edge. As shown in Figure 8a, the feeding rate noticeably affects the temporal profile. At a low feeding rate, the stress exhibits a “continuous rise → stabilization” trend with hysteresis. The longer contact time likely permits more complete plastic flow and sustained dislocation activity, allowing work hardening to develop until a quasi-balance is reached. At higher feeding rate, peak stresses are comparable, whereas the stabilized level differs: the medium rate stabilizes around ∼364 MPa with small oscillations, while the high rate remains near ∼474 MPa. The higher stabilized level at the fast rate may reflect a less effective softening relative to dislocation accumulation [46,47], whereas the medium rate appears to achieve a more balanced hardening–softening state.
Figure 8b shows that the leading-edge stress versus time under different rolling speeds generally follows an "increase → decrease → stabilization” pattern. Three features are noted: (i) the low-speed case exhibits the highest peak, which is suggestive of limited deformation heating combined with more pronounced work hardening; (ii) the medium-speed case has a slightly higher peak than the high-speed case, a trend potentially reflecting the more dominant role of thermal softening at the highest speed; and (iii) during intermediate stages, the stress level tends to increase with speed, possibly linked to accelerated dislocation accumulation under non-steady-state conditions.
The interior leading-edge response is shown in Figure 9. In Figure 9a, the low feeding rate produces a pronounced peak followed by a rapid drop and secondary surges before stabilization. This multi-peak behavior likely reflects repeated episodes of constrained flow and subsequent coordination as the edge continuously enters the deformation zone. In contrast, medium and high feeding rate show a single peak, a drop, and a smoother stabilization. The stabilized stress decreases with feeding rate: ∼518 MPa (low), ∼373 MPa (medium), and ∼175 MPa (high), consistent with shorter accumulation times and faster establishment of mechanical equilibrium at higher rates.
As shown in Figure 9b, increasing rolling speed lowers the peak stress (low > medium > high). The stabilized stress, however, follows medium (∼520 MPa) > low (∼403 MPa) > high (∼333 MPa). This divergence suggests that peak stress is governed by the time available for accumulation, whereas stabilization reflects how quickly coordinated flow is established. High speed appears to favor rapid coordination and thus a lower final level; low speed adapts gradually, yielding a moderate level; the medium case may be fast enough to limit accumulation but not fast enough to fully coordinate, resulting in the highest stabilized value.
These stress evolution patterns provide a crucial macro-scale context for the subsequent microstructural analysis. The observed transition from localized surface stresses at low rolling speed to more symmetric distributions and stronger through-thickness gradients at higher speeds is expected to influence grain rotation behavior and the activation of shear-related texture components, which will be examined in Section 4.

3.2. Strain Analysis

3.2.1. Entry Stage: Effects of Rolling Speed and Feeding Rate

Figure 10 shows the equivalent plastic strain (PEEQ) distributions on the RD–ND and ND–TD planes during entry. Increasing rolling speed and decreasing feeding rate are associated with higher peak PEEQ and a more pronounced through-thickness gradient on the ND–TD plane. In all cases, the strain consistently decreases from the core to the surfaces along the TD. Additionally, the edge regions of the upper and lower surfaces exhibit higher metal flow, forming arc-shaped high-strain zones along both sides. These features are consistent with strain-rate-dependent plasticity: elevated effective strain rates intensify dislocation multiplication and concentrate deformation, while reduced constraints at the edges and differential friction between the rolls promote the characteristic arc-shaped pattern.

3.2.2. Deformation Stage: Effects of Rolling Speed, Feeding Rate, and Pass Schedule

Figure 11 summarizes the forming-stage PEEQ distributions. In all conditions, a gradient from the surface toward the core is observed. Figure 11a indicates that increasing rolling speed elevates peak strain (approximately doubling from low to high) while promoting a more uniform distribution on the RD–ND plane. Figure 11b shows that higher feeding rate also increase the strain rate but yield comparatively lower peaks and more uniform in-plane distributions; however, edge arc-shaped localization becomes more apparent. Figure 11c suggests that a two-pass schedule lowers peak strain to roughly half that of a single pass while maintaining the monotonic decrease from surface to core along the ND.
These results appear to be rationalized by the combined action of strain rate and pass schedule. Higher rolling speed, associated with increased strain rates, are linked to greater dislocation accumulation and more intense plastic flow. This correlates with a rise in peak strain and a tendency toward greater in-plane uniformity. Higher feeding rates distribute deformation over shorter times, which seems to constrain peak accumulation yet preserve surface-dominated shear, amplifying edge localization. Multi-pass rolling divides total reduction and introduces inter-pass relaxation, allowing partial annihilation of dislocations and consequently reducing peak strain.

3.2.3. Final Product Stage: Dependence on Rolling Speed and Feeding Rate

Figure 12 presents the final-stage PEEQ distributions. Peak PEEQ at this stage exceeds that of the entry and forming stages. On the ND–TD plane, strain gradually decreases from the center toward both sides along the TD. The outer-surface strain exceeds that of the inner surface along the ND, though their difference is smaller than in earlier stages. On the RD–ND plane, the inner–outer difference increases with rolling speed; at low speed, the maximum strain tends to appear near the core. Figure 12b further indicates that along the TD, there exists a qualitative correlation between high-strain regions and higher residual stress. The outer surface strain increases with the feeding rate.
These observed patterns align with cumulative strain over multiple passes and the inhomogeneity associated with the final deformation. The higher peak strain appears to reflect the combined effect of strain accumulation and heightened deformation resistance during the final pass. The center-to-edge gradient on the ND–TD plane is compatible with constrained transverse flow in the center and relatively freer deformation near the edges. Higher speeds can promote homogenization and reduce inner–outer differences, potentially aided by deformation heating and dynamic softening, whereas higher feeding rates intensify surface shear and frictional effects, making outer-surface localization more evident. The qualitative overlap of high PEEQ and higher residual stress is consistent with strain-gradient-induced internal stress and local work hardening.

3.3. Rolling Force Analysis

3.3.1. Effect of Rolling Speed

Figure 13 shows the rolling-force histories for different rolling speed. Force fluctuations appear in all cases; the amplitude is smallest at low speed and becomes more pronounced as speed increases. Meanwhile, the average rolling force decreases with speed, with the high-speed condition showing the lowest overall level.
A possible explanation for these observations may lie in the varying deformation mechanisms activated at different rolling speeds. Under low-speed conditions, the deformation is likely to proceed more uniformly, promoting a closer balance between dislocation multiplication and dynamic recovery, which would contribute to the smaller stress fluctuations observed. With increasing speed, the associated rise in strain rate could encourage faster yet less homogeneous dislocation accumulation, potentially giving rise to transient instabilities in the flow stress [46,48]. Furthermore, the deformation heat generated at higher speeds may not be dissipated completely within the short roll-sheet contact time, tending to reduce the average flow stress through thermal softening. Changes in lubrication conditions and the potential onset of vibration at elevated speeds may also play a role in the increased fluctuation amplitude.

3.3.2. Effect of Feeding Rate

Figure 14 presents the force histories for different feeding rates. With increasing rate, the peak rolling force shows a slight upward trend, while fluctuation amplitude decreases. The modest increase in peak force is consistent with higher strain rates and the strengthening effect of precipitates, which impede dislocation motion [49,50]. The reduced fluctuation amplitude at higher rates may be attributed to a more stable and continuous metal supply into the deformation zone and a more uniform shear state at the roll–sheet interface.

3.3.3. Effect of Differential Speed Ratio

Figure 15 illustrates the influence of differential speed ratio (base speed 6.28 rad/s). Synchronous rolling (ratio 1.0) produces a higher rolling force than asynchronous conditions. As the ratio increases, the rolling force decreases and reaches a minimum of ∼460 kN at a ratio of 2.0, compared with ∼797 kN for synchronous rolling.
The reduction under asynchronous rolling may be related to additional through-thickness shear arising from roll-speed mismatch, which is generally considered to facilitate plastic flow and lowers deformation resistance. A larger ratio enhances this shear and further reduces the force. However, asynchronous rolling also introduces a shear-stress gradient decreasing from the fast-roll side to the slow-roll side, which may drive sheet warping toward the slow-roll side. This tendency persists even at higher reductions because it originates from the intrinsic velocity differential. Consequently, differential speed ratios should be selected by balancing force reduction with forming quality (flatness, microstructural uniformity, and surface integrity), while controlling shear strain and residual stress.
In summary, the combined analysis of stress, strain, and rolling force reveals parameter-dependent deformation modes that reshape both in-plane and through-thickness field distributions. These field characteristics—such as enhanced surface shear, strain-rate-driven gradients, and inter-pass relaxation—are expected to directly affect grain rotation pathways, texture intensities, and local lattice curvature. Section 4 builds on these findings by examining the corresponding microstructural signatures through EBSD characterization and VPSC simulations.

4. Experiment and Texture Analysis

This section examines texture evolution during rolling using Electron Backscatter Diffraction (EBSD) and compares the measurements with predictions from a viscoplastic self-consistent (VPSC) model. By correlating these microstructural results with the macroscopic field patterns described in Section 3 – such as stress homogenization, through-thickness gradients, and rolling-force fluctuations – we aim to establish a trend-level correspondence between process parameters and crystallographic reorientation. The objective is twofold: (i) to characterize orientation distributions and local lattice curvature under different rolling speeds, and (ii) to assess whether the coupled simulation framework reproduces the main experimental trends in a parameter-consistent manner.

4.1. EBSD Measurement Setup and Results of IPF and KAM Analysis

The EBSD observations provide direct microstructural evidence for the macro–micro linkages hypothesized in Section 3. Variations in stress distribution and deformation heterogeneity translate into distinct orientation trends and dislocation patterns, allowing a detailed examination of how processing parameters influence the internal structure.
Figure 16 shows representative sheets prepared at different rolling speeds. EBSD measurements were performed on the RD–ND plane to capture through-thickness and in-plane orientation features under the same preparation protocol. To improve indexing quality and reduce electron-beam scattering, the sample tilt was set to 70 , the working distance to 20 mm , and the accelerating voltage to 20 kV . A step size of 1.5 μ m and a nominal magnification of 800 × were adopted. A 500 × 500 μ m central area was selected to minimize edge effects and to provide comparable deformation histories across samples [51]. These settings balance spatial resolution with scan efficiency and are sufficient for resolving grain-scale orientation gradients in the present alloy.
Figure 17 presents the Inverse Pole Figure (IPF) maps and Kernel Average Misorientation (KAM) maps obtained at low, medium, and high rolling speed. Under low-speed conditions, orientations are dominated by 101 and 001 , with a comparatively lower fraction of 111 -oriented grains. As the rolling speed increases, the fraction of 111 -oriented grains gradually rises while 001 decreases, indicating a rotation tendency toward 111 / 101 -related components. At high speed, 001 further diminishes, 101 slightly declines, and transition orientations between 001 and 111 become more prevalent.
KAM maps reveal a concurrent increase in local orientation gradients with speed, suggesting higher geometrically necessary dislocation (GND) content and more heterogeneous micro-strain at elevated rates. This observation is consistent with the notion that increased strain rate enhances dislocation multiplication relative to dynamic recovery, thereby raising stored energy and potentially influencing subsequent recrystallization kinetics [52,53,54,55]. It should be noted that KAM provides a qualitative indicator of local lattice curvature; its interpretation as a direct measure of dislocation density is approximate and may depend on step size and noise filtering.
These microstructural signatures are consistent with the field-level findings: higher rolling speed, which were shown to enhance surface shear and amplify through-thickness gradients, correspond to a pronounced increase in 111 -oriented grains and elevated KAM values, reflecting intensified dislocation storage and shear activity.

4.2. Comparison Between VPSC Predictions and Experimental Results

To quantify texture evolution under the tested conditions, a VPSC model was employed. The initial texture was represented by 6000 discrete grain orientations, imported as the starting ODF sample. Grain reorientation was computed using crystal plasticity constitutive relations consistent with the rolling kinematics, and the same processing path used in the experiments was applied in the simulations to ensure comparability [32,33,56]. The model focuses on rate-dependent slip-dominated plasticity; dynamic softening mechanisms are not explicitly introduced, which is noted when interpreting residual discrepancies.
Figure 18 compares experimental pole figures with VPSC results for the same speed conditions. At low speed, the measured texture exhibits medium strength with relatively concentrated components and clear contours; the simulation captures the main distribution trend with slightly stronger local concentration. At medium speed, overall intensity and symmetry increase in both experiment and simulation, and the agreement in coverage and intensity gradients is the most apparent among the three conditions. At high speed, the measured texture becomes more diffuse with lower overall intensity; the simulation reproduces the diffuse trend but shows somewhat higher component intensities.
Overall, the VPSC model reproduces the principal evolution tendencies across speed, indicating that the rate-sensitive slip-based framework is suitable for describing the dominant reorientation paths under the present conditions. Residual differences—particularly the overprediction of component intensity at high speed—may be linked to the absence of explicit dynamic softening and/or subgrain rotation mechanisms in the current implementation, as well as to experimental factors such as surface preparation, step size, and the finite sampling of the ODF.
In summary, EBSD measurements and VPSC simulations reveal consistent trends in texture evolution across different rolling speeds. This agreement supports the reliability of the combined FEM–VPSC–EBSD framework for capturing rate-sensitive orientation changes in Al–Cu–Sc sheets. Parallel trends are observed in both macroscopic deformation fields (Section 3) and the microstructural response (Section 4). Specifically, parameter-induced changes in strain rate and stress distribution are systematically mirrored in the crystallographic reorientation. This macro–micro consistency underscores the framework’s utility for analyzing and designing rolling processes across multiple scales. Minor discrepancies are also noted, highlighting the potential roles of dynamic softening and microstructural heterogeneity. These aspects can be systematically addressed in future work by extending the experimental protocol and refining the constitutive assumptions in the model.

5. Conclusion

5.1. Main Conclusions

This study systematically investigated the influence of rolling process parameters on the macro- and micro-scale responses of Al–Cu–Sc alloy sheets with a constant total reduction. By integrating finite element simulations (FEM), viscoplastic self-consistent (VPSC) modeling, and EBSD characterization, the work links process conditions to field evolution, texture development, and deformation mechanisms. The main conclusions are as follows:
  • Macroscopic field evolution is dominated by strain-rate effects. Rolling speed plays the most critical role in shaping stress and strain distributions. Higher speeds elevate strain rates, leading to a reduction in peak rolling force and improved stress uniformity on the RD–ND plane. At the same time, they amplify surface–core deformation incompatibility, resulting in residual stress gradients along the ND–TD direction. Feeding rate primarily influences dislocation multiplication and work hardening, thereby raising stress levels and shifting concentration toward the surface. Multi-pass rolling redistributes deformation across passes and facilitates partial recovery, promoting stress homogenization.
  • Process parameter interactions govern rolling force behavior and energy demand. Increased rolling speed enhances rolling force fluctuations, while higher feeding rate slightly raise the peak load but stabilize the process by improving flow continuity. Asynchronous rolling introduces velocity-gradient-induced shear, reducing deformation resistance by up to 30% compared with synchronous rolling at a differential speed ratio of 2.0. However, the accompanying asymmetric shear can cause sheet warping, underscoring the importance of balancing force reduction with dimensional accuracy and forming quality.
  • Microstructural evolution is highly sensitive to deformation kinetics. EBSD and VPSC analyses reveal that higher rolling speed strengthen shear deformation contributions, promoting grain rotation toward 111 orientations and shifting texture toward shear-dominated components. Elevated strain rates also increase dislocation density, manifested as enhanced local orientation gradients. These observations demonstrate that process parameters—especially rolling speed—can be used as effective levers for tuning texture, anisotropy, and recrystallization behavior.
  • Integrated simulation–experiment approaches enable predictive process design. The combined FEM–VPSC framework reproduces key macroscopic and microscopic trends across parameter conditions, with close agreement to EBSD measurements. This capability enables the isolation and quantification of parameter effects, providing a foundation for virtual process design, rapid parameter screening, and reduced reliance on extensive experimental iterations.

5.2. Innovations of This Work

This study offers several new insights into the understanding and control of Al–Cu–Sc sheet rolling:
  • Multi-scale linkage between process parameters and material response: The research establishes a clear correlation between macroscopic field evolution, rolling force behavior, and microstructural development, bridging gaps in previous studies that examined these factors separately.
  • Validated integrated modeling framework: The coupling of FEM, VPSC, and EBSD provides a more complete and quantitatively validated depiction of deformation and texture evolution, supporting predictive process optimization.
  • Parameter-specific control strategies: The study clarifies the dominant role of rolling speed and outlines parameter-adjustment routes to tailor stress distributions, texture formation, and dislocation behavior, offering practical guidance for precision processing of high-performance sheets.

Author Contributions

Conceptualization, S.T. and B.G.; methodology, G.Z. and L.L.; software, G.Z.; validation, G.Z. and T.L.; formal analysis, G.Z., T.L. and L.L.; investigation, T.L. and L.L.; resources, B.G.; data curation, T.L.; writing—original draft preparation, G.Z., T.L., and L.L.; writing—review and editing, S.T. and B.G.; visualization, L.L.; supervision, S.T. and B.G.; project administration, S.T.; funding acquisition, S.T. and B.G. All authors have read and agreed to the published version of the manuscript.

Funding

This research was funded by Shanxi Provincial Basic Research Program (202403021221134), the Liaoning Provincial Major Special Project (2024JH1/11700046) and the National Natural Science Foundation of China (12372194).

Institutional Review Board Statement

Not applicable.

Informed Consent Statement

Not applicable.

Data Availability Statement

The data that support the findings of this study are available from the corresponding author upon reasonable request.

Acknowledgments

The authors gratefully acknowledge the support provided by the Liaoning Provincial Major Special Project and the National Natural Science Foundation of China.

Conflicts of Interest

The authors declare no conflict of interest. The funders had no role in the design of the study; in the collection, analyses, or interpretation of data; in the writing of the manuscript; or in the decision to publish the results.

Abbreviations

The following abbreviations are used in this manuscript:
C3D8R 8-node linear brick element with reduced integration
EBSD Electron Backscatter Diffraction
EDM Electrical Discharge Machining
FEM Finite Element Method
IPF Inverse Pole Figure
KAM Kernel Average Misorientation
PEEQ Equivalent Plastic Strain
RD Rolling Direction
ND Normal Direction
TD Transverse Direction
VPSC Viscoplastic Self-Consistent (model)

References

  1. Li, Q.; Qiao, J.; Zhao, A.; Gao, Q.; Wang, W. Reversing the Strength–Ductility Trade-Off in Al–Zn–Mg–Cu Alloys via Trace Sc Microalloying and L12 Dispersoid Precipitation. Mater. Sci. Eng. A. 2025, 945, 149054. [Google Scholar] [CrossRef]
  2. Dong, H.; Li, J.; Ma, K.; Xia, F.; Lei, X.; Liang, Y.; et al. Effects of cooling rate and Sc content on Al3CuNi phase in cast heat-resistant Al-Si-Cu-Ni alloys. J. Mater. Res. Technol. 2025, 38, 1593–1602. [Google Scholar] [CrossRef]
  3. Wu, J.; Ma, S.; Zhu, Y.; Zhao, J.; Wang, B.; Zhang, D.; et al. Sc microalloying improved heat and corrosion resistance of an Al-Cu-Mg alloy under varied heat treatment processes. Mater. Charact. 2025, 228, 115392. [Google Scholar] [CrossRef]
  4. Wang, J.; Dong, S.; Wang, F.; Qian, C.; Deng, Z.; Wang, F.; et al. The combined strengthening of multiple intragranular precipitates and intergranular eutectic structure in a cast heat-resistant Al-Cu-Ce-Mn-Sc-Zr alloy. Mater. Sci. Eng. A. 2025, 945, 148979. [Google Scholar] [CrossRef]
  5. Li, C.; Li, X.; Zhang, Y.; Wen, K.; Yan, L.; Li, Y.; et al. Achieving high strength and good laser welding performance by adding Sc to T8-aged Al-Cu-Li alloys with different Cu/Li ratios. Mater. Des. 2025, 256, 114285. [Google Scholar] [CrossRef]
  6. Zhao, B.; Yin, N.; Miao, J.; Wu, Z.; Zhang, Z.; Luo, A.; et al. Local Al-Cu-Sc ternary phase transformation degrades corrosion performance of Sc-microalloyed Al-Cu alloy. Corros. Sci. 2025, 255, 113152. [Google Scholar] [CrossRef]
  7. Xue, H.; Yang, C.; Kuang, J.; Zhang, P.; Zhang, J.; Liu, G.; et al. Highly interdependent dual precipitation and its effect on mechanical properties of Al–Cu-Sc alloys. Mater. Sci. Eng. A. 2021, 820, 141526. [Google Scholar] [CrossRef]
  8. Jiang, L.; Li, J.; Cheng, P.; Liu, G.; Wang, R.; Chen, B.; et al. Experiment and modeling of ultrafast precipitation in an ultrafine-grained Al–Cu–Sc alloy. Mater. Sci. Eng. A. 2014, 607, 596–604. [Google Scholar] [CrossRef]
  9. Chen, B.; Liu, G.; Wang, R.; Zhang, J.; Jiang, L.; Song, J.; et al. Effect of interfacial solute segregation on ductile fracture of Al–Cu–Sc alloys. Acta Mater. 2013, 61, 1676–1690. [Google Scholar] [CrossRef]
  10. Kairy, S.K.; Rouxel, B.; Dumbre, J.; Lamb, J.; Langan, T.; Dorin, T.; et al. Simultaneous improvement in corrosion resistance and hardness of a model 2xxx series Al-Cu alloy with the microstructural variation caused by Sc and Zr additions. Corros. Sci. 2019, 158, 108095. [Google Scholar] [CrossRef]
  11. Gao, Y.; Kuang, J.; Liu, G.; Sun, J. Effect of minor Sc and Fe co-addition on the microstructure and mechanical properties of Al-Cu alloys during homogenization treatment. Mater. Sci. Eng. A. 2019, 746, 11–26. [Google Scholar] [CrossRef]
  12. Jiang, L.; Li, J.; Liu, G.; Wang, R.; Chen, B.; Zhang, J.; et al. Length-scale dependent microalloying effects on precipitation behaviors and mechanical properties of Al–Cu alloys with minor Sc addition. Mater. Sci. Eng. A. 2015, 637, 139–154. [Google Scholar] [CrossRef]
  13. Panda, S.; Vignesh, R.V.; Govindaraju, M. Investigations on the microstructural evolution and mechanical properties of Al-Cu-Al tri-metal strips fabricated through roll bonding and heat-treatment processes. Can. Metall. Quart. 2024, 63, 1012–1029. [Google Scholar] [CrossRef]
  14. Song, H.; Hu, X.; Wang, J.; Zhou, X.; Zhang, Q.; Zhang, B. Evolution and formation mechanism of residual stress in Al-Cu alloy rings during ring rolling and quenching. Eng. Fail. Anal. 2024, 163, 108578. [Google Scholar] [CrossRef]
  15. Yousefi Mehr, V.; Rezaeian, A.; Toroghinejad, M.R. Effects of processing parameters on the fracture behaviour of cold roll bonded and accumulative roll bonded Al–Cu lamellar composites. Mater. Sci. Technol. 2021, 37, 1096–1106. [Google Scholar] [CrossRef]
  16. Siahaan, E. The Reduction Effect of Al-Cu Series 2024 on the Processing Rolled In Mechanical Properties. Mater. Sci. Eng. 2020, 1007. [Google Scholar] [CrossRef]
  17. Selvan, C.C.; Narayanan, C.S.; Ravisankar, B.; Narayanasamy, R.; Valliammai, C.T. The dependence of the strain path on the microstructure, texture and mechanical properties of cryogenic rolled Al-Cu alloy. Mater. Res. Express. 2020, 7, 036525. [Google Scholar] [CrossRef]
  18. Chen, Q.; Li, H.; Zhao, M.; Li, Y.; Ma, Y.; Song, Y. Effect of cold rolling and annealing processes on the microstructure and mechanical properties of S32101 lean duplex stainless steel. J. Mater. Sci. 2025, 60, 17989–18006. [Google Scholar] [CrossRef]
  19. Zeng, W.; Pang, H.; Wang, Y.; Zheng, W.; Xu, G.; Tian, J. Study on the Deformation Resistance and Microstructure of Interstitial Free Steel under Different Rolling Processes. J. Mater. Eng. Perform. 2025. [Google Scholar] [CrossRef]
  20. Cao, Y.; Cao, J.; Liu, S.; Wang, B.; Zhang, P. Numerical Calculation and Analysis of Temperature Field for Zirconium Alloy Strip in Multi Rolling Processes and Multi-Pass Hot Rolling. J. Phys.: Conf. Ser. 2025, 2539, 012040. [Google Scholar] [CrossRef]
  21. Ye, F.; Mao, L.; Rong, J.; Zhang, B.; Wei, L.; Wen, S.; et al. Influence of different rolling processes on microstructure and strength of the Al–Cu–Li alloy AA2195. Prog. Nat. Sci. Mater. Int. 2022, 32, 87–95. [Google Scholar] [CrossRef]
  22. Xu, X.; Deng, Y.; Guo, X.; Pan, Q. Influence of asymmetric rolling process and thickness reduction on the microstructure and mechanical properties of the Al–Mg-Si alloy. Met. Mater. Int. 2022, 28, 1620–1629. [Google Scholar] [CrossRef]
  23. Guo, W.; Yi, Y.; Huang, S.; Mao, X.; Fang, J.; Tong, D.; et al. Manufacturing large 2219 Al–Cu alloy rings by a cold rolling process. Mater. Manuf. Process. 2020, 35, 291–302. [Google Scholar] [CrossRef]
  24. Hu, H. Grain refinement of Mg–Al alloys by optimization of process parameters based on three-dimensional finite element modeling of roll casting. Trans. Nonferrous Met. Soc. China. 2013, 23, 773–780. [Google Scholar] [CrossRef]
  25. Vlach, M.; Stulikova, I.; Smola, B.; Piesova, J.; Cisarova, H.; Danis, S.; et al. Effect of cold rolling on precipitation processes in Al–Mn–Sc–Zr alloy. Mater. Sci. Eng. A. 2012, 548, 27–32. [Google Scholar] [CrossRef]
  26. Gao, Q.; Li, W.; Ren, J.; Guo, X.; Li, Q.; Lu, X.; Qiao, J. Dislocation-based mechanical responses and deformation mechanisms of Al/Cu heterointerfaces: A computational study via molecular dynamics simulations. Mod. Phys. Lett. B. 2024, 38, 2450152. [Google Scholar] [CrossRef]
  27. Chang, D.; Wang, P.; Zhao, Y. Interfacial reaction and strengthening mechanism of Cu/Al composite strip produced by asymmetrical rolling. J. Northeast. Univ. Nat. Sci. 2019, 40, 1574–1578. [Google Scholar] [CrossRef]
  28. Sun, T.; Song, W.; Shan, F.; Song, K.; Zhang, K.; Peng, C.; Sun, H.; Hu, L. Phase formation, texture evolutions, and mechanical behaviors of Al0.5CoCr0.8FeNi2.5V0.2 high-entropy alloys upon cold rolling. Prog. Nat. Sci. Mater. Int. 2022, 32, 196–205. [Google Scholar] [CrossRef]
  29. Zhang, Y.; Wang, A.; Liang, T.; Zhang, J.; Mao, Z.; Ji, J.; Xie, J.; Chang, Q.; Su, B.; Liu, S. Texture characteristics and tensile deformation behavior of Cu/Al layered composites prepared by cast-rolling method. J. Mater. Res. Technol. 2024, 29, 461–470. [Google Scholar] [CrossRef]
  30. Qi, J.; Gong, Z.; Kang, K.; Jin, I. The influence of rolling process on the texture evolution of 7150 high-strength aluminum alloy sheet. Shanghai Met. 2019, 41, 59–65. [Google Scholar]
  31. Huang, Y.; Liu, X.; Liu, Y.; Yang, C.; Qiu, T. Effect of rolling process on mechanical properties of 2219 aluminum alloy plate. Hot Work. Technol. 2016, 45, 1–4. [Google Scholar]
  32. Zhao, L.; Chapuis, A.; Xin, Y.; Liu, Q. VPSC-TDT modeling and texture characterization of the deformation of a Mg-3Al-1Zn plate. J. Alloys Compd. 2017, 710, 159–165. [Google Scholar] [CrossRef]
  33. Chen, S.; Song, H.; Zhang, S.; Cheng, M.; Lee, M. Effect of shear deformation on plasticity, recrystallization mechanism and texture evolution of Mg–3Al–1Zn alloy sheet: Experiment and coupled finite element-VPSC simulation. J. Alloys Compd. 2019, 805, 138–152. [Google Scholar] [CrossRef]
  34. Graça, A.; Vincze, G.; Wen, W.; Butuc, M.C.; Lopes, A.B. Numerical Study on Asymmetrical Rolled Aluminum Alloy Sheets Using the Visco-Plastic Self-Consistent (VPSC) Method. Metals. 2022, 12, 979. [Google Scholar] [CrossRef]
  35. Zhang, L.; Luan, S.; Yuan, S.; Wang, J.; Chen, L.; Jin, P. Microstructure Evolution and Deformation Behavior of Extruded Mg-5Al-0.6 Sc Alloy during Room and Elevated Temperature Tension Revealed by Ex-Situ EBSD and VPSC. Materials. 2023, 16, 4534. [Google Scholar] [CrossRef]
  36. Chen, X.; Cai, Q.; Xie, B.; Yun, Y.; Zhou, Z. Simulation of microstructure evolution in ultra-heavy plates rolling process based on Abaqus secondary development. Steel Res. Int. 2018, 89, 1800409. [Google Scholar] [CrossRef]
  37. Bagheripoor, M.; Bisadi, H. Effects of rolling parameters on temperature distribution in the hot rolling of aluminum strips. Appl. Therm. Eng. 2011, 31, 1556–1565. [Google Scholar] [CrossRef]
  38. Jablonski, P.D.; Hawk, J.A. Homogenizing advanced alloys: thermodynamic and kinetic simulations followed by experimental results. J. Mater. Eng. Perform. 2017, 26, 4–13. [Google Scholar] [CrossRef]
  39. Abvabi, A.; Rolfe, B.; Hodgson, P.; Weiss, M. The influence of residual stress on a roll forming process. Int. J. Mech. Sci. 2015, 101, 124–136. [Google Scholar] [CrossRef]
  40. Yang, Z.Y.; Zhang, D.; Nie, G.C.; Ding, H.; Zhang, X.M. In-situ imaging approach for investigating residual stress formation in rolling process. Int. J. Mech. Sci. 2023, 248, 108220. [Google Scholar] [CrossRef]
  41. Allegri, G.; Giorleo, L.; Ceretti, E.; Giardini, C. Driver roll speed influence in ring rolling process. Procedia Eng. 2017, 207, 1230–1235. [Google Scholar] [CrossRef]
  42. Wang, B.; Hu, W.; Kong, L.; Hodgson, P. The influence of roll speed on the rolling of metal plates. Met. Mater. 1998, 4, 915–919. [Google Scholar] [CrossRef]
  43. Kojima, S.; Yokoyama, A.; Komatsu, M.; Kiritani, M. High-speed deformation of aluminum by cold rolling. Mater. Sci. Eng. A. 2003, 350, 81–85. [Google Scholar] [CrossRef]
  44. Zhang, L.; Bian, T.; Li, H.; Yang, X.; Lei, C. Stress relaxation aging of 7050 aluminum alloy under elastic and plastic loadings: A perspective from the geometrically necessary dislocations. J. Alloys Compd. 2025, 1010, 177066. [Google Scholar] [CrossRef]
  45. Zheng, J.; Pan, R.; Li, C.; Zhang, W.; Lin, J.; Davies, C.M. Experimental investigation of multi-step stress-relaxation-ageing of 7050 aluminium alloy for different pre-strained conditions. Mater. Sci. Eng. A. 2018, 710, 111–120. [Google Scholar] [CrossRef]
  46. Gurrutxaga–Lerma, B.; Verschueren, J.; Sutton, A.P.; Dini, D. The mechanics and physics of high-speed dislocations: a critical review. Int. Mater. Rev. 2021, 66, 215–255. [Google Scholar] [CrossRef]
  47. Yasunaga, K.; Iseki, M.; Kiritani, M. Dislocation structures introduced by high-speed deformation in bcc metals. Mater. Sci. Eng. A. 2003, 350, 76–80. [Google Scholar] [CrossRef]
  48. Kiritani, M. Analysis of high-speed-deformation-induced defect structures using heterogeneity parameter of dislocation distribution. Mater. Sci. Eng. A. 2003, 350, 63–69. [Google Scholar] [CrossRef]
  49. Mazilkin, A.; Straumal, B.; Rabkin, E.; Baretzky, B.; Enders, S.; Protasova, S.; et al. Softening of nanostructured Al–Zn and Al–Mg alloys after severe plastic deformation. Acta Mater. 2006, 54, 3933–3939. [Google Scholar] [CrossRef]
  50. Liu, M.P.; Roven, H.J.; Murashkin, M.Y.; Valiev, R.Z.; Kilmametov, A.; Zhang, Z.; et al. Structure and mechanical properties of nanostructured Al–Mg alloys processed by severe plastic deformation. J. Mater. Sci. 2013, 48, 4681–4688. [Google Scholar] [CrossRef]
  51. Kupidura, P.; Górski, K.; Jeżowska, W.; Jankowska, A. Analysis of impact of an edge effect on efficacy of selected texture analysis methods. Teledet. Środow. 2015, 53, 15–26. [Google Scholar]
  52. Chen, B.; Zhu, L.; Xin, Y.; Lei, J. Grain rotation in plastic deformation. Quantum Beam Sci. 2019, 3, 17. [Google Scholar] [CrossRef]
  53. Scheriau, S.; Pippan, R. Influence of grain size on orientation changes during plastic deformation. Mater. Sci. Eng. A. 2008, 493, 48–52. [Google Scholar] [CrossRef]
  54. Yao, X.; Zajac, S. The strain-rate dependence of flow stress and work-hardening rate in three Al-Mg alloys. Scand. J. Metall. 2000, 29, 101–107. [Google Scholar] [CrossRef]
  55. Lademo, O.G.; Engler, O.; Benallal, A.; Hopperstad, O.S. Effect of strain rate and dynamic strain ageing on work-hardening for aluminium alloy AA5182-O. Int. J. Mater. Res. 2012, 103, 1035–1041. [Google Scholar] [CrossRef]
  56. Wang, Q.; Shankar, R.M.; Liu, Z. Visco-plastic self-consistent modeling of crystallographic texture evolution related to slip systems activated during machining Ti-6AL-4V. Mater. Sci. Eng. A. 2021, 853, 157336. [Google Scholar] [CrossRef]
Figure 1. Room-temperature true stress–strain curve of the Al–Cu–Sc alloy sheet used for constitutive modeling.
Figure 1. Room-temperature true stress–strain curve of the Al–Cu–Sc alloy sheet used for constitutive modeling.
Preprints 182544 g001
Figure 2. Finite element simulation and experimental setup: (a) rolling mill model; (b) finite element mesh scheme; (c) laboratory rolling setup.
Figure 2. Finite element simulation and experimental setup: (a) rolling mill model; (b) finite element mesh scheme; (c) laboratory rolling setup.
Preprints 182544 g002
Figure 3. (a) Stress distribution during the entry stage under different rolling speeds; (b) Stress distribution during the entry stage under different feeding rates.
Figure 3. (a) Stress distribution during the entry stage under different rolling speeds; (b) Stress distribution during the entry stage under different feeding rates.
Preprints 182544 g003
Figure 4. (a) Stress distribution during the deformation stage under different rolling speeds; (b) Stress distribution during the deformation stage under different feeding rates.
Figure 4. (a) Stress distribution during the deformation stage under different rolling speeds; (b) Stress distribution during the deformation stage under different feeding rates.
Preprints 182544 g004
Figure 5. Stress distribution during two-pass rolling at different rolling speeds.
Figure 5. Stress distribution during two-pass rolling at different rolling speeds.
Preprints 182544 g005
Figure 6. (a) Stress distribution at the exit stage under different rolling speeds; (b) Stress distribution at the exit stage under different feeding rates.
Figure 6. (a) Stress distribution at the exit stage under different rolling speeds; (b) Stress distribution at the exit stage under different feeding rates.
Preprints 182544 g006
Figure 7. Stress distribution at the exit stage under two-pass rolling.
Figure 7. Stress distribution at the exit stage under two-pass rolling.
Preprints 182544 g007
Figure 8. Equivalent stress at the leading edge of the sheet: (a) under different feeding rates; (b) under different rolling speeds.
Figure 8. Equivalent stress at the leading edge of the sheet: (a) under different feeding rates; (b) under different rolling speeds.
Preprints 182544 g008
Figure 9. Equivalent stress at the leading edge within the sheet interior during rolling: (a) under different feeding rates; (b) under different rolling speeds.
Figure 9. Equivalent stress at the leading edge within the sheet interior during rolling: (a) under different feeding rates; (b) under different rolling speeds.
Preprints 182544 g009
Figure 10. Equivalent plastic strain distribution at entry: (a) varying rolling speeds; (b) varying feeding rates.
Figure 10. Equivalent plastic strain distribution at entry: (a) varying rolling speeds; (b) varying feeding rates.
Preprints 182544 g010
Figure 11. PEEQ distribution during forming: (a) different rolling speeds; (b) different feeding rates; (c) two-pass schedules at different rolling speeds.
Figure 11. PEEQ distribution during forming: (a) different rolling speeds; (b) different feeding rates; (c) two-pass schedules at different rolling speeds.
Preprints 182544 g011
Figure 12. PEEQ in the final product: (a) different rolling speeds; (b) different feeding rates.
Figure 12. PEEQ in the final product: (a) different rolling speeds; (b) different feeding rates.
Preprints 182544 g012
Figure 13. Rolling force during sheet forming under different rolling speeds.
Figure 13. Rolling force during sheet forming under different rolling speeds.
Preprints 182544 g013
Figure 14. Rolling force during sheet forming under different feeding rates.
Figure 14. Rolling force during sheet forming under different feeding rates.
Preprints 182544 g014
Figure 15. Rolling force under different differential speed ratios.
Figure 15. Rolling force under different differential speed ratios.
Preprints 182544 g015
Figure 16. Sheets prepared under different rolling speeds.
Figure 16. Sheets prepared under different rolling speeds.
Preprints 182544 g016
Figure 17. IPF and KAM maps under different rolling speeds: (a,b) low; (c,d) medium; (e,f) high.
Figure 17. IPF and KAM maps under different rolling speeds: (a,b) low; (c,d) medium; (e,f) high.
Preprints 182544 g017
Figure 18. Experimental (left) and VPSC-simulated (right) pole figures at different rolling speeds: (a,b) low; (c,d) medium; (e,f) high.
Figure 18. Experimental (left) and VPSC-simulated (right) pole figures at different rolling speeds: (a,b) low; (c,d) medium; (e,f) high.
Preprints 182544 g018
Table 1. Physical properties of the Al–Cu–Sc alloy.
Table 1. Physical properties of the Al–Cu–Sc alloy.
Density Young’s Modulus Poisson’s Ratio Thermal Conductivity Yield Strength
(g·cm−3) (GPa) (—) (W/(m·K)) (MPa)
2.85 73 0.33 173 325
Disclaimer/Publisher’s Note: The statements, opinions and data contained in all publications are solely those of the individual author(s) and contributor(s) and not of MDPI and/or the editor(s). MDPI and/or the editor(s) disclaim responsibility for any injury to people or property resulting from any ideas, methods, instructions or products referred to in the content.
Copyright: This open access article is published under a Creative Commons CC BY 4.0 license, which permit the free download, distribution, and reuse, provided that the author and preprint are cited in any reuse.
Prerpints.org logo

Preprints.org is a free preprint server supported by MDPI in Basel, Switzerland.

Subscribe

Disclaimer

Terms of Use

Privacy Policy

Privacy Settings

© 2026 MDPI (Basel, Switzerland) unless otherwise stated