Preprint
Article

This version is not peer-reviewed.

Affordable Housing and the Families' Need Dilemma

A peer-reviewed article of this preprint also exists.

Submitted:

01 October 2025

Posted:

13 October 2025

You are already at the latest version

Abstract
Affordable housing has evolved to meet the difficulties of increased demand by offering acceptable living spaces for middle/low-income families and facilitating access to housing units based on their annual income.This research seeks to investigate the relationship between housing spacing standards and family desire for affordable multifamily housing. It sought to address the changes that were occurring in the internal spaces of multi-story housing because of the inhabitants' evolving needs. The study tried to investigate the habitability of 25 residential apartments within affordable multifamily housing compounds established in Sulaymaniyah city in Iraq over the preceding ten years. These projects aim to provide shelter for a diverse range of society, particularly low and middle-income. The study devised a method for assessing the current state of 6 housing compounds that offer a choice of apartment types for families in accordance with Iraqi housing standards. Results show that the increase in the family members was the main reason for the changes made by the family to those units. It is also found that the greater the difference from standards, the more modifications are found. The study contributes to the discourse on affordable housing in Iraq by offering empirical evidence of household-driven change.
Keywords: 
;  ;  ;  ;  

1. Introduction

Houses have evolved beyond mere shelters designed to protect against natural disasters. After centuries of relentless advancements in science, art, and technology, these structures now embody significant meanings and values, serving crucial functions that prioritize comfort, stability, and well-being for their occupants. In this light, homes reflect not only the individuals who inhabit them but also the prevailing thoughts and cultural inspirations that have influenced their creation.
In this context, houses function as mirrors, reflecting both personal identity and the collective aspirations that shape architectural design. They encapsulate the identities, ambitions, and cultural narratives of the families, showcasing the evolution of civilization and providing insights into the beliefs and creative expressions of humanity. Thus, homes stand as enduring testaments to the family journey, emphasizing how human beings organize and adapt the environment to fulfil their fundamental needs for safety, comfort, and self-expression.
Housing is fundamentally a biological necessity for all humans; no social activity, such as initiating a new family, can be effectively and sustainably accomplished without a suitable residence. An and colleges [1] demonstrated in their review an expanding body of evidence that underscores the significant role of environmental and physical qualities in facilitating familial relationships and influencing family development. Moreover, all legal frameworks affirm that adequate housing is an inherent human right guaranteed by constitutions and enshrined in the Universal Declaration of Human Rights (UDHR) [2].
A home is a true reflection of a family’s needs, aspirations, and resources. When a dwelling fails to provide these essentials, families may seek alternative housing that fulfils their requirements [3]. If relocation is not feasible due to limited resources, families often resort to modifications to tailor their living space to their needs. Such adaptations are frequently observed in affordable housing, where financial constraints limit the ability to replace existing homes. Additionally, family requirements evolve according to life cycles and shifting needs, necessitating adjustments to available living spaces [4].
This paper seeks to explore the modifications occurring within affordable multifamily housing to better understand its nature and patterns. It will examine also the relationship between the modifications families made to their dwellings and the characteristics of the spaces provided according to housing standards. The following objectives will guide this investigation:
1. To examine the extent and types of changes undertaken by families in affordable multifamily housing units.
2. To evaluate the relationship between deviations from Iraqi housing space standards and the frequency of household-driven changes.
3. To analyze how family size, lifestyle needs, and housing design limitations influence spatial modifications.
4. To propose recommendations for revising affordable housing standards and incorporating adaptability into design policies.

2. Literature Review

2.1. Adaptability and Affordability

The ability to adapt interior spaces within a dwelling is vital for residents to accommodate their evolving needs over time. While [5] underscores the importance of maintaining alignment between space utilization and the original architectural intent, modifications can potentially compromise the overall functionality and efficiency of the home. Designing housing with flexibility in mind can contribute to greater sustainability by lessening the frequency of household moves and promoting more efficient land utilization. Conversely, unregulated urban sprawl, frequently driven by large-scale housing projects, can intensify resource use and environmental deterioration [6].
As housing development continues to be a significant driver of economic activity, it is crucial to carefully consider its environmental and social consequences. Scholarly work has demonstrated the influence of standards in shaping housing policies globally [7,8]. Regularly reviewing and adjusting these standards, based on evolving economic, social, and environmental factors, is essential to ensure the comfort, safety, and well-being of occupants [9,10,11].
Currently, many housing plans prioritize affordable housing, although the definition of "affordable" varies significantly across jurisdictions [12]. For instance, in some areas, it may apply to households earning up to 80 percent of the regional median income, while in others, the threshold could be as high as 120 percent or as low as 50 percent. Notably, households earning less than 50 percent of the regional median income are most likely to experience inadequate housing conditions and are least likely to have their housing needs met by the private market [13].
Affordability is a central theme in the international housing discourse. Despite ongoing debates regarding the precise definition of affordability, the identification of those facing an affordability crisis, and even the utility of the term itself, it has increasingly influenced government policies worldwide in recent years [13]. A common understanding of affordable housing is that it is housing reasonably adequate in standard and location for lower- or middle-income households, the cost of which does not unduly burden their ability to meet other essential needs sustainably [14].
Adaptability within houses often involves short-term modifications. Over time, a specific dwelling is adjusted to accommodate the changing requirements of its residents. This aspect considers both: the user’s domain, through the changing of functional and psychological needs and their variations over time (e.g., shifts in lifestyle) [4,15,16], and the functional domain, which translates needs into design requirements [17]. As a result, adaptability is a crucial aspect in the process of designing affordable housing, as the family living in such dwellings does not have enough income to transfer to another if their needs change.

2.2. Modifications Housing Unit

The literature on housing uses many terms to describe the alterations that impact the spatial design of residential units (e.g., changeability, flexibility, adaptability, etc.). Regardless of the differing interpretations of these terms and their application in relevant studies, as well as the specific cases and residential patterns they examine, all indicate that the residential unit is subject to transformation and adaptation over time to meet the needs of its inhabitants [18]. Ismail has identified four reasons behind the need for modifying the housing units [19]:
  • Changes in family size require space.
  • Changes in lifestyle: including socioeconomic status, values, and aspirations
  • Changes in equipment, appliances, and furniture.
  • Variable characteristics of family members’ activities in the housing unit.
Accordingly, Itma distinguished five aspects for addressing the adaptability of affordable housing design [20]:
  • Merging: Combining two or more spaces to create a larger, more flexible area. This can facilitate changes in spatial usage as needed.
  • Division: Designing a large, adaptable space that can be partitioned into smaller spaces to accommodate various needs.
  • Growth: Expanding the housing unit beyond its current boundaries, potentially utilizing underused outdoor areas. This is more limited in multi-story buildings, where options are restricted to balconies, logia, and shared ground-floor common areas.
  • Changing Use: Modifying the use of existing spaces to accommodate evolving household needs, which may not necessarily involve an increase in family members.
  • Multiuser: Combining multiple functions within a single space to optimize space efficiency and reduce the overall size of the unit.
In this context, and because multifamily housing units cannot permit numerous changes due to area and structural limitations, services, and shared spaces, two types of modifications can be recognized [21]:
  • Soft modification: involves changes that do not impact the internal spatial arrangement (e.g., modifying the utilization of space, adding or removing spatial barriers with readily detachable partitions such as furniture and drapes, or repurposing a space for multiple functions).
  • Hard modifications: these involve changes to the internal spatial arrangement (e.g., amalgamating or partitioning areas by wholly or partially eliminating walls or augmenting the residential unit with additions such as balconies or segments of communal spaces).
The capacity for modification of a residential unit is fundamentally associated with the construction type, structural system, and spatial distribution pattern.

2.3. Housing Crises in Iraq

Iraq has grappled with a severe housing crisis for decades, stemming from a confluence of factors including natural disasters, political instability, economic downturn, security threats, and poor urban planning [22]. The country’s infrastructure, particularly its housing sector, has been decimated by years of conflict and mismanagement.
The demand for housing has surged due to rapid population growth, internal migration, and overcrowding [23]. Limited investment in the residential sector has led to a scarcity of housing units, driving up prices and making affordable housing a luxury for many low-income families [24]. As a result, many families have resorted to living in substandard apartments, often lacking basic amenities [25].
The inadequacy of these housing units is further exacerbated by overcrowding and the evolving needs of residents [26]. The United Nations Human Settlements Program (UN-Habitat) has emphasized the need for "decent housing" for all Iraqis, which includes adequate space, protection, and access to essential services [24].
As of 2016, Iraq faced a housing shortage of over 2 million units, a figure that continues to escalate due to the absence of comprehensive housing policies [27,28]. In response to this crisis, a series of residential projects have been initiated to provide housing for middle- and low-income families [27]. However, these projects often prioritize economic and investment considerations over the actual needs of residents [29]. This has resulted in housing units that compromise functional habitability and prioritize design and profit over the well-being of occupants [30].
The current housing market, dominated by government and private construction companies, prioritizes profit over consumer satisfaction and housing policy. This system allows investment companies to maximize profits at minimal cost, while the government benefits from land sales and the bond market. Consequently, many Iraqis are left with housing that does not meet their needs and expectations [30].

The Iraqi Housing Standards

Standards for residential development often address several parts or stages of the development process. They may include planning standards, design standards, space requirements, and technical construction standards [31]. All these requirements are critical as a means of judging the quality of physical construction integrity, as well as the psychological wellness fostered by housing development. Space standards can be characterized as a set of frameworks that specify fixed internal space minimums. Basic guidelines control the amount of living space that must be provided, the minimum permitted ceiling heights, ventilation and lighting requirements, and so on [32]. Design standards typically address the minimal needs for the spaces or rooms to work well, such as the water retention system, electrical and gas installation, internal wiring for telephone, sanitary waste disposal system, health and safety, security, and plumbing fixtures.
A well-designed home should provide adequate space to accommodate the various activities of its occupants. Sufficient space is crucial for ensuring comfort, functionality, and overall quality of life. Space standards, established by many countries, outline specific requirements for overall area, room dimensions, and layout to achieve these objectives. The development of effective space standards offers numerous benefits [7,32]:
  • Improved Health and Well-being: Overcrowding can lead to various health issues, including increased risk of interpersonal violence, psychological disorders, and physical illness. Adequate space can contribute to better mental and physical health.
  • Enhanced Social Stability: Homes that are too small to accommodate the needs of occupants can lead to social problems, such as family conflict and negative social behaviors.
  • Adaptability to Changing Needs: As families grow and lifestyles evolve, flexible housing designs can accommodate these changes. Smaller homes, however, may lack the necessary space for future adaptations.
  • Increased Property Value: Well-designed homes with adequate space tend to be more attractive to buyers and renters, leading to higher property values.
Standardization and quality control in housing are essential for creating sustainable communities. While housing is a significant environmental factor, institutions have been slow to address the environmental implications of housing design and construction [33].
Previous studies have highlighted several issues related to the spatial organization and flexibility of Iraqi housing. [23] and [34] emphasize the challenges of accommodating changing family needs within the constraints of standardized housing designs. [36] discuss the limitations of pre-designed housing typologies in addressing diverse consumer preferences and requirements.
The legacy of the Polservice housing standards, developed in the 1980s, underscores the importance of comprehensive and well-implemented housing policies [30]. While these standards were not fully adopted, they provide valuable insights into the challenges and opportunities in Iraqi housing development.
The Iraqi Urban Housing Standards Manual (UHSM), introduced in 2010 by the Ministry of Housing and Construction, aims to establish a framework for adequate housing in Iraq [36]. The manual provides essential guidelines for planning, designing, and constructing residential compounds [36]. However, the effectiveness of these standards in ensuring the habitability of Iraqi housing remains a subject of debate. The (UHSM) outlines criteria for habitable dwelling areas, emphasizing the importance of maximizing the ratio of habitable to non-habitable space. This approach aims to optimize the efficiency of floor area utilization. However, the rigid application of these standards may not always align with the diverse needs and preferences of Iraqi families [36].
A significant challenge in Iraq’s housing sector is the lack of a robust system for developing, implementing, and enforcing building standards. Government agencies and the private sector often operate without a clear regulatory framework, leading to inconsistencies in quality and habitability. The Ministry of Housing and Construction’s efforts to develop a new building code are a step in the right direction, but more comprehensive and enforceable regulations are needed. The latest version of the Urban and Rural Housing Standards (URHS) was released by the Ministry of Construction and Housing in January 2018 [37]. Despite the efforts made to amend the standards and make them suitable for the Iraqi family, these directives still lack a clear and comprehensive vision of what low-income families should be doing.
The updated Urban and Rural Housing Standards Handbook has classified residential units of multifamily housing (apartments) according to the number of beds and the number of occupants [37]. Thus, it has distinguished twelve types of units and provided the minimum amount of activity space that these units must contain to ensure appropriate use by the family (Table 1).

3. Case Study

Sulaymaniyah is an Iraqi city located in north-eastern Iraq and belongs to the Kurdistan Region (Figure 1), occupying an area of 3404 sq km, with a population of more than one million [38].
The local government began investing in the housing sector, and dozens of new housing compounds have appeared in the city since 2000. Despite the many residential investment projects that were completed after 2003, most of these projects took on a luxurious character due to the desire of investors to increase their returns from this investment, and few of those projects were characterized by affordable housing for people with medium and limited income. The research was keen to select diverse residential compounds to ensure diversity in residential apartment layouts. A set of criteria was followed to select the case study:
  • The residential compounds must be multi-story residential buildings within the urban area.
  • They must be low-cost, making them suitable for purchase by low- and medium-income families.
  • They must have been occupied for more than ten years, allowing families to modify or alter the spaces based on changing needs.
  • They must contain residential units that have been modified by their occupants and can be seen in whole or in part.
Accordingly, six residential projects have been chosen in the city of Sulaymaniyah to guarantee a diversity of types and space configurations. Those compounds were Rozh City, Kurd City 1, Roshnbiran City, Saib City, Asoy Gash City and Nali City (Table 2).

3.1. Research Design and Methodology

To achieve the research objectives, a sample of twenty-five residential apartments was randomly selected across the six compounds. Changes in the internal spaces were observed and specified according to the following categories (Table 3).
The research data were collected and processed in four phases:
Phase one: Involves determining the sort of changes occurring within the residential unit via site visits and documenting these changes using AutoCAD program drawings (Figure 2).
Phase two: Calculating the sum of changes by using the following formula (Table 4):
sum of changes = C1+C2+C3+…. +Cn
As C = the change that is noticed in the residential unit, according to the categories shown in Table 3.
Phase three: Calculating the occupied space area of the residential unit according to the following categories:
  • Habitable area: including all living areas, bedrooms, dining, studying rooms and home office
  • Non-habitable area: including all kitchen, WC, bathrooms, laundry, storage, and circulation area.
  • Open area: including all balconies.
Phase four: Calculating the variance between the real situations against the standard area proposed by (URHS) negatively or positively for each residential unit according to the above categories.
Phase five: Involves calculating the linear Pearson correlation between the summation of noticeable changes and the variance from the standards by category.
Completing the above stages required the assistance of several volunteers, comprised of fourth-year students from the Department of Architecture at Cihan University, Sulaymaniyah. These procedures were completed between February and April 2025. The students participated in a semester focused on housing and received four comprehensive lectures on the necessary information and methods for its acquisition. Table 4 shows a sample of information from ten residential units out of a total of twenty-five samples.
The areas were evaluated against the standards outlined by the (URHS, 2018) to identify the extent of their variation, considering that the comparison was conducted with the area of the units relative to the number of occupants in the residential unit under examination.

4. Results and Discussion

The apartment configuration (Type, which represents the family size and number of occupants) has a major impact on the overall number of alterations and the consequent area deviations (Table 5).
The 3BR/7P apartments, on average, have the highest number of total changes (∑C≈6.33) and the largest positive variation for both Habitable Area (H.A. V≈14.14) and Open Area (O.A. V≈3.21). The 3BR/5P apartments show the largest average non-habitable area deficit (N.H.A. V≈−10.63). The 2BR/3P apartments have the lowest means of total changes (∑C=3.00) and are the only type with an average habitable area below the standard (H.A. V=−2.50).
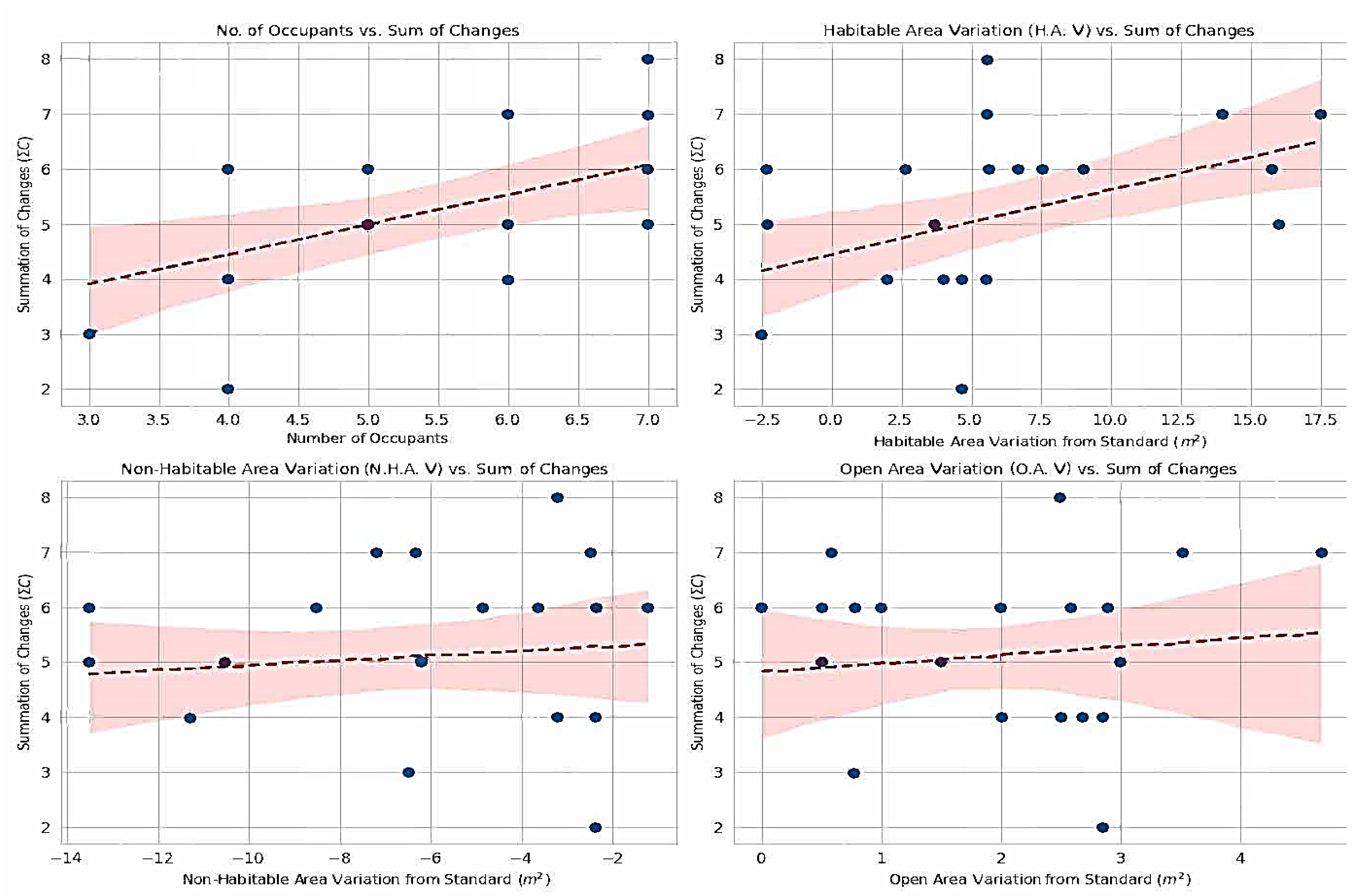
The correlation matrix (Table 6) reveals several key relationships between the total number of changes (∑C) and the three types of area variation. Apartments with a larger-than-standard habitable area tend strongly to have also a larger-than-standard open area. A higher number of total changes in an apartment is moderately associated with a larger habitable area compared to the standard. Most apartments surveyed have an actual non-habitable area that is less than the standard, leading to an overall negative deviation (Figure 3).
Correlation plots (Figure 3) between variables describe the noticeable relationship between the number of changes in housing units and the spatial variation from the standards. These changes have a constant relationship with both the number of occupants and the variation in habitable areas.

5. Conclusions

Studies highlight the importance of establishing regulations and standards for shared residential structures. They emphasize also the significance of regularly revising these standards to accommodate changing family needs and society’s trends.
This is in the context of identifying modifications that families might make to the internal configuration of their residential units to better meet their requirements and minimize random and unplanned encroachment in these units.
The practical study conducted on twenty-five residential units in different affordable residential compounds in the city of Sulaymaniyah showed that the increase in the number of family members inhabiting residential units was the main reason for the changes made by the family to those units in order to provide basic spaces for its members. The study revealed also that the discrepancy in the size of habitable spaces compared to those specified by the standards was the strongest motivation for implementing these changes, regardless of the potential deterioration in the internal environment of the housing unit. The family frequently utilizes the habitable areas for dual functions, with the living room allocated for one member’s sleeping at night. At the same time, the non-habitable areas and open areas did not undergo a large amount of change because they were already small and could not withstand modifications. However, that did not prevent the family from resorting to encroaching upon them (such as changing one of the bathrooms into storage rooms or closing the balcony to utilize it as a living space) to suit their requirements.
Middle- and low-income families require substantial living spaces due to their larger household sizes, necessitating additional room over time to accommodate their expanding needs, particularly as they face challenges in upgrading to larger residences. Consequently, the continuous reassessment and enhancement of housing standards is essential in a nation like Iraq, which experiences evolving demands. When finalizing designs for these societal sectors, it is imperative to account for the substantial flexibility that the overarching layout must possess, enabling residents to implement necessary alterations for their livelihoods without compromising the livability of the unit.

Acknowledgments

The researchers express gratitude to all fourth-year students from the Department of Architecture at Cihan University, Sulaymaniyah for their contributions in gathering and structuring the information. They extend their gratitude to the families residing in the studied units and to the administration of the residential compounds for their cooperation and assistance in the information collection process.

Conflicts of Interest

The authors declare no conflicts of interest.

References

  1. An, B. Y., Bostic, R. W., Jakabovics, A., Orlando, A. W., & Rodnyansky, S., Small and medium multifamily housing: affordability and availability. Housing Studies (2020), 37(7), 1274–1297. [CrossRef]
  2. Smith, S. G., The essential qualities of a home. Journal of Environmental Psychology, (1994). 14(1), 31–46. [CrossRef]
  3. Available online: https://www.un.org/en/about-us/universal-declaration-of-human-rights. (accessed on 15 May-2025).
  4. Friedman, A., Life Cycle Homes for Adaptability, Circularity, and Sustainability. Architecture 2025, 5(22), 2-22. [CrossRef]
  5. Thornock, C., Nelson, L., Porter, C., & Evans, C. There’s no place like home: The associations between residential attributes and family functioning. Journal of Environmental Psychology. (2019). Vol. 64, 39-47. [CrossRef]
  6. Yakob, H., Yusof, F., & Hamdan, H. Expert Views on Strategies in Ensuring Effectiveness of Housing Planning and Control Activities. Asian Journal of Behavioural Studies. (2018). 3(13). 68-77. [CrossRef]
  7. Pedro, J. How small can a dwelling be? A revision of Portuguese building regulations. Structural Survey, (2009). 27(5), 390–410. [CrossRef]
  8. Gallent, N., Madeddu, M., & Mace, A. Internal housing space standards in Italy and England. Progress in Planning (2010). 74(1), 1–52. [CrossRef]
  9. Hooper, A., & Nicol, C. The design and planning of residential development: standard house types in the speculative housebuilding industry. Environment and Planning B: Planning and Design (1999). 26(6), 793–805. [CrossRef]
  10. Allen, J., Barlow, J., Leal, T., Maloutas, T. & Padovani, L. Housing and Welfare in Southern Europe. (2004). Blackwell Publishing Ltd., Delhi. India. ISBN: 9781405103077.
  11. Thabit, N. M., Yonis, G. M., & Aldewachi, M. H. Factors Affecting the Occupation Deviation of Dwelling Units Spaces in New Districts in Mosul. AL-Rafdain Engineering Journal (AREJ) (2007). 15(4), 62–79. [CrossRef]
  12. Heylen, K. Measuring housing affordability. A case study of Flanders on the link between objective and subjective indicators. Housing Studies (2021). 38(4), 552–568. [CrossRef]
  13. Padley, M., Marshall, L., & Valadez-Martinez, L. Defining and measuring housing affordability using the Minimum Income Standard. Housing Studies (2019). 34(8), 1307–1329. [CrossRef]
  14. Anih, E., Sam-Amobi, C., Okere, C., Odoh, P., Andy, N., Onubeze, I., and Ugwu, C. Design adaptability as a tool for achieving affordable housing in developing economies. 1st International Conference on Sustainable Infrastructural Development, (2019). [CrossRef]
  15. Stoiljković, B., Grozdanović, N., Jovanović. G. Individualization Concept in Housing Architecture. Facta Universities Series: Architecture and Civil Engineering (2015). 13(3), 207–218. [CrossRef]
  16. Magdziak, M. Flexibility and Adaptability of the Living Space to the Changing Needs of Residents. IOP Conference Series. Materials Science and Engineering, (2019). 471(7). [CrossRef]
  17. Cellucci, C. and Di Sivo, M. The Flexible Housing: Criteria and Strategies for Implementation of the Flexibility. Journal of Civil Engineering and Architecture, (2015). Vol. 9. 845-852. [CrossRef]
  18. Estaji, H., A Review of Flexibility and Adaptability in Housing Design. International Journal of Contemporary Architecture “The New ARCH “. (2017). 4(2), 37-49 . [CrossRef]
  19. Ismail, Z. Spatial Flexibility in Housing: Establishing a Conceptual Framework for Adaptive Design Model. Journal of Advanced Research Design (2024). 122(1), 163–172. [CrossRef]
  20. Itma, M. (2019). Strategies of Adaptability: An Approach for Affordable Housing Design. European Journal of Advances in Engineering and Technology, 6(10),1-6. [CrossRef]
  21. Till, J., Schneider T. Flexible housing: the means to the end. Architectural Research Quarterly (2005). 9(3-4). 287-296. http://doi.org/10.1017/S1359135505000345.
  22. Jumaah, I. K., Mesrop, S. S., & Mohammed, T. J. The reasons and proposed treatments for the housing problem in Iraq. IOP Conference Series. Materials Science and Engineering (2020). 881(1). [CrossRef]
  23. Al-Hafith, O., Satish, B., & Wilde, P. (2021). A Review of the Iraqi Housing Sector Problems. 2nd International Conference on Architectural and Civil Engineering 2020. Cihan University-Erbil -IRAQ. [CrossRef]
  24. United Nations Human Settlements Program (UN-HABITAT), IRAQ NATIONAL HOUSING POLICY-October 2010. Baghdad-IRAQ. Available online: https://www.humanitarianlibrary.org/resource/iraq-national-housing-policy-october-2010-0 (accessed on 18 May 2025).
  25. Abo-Kallal, D. The problem of the housing crisis in Iraq and the proposed solutions (Challenges of attracting public housing projects — a case study). Al-Ghary Journal of Economic and Administrative Sciences, (2015). 11(34), 202-227. [CrossRef]
  26. Al-Sebahy, R. F. Housing Crisis Management in Iraq, Al-Diwaniyah Governorate as a Sample, MSc. Dissertation submitted to the College of Administration and Economics at the University of Qadisiyah, Iraq. (2018).
  27. UN-Habitat & World Bank/IFC. (2006) Iraq Housing Market Study-Main Report, Baghdad. Available online: https://www.humanitarianlibrary.org/sites/default/files/2013/05/4997_65700_IHMS_Main_Report.pdf. (accessed 21 November 2024).
  28. The Urban and Rural Housing Standard in Iraq (URHS), State Commission of Housing, Ministry of Construction & Housing-Iraq. (2018).
  29. ECOM & UN-Habitat Iraq National Housing Policy, Decentralized Strategies, and Institutional and Regulatory Reforms, April 21, 2010. Available online: https://www.moch.gov.iq/uploads/enseasatalikanalwatanyah.pdf. (accessed 12 Jan. 2024).
  30. Al-Qemaqchi, N., & Rauof, T. Assessing the habitability of single-family houses in Iraq: a case study in Sulaimaniya city. Amazonia Investiga, (2021). 10(43), 175-188. [CrossRef]
  31. Haniza, N., Rosemary, A., Ariffin, M., Sulaiman, R., & Zailani, M. Rethinking Space Design Standards Toward Quality Affordable Housing in Malaysia. MATEC Web Conf. (2016). [CrossRef]
  32. Park, J. One hundred years of housing space standards: What now? Housing spacestandards.co.uk. (2017).
  33. Franklin, B. Housing Transformations: Shaping the Space of Twenty-First Century Living (1st ed.). (2006). Routledge. [CrossRef]
  34. Al-Khafajy, A. M., Hussain, A. M., & Abood, A. A. Building performance. Iraqi Journal of Architecture and Planning, (2018). 10(1), 255–277. [CrossRef]
  35. Kadhum, M. J. Change in the Spatial Organization of the Dwelling. MSc Dissertation submitted to the Department of Architecture at the University of Technology. Baghdad. Iraq. (2020).
  36. The Urban Housing Standard Manual (UHSM), State Commission of Housing, Ministry of Construction & Housing-Iraq. (2010). Available online: https://investpromo.gov.iq/wp-content/uploads/2013/04/URBAN-HOUSING-STANDARDS.pdf. (accessed 12 Jan. 2024).
  37. The Urban and Rural Housing Standard in Iraq (URHS), State Commission of Housing, Ministry of Construction & Housing-Iraq. (2018).
  38. Kurdistan Region Statistics (KRS) (2023). Available online: https://krso.gov.krd/en/statistics/population. (accessed 15 June. 2024).
Disclaimer/Publisher’s Note: The statements, opinions and data contained in all publications are solely those of the individual author(s) and contributor(s) and not of MDPI and/or the editor(s). MDPI and/or the editor(s) disclaim responsibility for any injury to people or property resulting from any ideas, methods, instructions or products referred to in the content.
Figure 1. Sulaymaniyah City [38].
Figure 1. Sulaymaniyah City [38].
Preprints 179204 g001
Figure 2. Documentation of a sample residential unit (2-bedroom apartment) before (up) and after (down) changes.
Figure 2. Documentation of a sample residential unit (2-bedroom apartment) before (up) and after (down) changes.
Preprints 179204 g002
Figure 3. The relation between the summation of changes and other variables.
Figure 3. The relation between the summation of changes and other variables.
Preprints 179204 g003
Table 1. Minimum mandatory areas of residential unit spaces for different sizes of multifamily residential units (residential apartments) in square meters [37].
Table 1. Minimum mandatory areas of residential unit spaces for different sizes of multifamily residential units (residential apartments) in square meters [37].
Unit size by No. of beds/ No. of occupants 5Bed/
10P
5Bed/
9P
5Bed/
8P
4Bed/
8P
4Bed/
7P
3Bed/
6P
3Bed/
5P
3Bed/
4P
2Bed/
4P
2Bed/
3P
1Bed/
2P
1Bed/
1P
Living including Dining room 27.0 27.0 27.0 27.0 27.0 24.0 21.0 21.0 21.0 21.0 21.0 18.0
Kitchen 15.0 15.0 12.0 12.0 12.0 12.0 12.0 9.0 9.0 9.0 9.0 9.0
Store 7.0 7.0 7.0 7.0 6.0 6.0 4.0 3.0 3.0 3.0 2.5 2.5
Bathroom 7.0 7.0 7.0 7.0 *7.0 3.5 3.5 3.5 3.5 3.5 3.5 3.5
W.C. 2.0 2.0 2.0 2.0 2.0 2.0 2.0 2.0 2.0 2.0
Master bedroom 15.0 15.0 15.0 15.0 15.0 15.0 15.0 15.0 15.0 15.0 15.0 12.0
Double bedroom 1 12.0 12.0 12.0 12.0 12.0 12.0 12.0 12.0
Double bedroom 2 12.0 12.0 12.0 12.0 12.0 12.0
Double bedroom 3 12.0 12.0 12.0
Double bedroom 4 12.0
Single bedroom 1 9.0 9.0 9.0 9.0 9.0 9.0
Single bedroom 2 9.0 9.0
Laundry + storage area. 4.5 4.5 4.5 4.5 4.5 4.5 4.5 4.5 4.5 4.5 4.5 4.5
Study + home office area. 3.0 3.0 3.0 3.0 3.0 3.0 3.0 3.0 3.0 3.0 3.0 3.0
Net used area 128.5 125.5 119.5 113.5 109.5 94 86 79 73 70 58.5 52.5
Circulation area (15%) 12.5 12.5 11.5 10.5 10.5 9 8 8 7 7 5.5 5.5
Total area (GIA) 141 138 131 124 120 103 94 87 80 77 64 58
Total area including open area (GEA) 155 151 144 136 132 113 103 95 88 85 71 64
Table 2. Housing compounds project selection (Researcher after satellites.pro, 2024).
Table 2. Housing compounds project selection (Researcher after satellites.pro, 2024).
Preprints 179204 i001
Table 3. Noticeable changes in the residential units.
Table 3. Noticeable changes in the residential units.
Code Type of Change No.
C1 Adding a new partition/wall
C2 Removing of partition/wall
C3 Changing of the indoor space
C4 Subdividing of a single space
C5 Multiple uses of the same space
C6 Closing balcony (add-on)
C7 Trespassing on common spaces(add-on)
C8 Using space for different purposes
Table 4. A summary of data collected for a total of 10 samples of residential units.
Table 4. A summary of data collected for a total of 10 samples of residential units.
Sample
no
Flat
type
Type of change Sum Total H.A. Total none H.A. Total O.A.
C1 C2 C3 C4 C5 C6 C7 C8
1 2 BR 1 0 0 0 0 1 0 0 2 52.35 31.36 5.15
2 2BR 1 0 0 0 0 1 1 0 3 50.50 35.50 7.23
3 3BR 0 1 1 0 1 0 1 1 5 62.32 47.52 8.50
4 3BR 1 1 0 0 0 1 1 0 4 64.00 48.32 7.32
5 2BR 0 0 1 1 1 1 1 1 6 48.00 32.63 5.11
6 2BR 1 1 1 1 1 0 0 1 6 54.35 37.52 8.00
7 3BR 1 1 1 1 0 1 1 1 7 64.00 48.32 7.32
8 2 BR 1 1 0 0 0 1 0 1 4 52.35 31.36 5.15
9 3BR 0 1 1 0 1 0 1 1 5 62.32 47.52 8.50
10 3BR 1 1 1 0 1 0 1 1 6 62.32 47.52 8.50
Table 5. The mean value of the tested variables.
Table 5. The mean value of the tested variables.
Type Mean Total Changes (∑C) Mean H.A. V Mean N.H.A. V Mean O.A. V
3BR/7P 6.33 14.14 −4.46 3.21
2BR/5P 6.00 5.65 −3.63 1.00
3BR/5P 5.67 0.97 −10.63 0.59
2BR/4P 5.00 5.71 −3.22 2.10
3BR/6P 4.67 3.79 −7.79 1.99
2BR/3P 3.00 −2.50 −6.50 0.77
Table 6. Correlation between variables.
Table 6. Correlation between variables.
∑C No of Occupant H.A. V N.H.A. V O.A. V
∑C Pearson Correlation 1 .501* .484* .109 .119
Sig. (2-tailed) .011 .014 .604 .572
No of Occupant Pearson Correlation .501* 1 .673** -.052 .548**
Sig. (2-tailed) .011 .000 .806 .005
H.A. V Pearson Correlation .484* .673** 1 .484* .700**
Sig. (2-tailed) .014 .000 .014 .000
N.H.A. V Pearson Correlation .109 -.052 .484* 1 .378
Sig. (2-tailed) .604 .806 .014 .062
O.A. V Pearson Correlation .119 .548** .700** .378 1
Sig. (2-tailed) .572 .005 .000 .062
*. Correlation is significant at the 0.05 level (2-tailed).
**. Correlation is significant at the 0.01 level (2-tailed).
Disclaimer/Publisher’s Note: The statements, opinions and data contained in all publications are solely those of the individual author(s) and contributor(s) and not of MDPI and/or the editor(s). MDPI and/or the editor(s) disclaim responsibility for any injury to people or property resulting from any ideas, methods, instructions or products referred to in the content.
Copyright: This open access article is published under a Creative Commons CC BY 4.0 license, which permit the free download, distribution, and reuse, provided that the author and preprint are cited in any reuse.
Prerpints.org logo

Preprints.org is a free preprint server supported by MDPI in Basel, Switzerland.

Subscribe

Disclaimer

Terms of Use

Privacy Policy

Privacy Settings

© 2026 MDPI (Basel, Switzerland) unless otherwise stated