Submitted:
30 September 2025
Posted:
02 October 2025
You are already at the latest version
Abstract

Keywords:
1. Introduction
2. Materials and Methods
2.1. Preparation of the Carrier
2.2 Preparation of Catalysts
2.3 Sample Characterization
2.4 Catalyst Activity Evaluation
3. Results
3.1. Structure and Morphology of the Catalyst
3.2. TEM Analysis
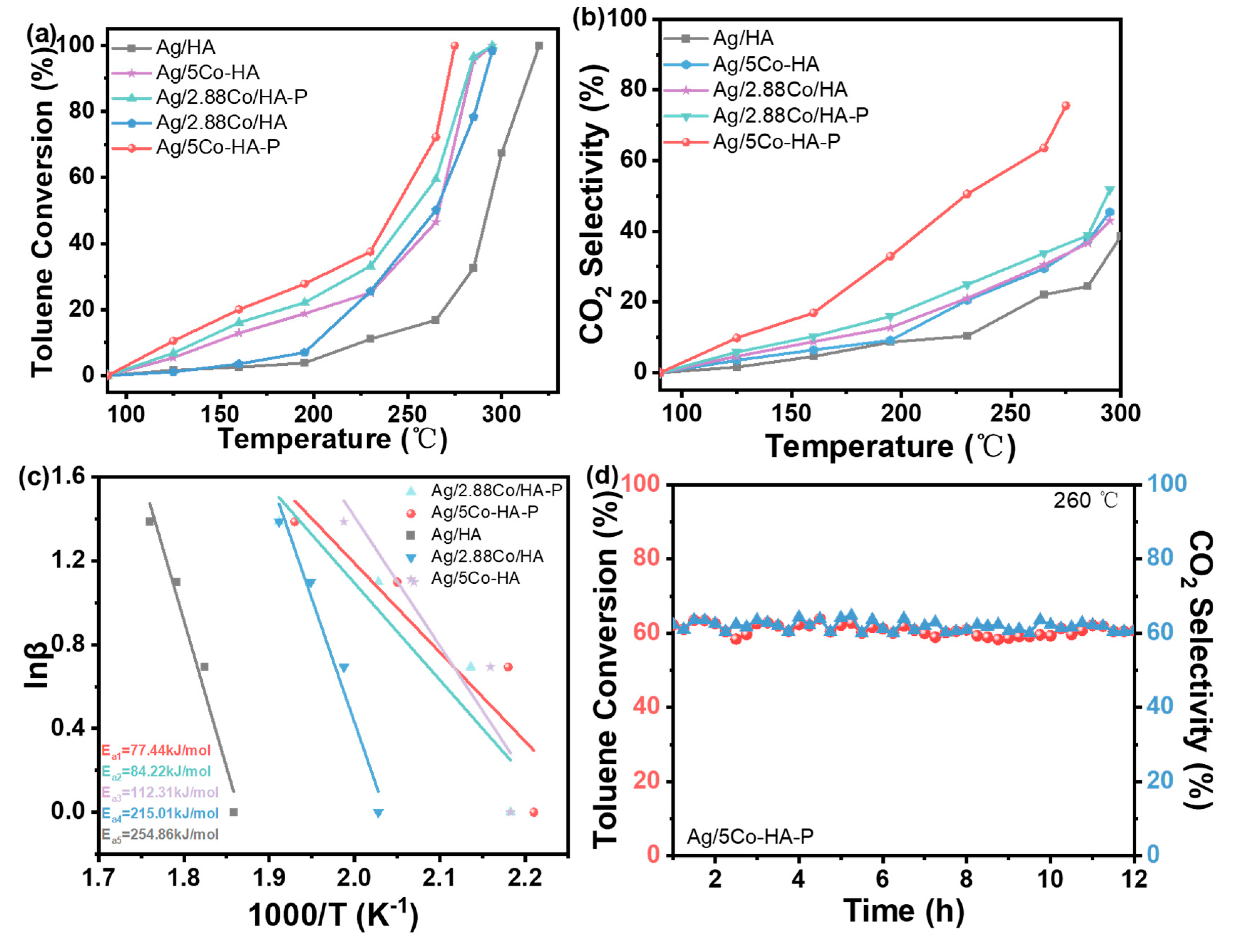
3.3. Catalyst Activity
3.4. Catalyst Stability Test
4. Discussion
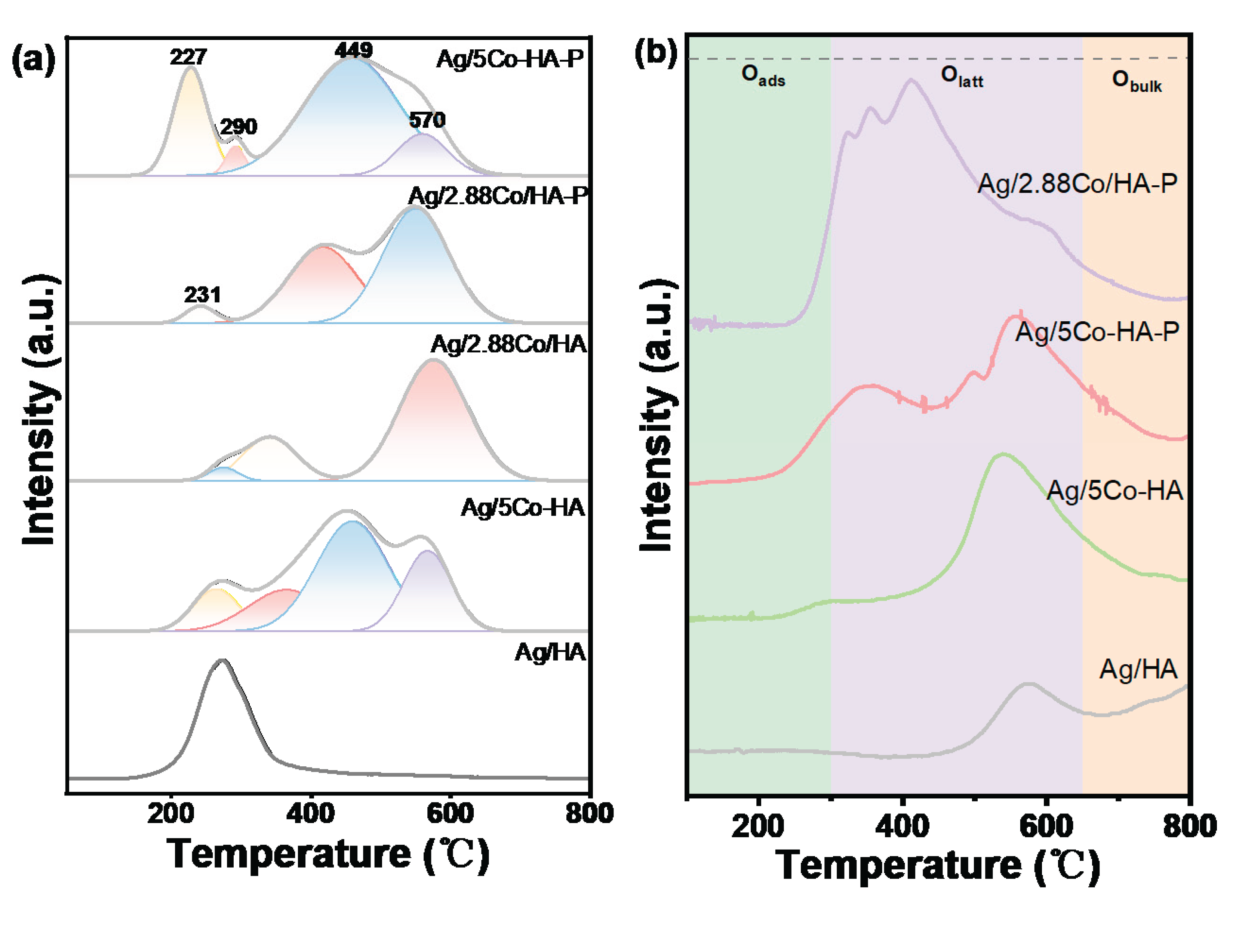
4.1. H2-TPR Analysis
4.2. O2-TPD Analysis
4.3. Raman Analysis
4.4. XPS Analysis
4.5. In-Situ DRIFTS Spectra
5. Conclusions
Supplementary Materials
Author Contributions
Funding
Data Availability Statement
Acknowledgments
Conflicts of Interest
References
- Zhang, H.; Jin, X.; Wang, X.; Shao, S.; Tu, C.; Guo, Y., Q Dai. Synergistic oxidation of multicomponent VOCs over Pt0 and Mo clusters engineered CeO2 via facilitated H/O spillover: Boosting chlorine removal and hydrolysis oxidation. Appl. Catal. B: Environ. Energy 2025, 125684. [CrossRef]
- Zhang, M.; Liu, L.; Ding, L.; Fang, N., Y Chu. Modulating surface properties of catalysts to promote the oxidation of multi-component VOCs. Journal of Environmental Chemical Engineering, 2025, 13(5): 118118. [CrossRef]
- Guo, W.; Hao, Z.; Wang, Q.; Zhang, Y.; Chen, T.; Gong, Y.; Zhang, Y.; Wang, P., S Zhan. Targeted regulation of d-band center in LaCo1-xNixO3 perovskite toward Sabatier-optimized catalytic oxidation of VOCs. Applied Catalysis B: Environment and Energy, 2025, 378, 125640.
- Wu, L.; Liu, Y.; Jia, Y.; Sun, Q.; Feng, Y.; Hou, Z.; Wang, Z.; Wei, L.; Wei, Z.; Jing, L.; Deng, J., H Dai. A novel strategy for enhancing resistance to chlorine, water, and sulfur oxide of the Pt/Co-ZSM-5 catalyst by synergistic coupling of acidity and redox sites for the oxidation of multicomponent VOCs. Applied Catalysis B: Environment and Energy, 2025, 378, 125557. [CrossRef]
- Gao, H.; Song, Z.; Mao, Y.; Fan, Y.; Li, R.; Chen, X.; Liu, W.; Zhang, J.; Huang, Z., X Zhang. Tight coupling of oxygen vacancies and acidity on α-MnO2 through cerium doping engineering for efficient removal of multi-component VOCs. Applied Catalysis B: Environment and Energy, 2025, 362: 124745. [CrossRef]
- Hou, Z.; An, X.; Zhu, K.; Tang, Q.; Lan, H.; Liu, H., J Qu. Revealing the pore size-dependent sorption mechanism of toluene and cetane in porous carbon by nuclear magnetic resonance. Environmental Science & Technology, 2023, 57(12): 5003-5012. [CrossRef]
- Fan, Y.; Song, Z.; Gao, H.; Guo, R.; Zhang, M.; Zhang, J.; Chen, X.; Liu, W.; Huang, Z., X Zhang. Adjustment mechanism of Co3+ performance in Co3O4-LaOx catalyst for high-efficiency catalytic combustion of toluene. Separation and Purification Technology, 2025, 354, 128941. [CrossRef]
- Zhang, L.; Zou, Z.; Lei, Z., Y Jia. Research on the mechanism of synergistic treatment of VOCs–O3 by low temperature plasma catalysis technology. Plasma Chemistry and Plasma Processing, 2023, 43(6): 1651-1672. [CrossRef]
- Du Z, Lin X. Research progress in treatment of VOCs by dielectric barrier plasma cooperating catalyst. IOP Conference Series Earth and Environmental Science, 2020, 508(1): 012132.
- Sun, T.; He, B.; Pan, G.; Guo, Y.; Wang, K.; Jia, W.; Guo, Y.; Tang, P., G Chen. Engineering NiFe2O4 decorated with IrO2 on plasma-treated iron foam for enhanced electrocatalytic hydrogen evolution. Journal of colloid and interface science, 2025, 696, 137843. [CrossRef]
- Mahaleh, M.A.; Nilkar, M.; Leus, K.; Abednatanzi, S.; Deng, M., P Van Der Voort, R Morent, N De Geyter. Pyridine-covalent triazine framework (py-CTF) as a metal-free catalyst for effective toluene abatement in post-plasma catalytic systems. Plasma Chemistry and Plasma Processing, 2025, 45(4): 1205-1232.
- Li, S.; Xin, Z.; Luo, Y.; Liao, G.; Li, Q.; Zhang, K.; Tehrani, Z.; Tan, R., Z Feng. Enhancing direct borohydride fuel cell performance via low-temperature plasma pretreatment of cobalt hydroxide catalysts. Ionics, 2025, 31(5): 4591-4602.
- Liu, Z.; Wang, L.; Jin, Z., Z Wang. Enhanced CO2 hydrogenation to methanol via plasma-treated Ni/Ga2O3 catalysts. Russian Journal of Applied Chemistry, 2025, 98(1): 32-42. [CrossRef]
- Wang, J.; Yu, H., H Liang. Activity and stability of Ni/magnesium slag catalysts enhanced by plasma pretreatment for toluene steam reforming. Journal of Analytical and Applied Pyrolysis, 2025, 187, 106996.
- Golubev, O.V., AL Maksimov Plasma-assisted catalytic decomposition of carbon dioxide. Russian Journal of Applied Chemistry, 2022, 95(5): 617-630.
- Deng, E.P.; Zhang, S.Y.; Zhu, H.; Li, J.H.; Wang, X.M.; Zhang, Y.N.; Chen, Q.; Lu, P., YX Miao. Facile hydrothermal synthesis of hydroxyapatite nanosheets as highly "active" supports for stabilizing silver nanoparticles in toluene oxidation. Applied Catalysis A, General, 2025, 705, 120438.
- Berroug, N.; Gutiérrez-Ortiz, M.A., J R González Velasco, Z Boukha. Grafting of Ni(acac)2 complex on hydroxyapatite support for suitable speciation of Ni and intensification of the CO2 methanation reaction. Journal of Industrial and Engineering Chemistry, 2025, 149, 764-777. [CrossRef]
- Wang, X.; Li, J.; Lu, P.; Liu, S.; Zhang, S.; Deng, E.; Miao, Y., Z Zhao. A novel Co coordinated highly dispersed nano Ag/HAP catalysts in enhanced toluene catalytic oxidation with non-thermal plasma. Plasma Chemistry and Plasma Processing, 2025, 45(4): 1191-1204. [CrossRef]
- Bristy, N.S.; Kawsar, M., M S Hossain. Effects of different types of modifiers on structural variation of nano-hydroxyapatite for efficient application. Nanoscale advances, 2025, 7(17), 5133-5160.
- Liu, M.; Wu, X.; Liu, S.; Gao, Y.; Chen, Z.; Ma, Y.; Ran, R., D Weng. Study of Ag/CeO2 catalysts for naphthalene oxidation: Balancing the oxygen availability and oxygen regeneration capacity. Applied Catalysis B: Environmental, 2017, 219, 231-240. [CrossRef]
- Liu, H.; Chen, X.; Qiu, S.; Wei, Q.; Qin, Y.; Ji, L., J Xu. Insight into enhanced catalytic performance of alkali-treated Al2O3 supported Ag catalyst for toluene oxidation. Fuel, 2025, 393, 134987.
- Liu, S.; Liu, Y.; Tang, D.; Miao, Y.; Cao, Z., Z Zhao. Synergy of NTP-La1-xAgxMn1-yCoyO3-δ hybrid for soot catalytic combustion at low temperature. Plasma Chemistry and Plasma Processing, 2021, 41(4): 1009-1019. [CrossRef]
- Wang, C.; Hua, W.; Chai, G.; Zhang, C., Y Guo. Insights into the morphological effect of Co3O4 crystallite on catalytic oxidation of vinyl chloride. Catalysts, 2019, 9(5): 408.
- Chen, H.; Wei, G.; Liang, X.; Liu, P.; He, H.; Xi, Y., J Zhu. The distinct effects of substitution and deposition of Ag in perovskite LaCoO3 on the thermally catalytic oxidation of toluene. Applied Surface Science, 2019, 489, 905-912.
- Lei, N.; Mei, D.; Xiong, H.; Peng, B.; Ren, Z.; Hernandez, X.I.; DeLaRiva, A.; Wang, M.; Engelhard, M.H.; Maik, H.; Kovarik, L.; Datye, A.K., Y Wang. Activation of surface lattice oxygen in single-atom Pt/CeO2 for low-temperature CO oxidation. Science, 2017, 358(6369): 1419-1423. [CrossRef]
- Zhai, X.; Li, L.; Song, S.; Zhang, J., J Ma. Influence of MnO2 crystal existing form on its catalytic performance for toluene oxidation. Fuel, 2023, 334: 126780.
- Qin, F.; Feng, Q.; Li, X.; Lu, W.; Ma, D.; Huang, X.; Liu, Z.; Zhang, X.; Zuo, C.; Huang, Y.; Zhu, H., S Zhang. Palygorskite-supported bimetallic ZIFs-derived cobalt oxides with coexisting cobalt defects and oxygen vacancies for enhanced antibiotic degradation. Journal of Environmental Chemical Engineering, 2025, 13(2): 115611. [CrossRef]
- Carvalho, D.C.; Pinheiro, L.G.; Campos, A.; Millet, E.R.; de Sousa, F.F.; Filho, J.M., GD Saraiva. Characterization and catalytic performances of copper and cobalt-exchanged hydroxyapatite in glycerol conversion for 1-hydroxyacetone production Applied Catalysis A, General, 2014, 471, 39-49. [CrossRef]
- Sharmin, M.; Band gap tuning, J.P., n-type to p-type transition and ferrimagnetic properties of Mg doped α-Fe2O3 nanostructured thin films. Journal of Alloys and Compounds, 2020, 818, 152850.
- Yao, X.; Zhanh, J.; Liang, X., C Long. Niobium doping enhanced catalytic performance of Mn/MCM-41 for toluene degradation in the NTP-catalysis system. Chemosphere. 2019, 230, 479-487.
- Damyanova, S.; Pawelec, B.; Palcheva, R.; Karakirova, Y.; Sanchez, M.C., G Tyuliev. Structure and surface properties of ceria-modified Ni-based catalysts for hydrogen production. Applied Catalysis B: Environmental, 2018, 225, 340-353. [CrossRef]
- Guo, H.; Guo, T.; Zhao, M.; Zhang, Y.; Shangguan, W., Y Liao. Improving benzene catalytic oxidation on Ag/Co3O4 by regulating the chemical states of Co and Ag. Journal of Environmental Science, 2024, 143, 201-212. [CrossRef]
- Zhu, B.; Yan, Y.; Li, M.; Li, X.S.; Liu, J.L., YM Zhu. Low temperature removal of toluene over Ag/CeO2/Al2O3 nanocatalyst in an atmospheric plasma catalytic system. Plasma Processes and Polymers, 2018, 15(8): 1700215.
- Wang, J.; Wu, Z.; Zhao, J.; Sun, M.; Ma, X.; Abudula, A., G Guan. Enhanced catalytic oxidation of toluene over amorphous cubic structured manganese oxide-based catalysts promoted by functionally designed Co-Fe nanowires. Catalysis Science & Technology, 2024, 14(10): 2806–2816. [CrossRef]
- Liu, W.; Liu, R.; Zhang, H.; Song, Z., X Zhang. Fabrication of Co3O4 nanospheres and their catalytic performances for toluene oxidation: The distinct effects of morphology and oxygen species. Applied Catalysis A: General. 2020, 597, 117539. [CrossRef]
- Zhu, Z.; Lu, G.; Zhang, Z.; Guo, Y.; Guo, Y., Y Wang. Highly Active and stable Co3O4/ZSM-5 catalyst for propane oxidation: Effect of the preparation method. ACS Catalysis, 2013, 3(6): 1154-1164.
- Zhao, Y., J Zhang. Microstrain and grain-size analysis from diffraction peak width and graphical derivation of high-pressure thermomechanics. Journal of Applied Crystallography, 2008, 41(6): 1095-1108.
- Li, D.; Qiu, R.; Moskowitz, B.M.; Jiang, Z.; Gu, H.; Wen, Q.; Wachs, I.E., M Zhu. Nature of the active sites and reaction mechanism during methanol steam reforming over Cu/ZnO: An isotopic modulated excitation diffuse reflectance infrared fourier transform spectroscopy study. Journal of the American Chemical Society, 2025, 147(27): 24040-24049.
- Ewald, C.; Saito, N.; Weimar, U., N Barsan. Role of potassium loading in ZnO-based gas sensors under NO2 exposure–operando diffuse reflectance infrared Fourier transform spectroscopic study. Sensors and Actuators: B. Chemical, 2023, 393, 134321. [CrossRef]
- Chen, Y.; Zhu, B.; Sun, L.; Du, X.; Shi, C.; Dong, Y.; Ren, Y.; Wang, X.; Liu, Y., H Zhou. Insights into interaction mechanism of plasma, catalysis and thermal processes during toluene oxidation in a packed dielectric barrier discharge plasma reactor. Fuel, 2025, 396, 135309. [CrossRef]






| Sample |
SBETa (cm2/g) |
Dpb (nm) |
Dvb (cm3/g) |
| Ag/HA | 81.33 | 9.18 | 0.37 |
| Ag/5Co-HA | 70.92 | 9.97 | 0.35 |
| Ag/5Co-HA-P | 64.28 | 16.53 | 0.53 |
|
Ag/2.88Co/HA-P Ag/2.88Co/HA |
82.49 80.26 |
12.37 11.15 |
0.51 0.47 |
| Sample | Ag0/Ag+ | Co3+/(Co3++Co2+) | Oads/(Oads+OOH) |
|
Ag/HA |
1.5 | / | 0.33 |
|
Ag/5Co-HA |
1.77 | 0.51 | 0.34 |
|
Ag/5Co-HA-P |
3.04 | 1.05 | 1.6 |
| Ag/2.88Co/HA-P | 2.34 | 0.66 | 0.61 |
Disclaimer/Publisher’s Note: The statements, opinions and data contained in all publications are solely those of the individual author(s) and contributor(s) and not of MDPI and/or the editor(s). MDPI and/or the editor(s) disclaim responsibility for any injury to people or property resulting from any ideas, methods, instructions or products referred to in the content. |
© 2025 by the authors. Licensee MDPI, Basel, Switzerland. This article is an open access article distributed under the terms and conditions of the Creative Commons Attribution (CC BY) license (http://creativecommons.org/licenses/by/4.0/).