Submitted:
05 November 2025
Posted:
06 November 2025
Read the latest preprint version here
Abstract
Keywords:
1. Introduction
2. Modeling
2.1. Fundamentals of Fractal Geometry and Scaling Laws
2.2. Probability Distribution of Pore Networks
Limiting Cases
2.3. Dynamic Fractal Dimension Model (DFDM)
2.3.1. Governing Principles and Dynamic Scaling Law
2.3.2. Wavelet Spectral Estimation
2.3.3. Coupled Fluid-Solid Interaction
2.3.4. Dynamic Porosity-Permeability Relationship
2.4. Governing Equation for Spatiotemporal Fractal Evolution
2.4.1. Field Representation
2.4.2. Boundary and Initial Conditions
2.4.3. Limiting Cases of the PDE
2.5. Numerical Implementation Strategy
2.5.1. Discretization
2.5.2. Multi-Scale Up-Scaling and Stability Constraints
2.6. Validation and Experimental Bench-marking
2.6.1. Experimental Data and Calibration
2.6.2. Model Validation and Bench-Marking
2.6.3. Statistical Confidence
3. Results and Discussion
3.1. Spatiotemporal Evolution of Fractal Dimension
Model-Experiment Consistency of Fractal Dimension Thresholds
Dependence of on :
Mathematical sensitivity analysis:
Quantitative and experimental consistency:
Relation to :
3.2. Model Validation and Predictive Robustness
3.3. Mechanistic Insights: Stress Sensitivity and Flow-Driven Processes
Practical implications for subsurface engineering applications
3.4. Limitations and Future Work
- Computational cost:
- Representativeness of input data:
- Parameter sensitivity:
- Model extensibility:
4. Conclusions
Author Contributions
Funding
Conflicts of Interest
Appendix A
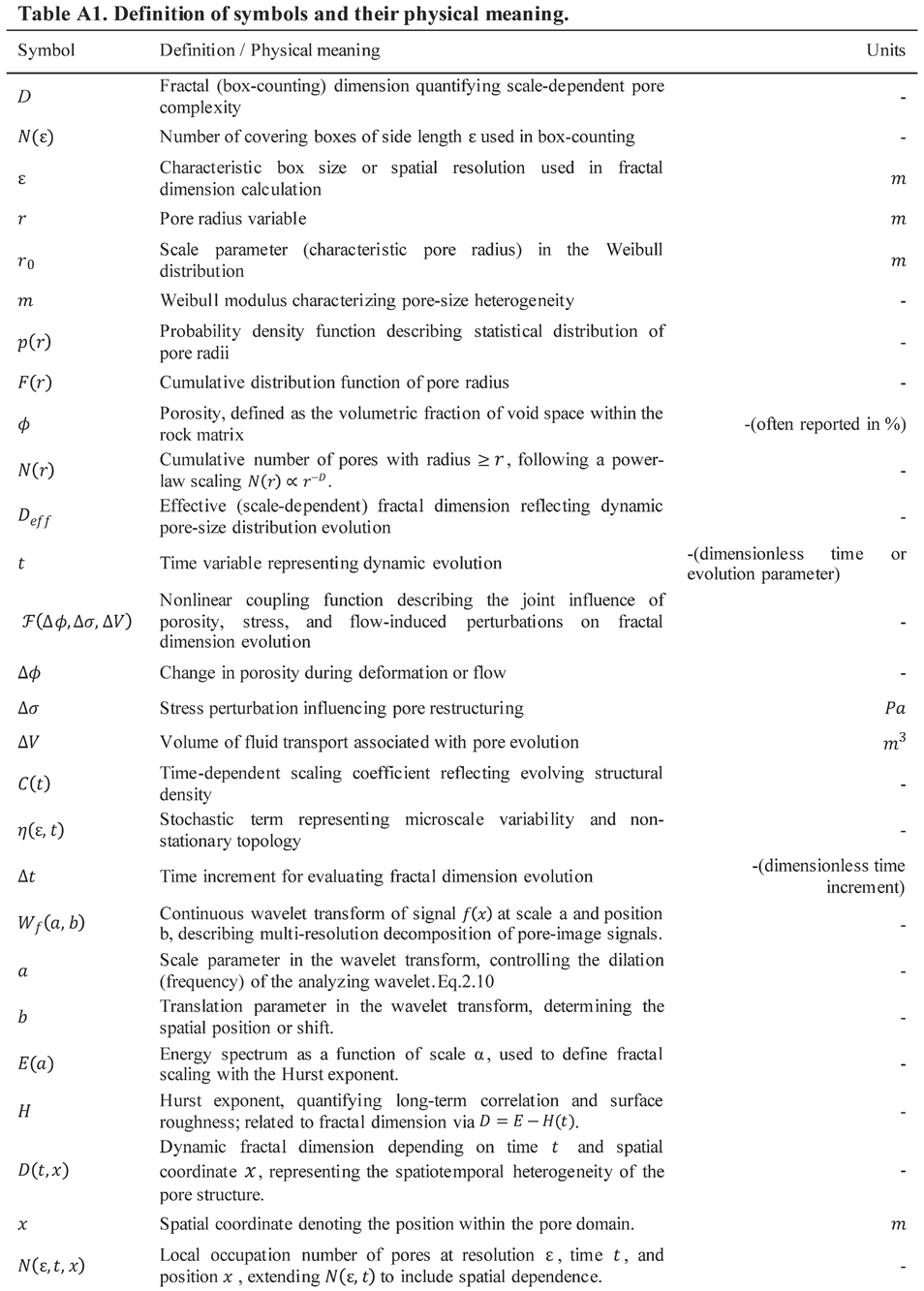
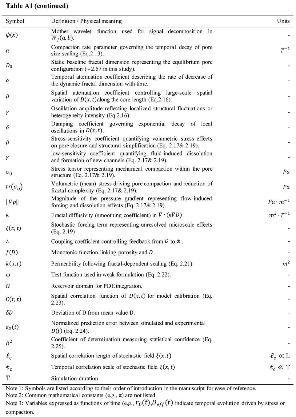
Appendix A.1.Table of Symbols


Appendix A.2. Effective and Dynamic Fractal Dimension:Derivation and Implementation
Appendix A.2.1. Derivation of the Effective Fractal Dimension (Eq.2.6)
- Assumptions underlying this derivation
- Physical interpretation
Appendix A.2.2. Parameter Extraction Algorithm and Stability Criteria
- Algorithm (pseudocode)
- Stability and Sensitivity Criteria
- Scale window selection: A minimum of one decade of (i.e.,) is required for robust regression. Windows are chosen by maximizing the coefficient of determination .
- Temporal stability:The time step is limited by the imaging frequency such thatto ensure quasi-stationary evolution.
- -range sensitivity: The variation of with respect to is evaluated as
Appendix A.3. Wavelet and Box-Counting Implementation Details
Appendix A.4. Numerical Discretization and Solver Configuration
References
- Zhou, S.;Wang, H.;Jiang, S.;Yan, D.;Liu, D.;Zhang, Z.;Li, G. A novel approach to obtain fractal dimension in coals by LFNMR: Insights from the T2 peak and T2 geometric mean. 2022, 148, 04022009. [CrossRef]
- Yao, P.;Zhang, J.;Qin, Z.;Fan, A.;Feng, G.;Vandeginste, V.;Zhang, P.;Zhang, X. Effect of pore structure heterogeneity of sandstone reservoirs on porosity–permeability variation by using single–multi-fractal models. 2024, 9, 23339-23354. [CrossRef]
- Zhang, W.;Mehrabian, A. Poromechanics Constitutive Relations and Analytical Solution for Nonlinear Gas Transport and Sorption in Deformable Rocks. 2023, 149, 853-890. [CrossRef]
- Xu, P.;Chen, Z.;Qiu, S.;Yang, M.;Liu, Y. An analytical model for pore and tortuosity fractal dimensions of porous media. 2021, 29, 2150156. [CrossRef]
- Zhang, W. Nonlinear Poroelastic Solutions for the Pore Fluid Flow and Sorption in Deformable Rocks. In Pennsylvania State University: 2022.
- Wang, J.;Jiang, F.;Zhang, C.;Song, Z.;Mo, W. Fuels Study on the pore structure and fractal dimension of tight sandstone in coal measures. 2021, 35, 3887-3898. [CrossRef]
- Turlapati, V.Y.;Prusty, B.K.;Bakshi, T. Fuels Detailed pore structure study of Damodar Valley and upper Assam basin shales using fractal analysis. 2020, 34, 14001-14011. [CrossRef]
- Hazra, B.;Wood, D.A.;Panda, M.;Sethi, C.;Vishal, V.;Chandra, D.;Ostadhassan, M. Fuels Pore structural complexities and gas storage capacity of Indian coals with various thermal maturities. 2025, 39, 5818-5831. [CrossRef]
- Zezhang, S.;Abide, A.;Mingyang, L.;ZHANG, Y.;JIANG, F.;Zheyu, L.;ZHENG, W.;Xiayang, W. Geology, G. Quantitative analysis of nitrogen adsorption hysteresis loop and its indicative significance to pore structure characterization: A case study on the Upper Triassic Chang 7 Member, Ordos Basin. 2023, 44, 495-509.10.11743/ogg20230219.
- Sun, H.;Koch, M. Hydraulics Fractal generation of surface area of porous media. 1998, 12, 83-96. [CrossRef]
- Guan, W.;Cai, W.;Li, Z.;Lu, H. Engineering Microscopic Characterization and Fractal Analysis of Pore Systems for Unconventional Reservoirs. 2024, 12, 908. [CrossRef]
- Wang, Y.;Tian, Z.;Nolte, S.;Krooss, B.;Wang, M. Influence of equation nonlinearity on pulse-decay permeability measurements of tight porous media. 2023, 148, 291-315.
- Li, C.;Xu, Y.;Jiang, Z.;Yu, B.;Xu, P. Fractional Fractal analysis on the mapping relationship of conductivity properties in porous material. 2022, 6, 527. [CrossRef]
- Mishra, S.;Dixit, A.;Mishra, V.K.;Singh, V.P.;Mendhe, V. Pore structures and fractal dimensions in early Permian Barakar shales of Rajmahal Basin, Jharkhand, India. 2021, 14, 2340. [CrossRef]
- Lin, W.;Zhao, X.;Li, M.;Zhuang, Y. Fractional Pore Structure Characterization and Fractal Characteristics of Tight Limestone Based on Low-Temperature Nitrogen Adsorption and Nuclear Magnetic Resonance. 2024, 8, 371. [CrossRef]
- Guan, D.;Pan, T.;Guo, R.;Wei, Y.;Qi, R.;Fu, C.;Zhang, Z.;Zhu, Y.K. Fractional Fractal and multifractal analysis of microscopic pore structure of UHPC matrix modified with nano silica. 2024, 8, 360. [CrossRef]
- Tibebu, D.T.;Avramidis, S.;Walters, C. Technology Fractal dimension of wood cell wall pores from pore size distribution: insights from nitrogen gas adsorption analyzer. 2023, 57, 651-669. [CrossRef]
- Rigby, S.P. Solitons;Fractals Theoretical aspects of the estimation of pore and mass fractal dimensions of porous media on the macroscopic scale using NMR imaging. 1998, 9, 1519-1527. [CrossRef]
- Pavón-Domínguez, P.;Díaz-Jiménez, M. Characterization of synthetic porous media images by using fractal and multifractal analysis. 2023, 14, 27. [CrossRef]
- Zhang, Q.;Dong, Y.;Tong, S.Q. Fractional Pore-Type-Dependent Fractal Features of Shales and Implications on Permeability. 2023, 7, 803. [CrossRef]
- Zhou, D.;Lv, Z.;Cao, Y.;Liu, G.;Zhang, X.;Shi, B.;Zhang, J.;Liu, S. Fractional Fractal Evolution Characteristics of Pore Structure in Coal-Acidified Stimulation. 2025, 9, 62. [CrossRef]
- Ullah, A.S.;D’Addona, D.M.;Seto, Y.;Yonehara, S.;Kubo, A. Fractional Utilizing fractals for modeling and 3D printing of porous structures. 2021, 5, 40. [CrossRef]
- Mondal, I.;Singh, K.H. Petrophysical insights into pore structure in complex carbonate reservoirs using NMR data. 2024, 9, 439-450. [CrossRef]
- Mallat, S. A wavelet tour of signal processing; Elsevier: 1999.
- Li, S.;Bian, H.;Zhang, D.;Liu, Y.;Liu, G.;Wang, F. Research on pore structure and classification evaluation of tight oil reservoirs based on fractal theory. 2024, 72, 4079-4089. [CrossRef]
- Pan, H.;Shao, Y.;Liu, Z.;Zuo, Q.;Su, J.;Bai, J.;Miao, H.;Guo, Y.;Zhang, J. A Physical Parameter Characterizing Heterogeneity of Pore and Fracture Structures in Coal Reservoirs. 2024, 12, 1553. [CrossRef]
- Jiang, W.;Zhang, Y.;Ma, T.;Chen, S.;Hu, Y.;Wei, Q.;Zhuang, D. Fractional Pore structure and its fractal dimension: A case study of the marine shales of the Niutitang formation in Northwest Hunan, South China. 2025, 9, 49. [CrossRef]
- He, S.-H.;Ding, Z.;Hu, H.-B.;Gao, M. Fractional Effect of grain size on microscopic pore structure and fractal characteristics of carbonate-based sand and silicate-based sand. 2021, 5, 152. [CrossRef]
- El-Dib, Y.O.;Mady, A.A.;Alyousef, H.A. Interfacial stability control of MHD Bingham fluids in micro-porous MEMS structures via fractal analysis. 2025, 13, 1634769. [CrossRef]
- Zhang, C.;Guan, P.;Zhang, J.;Liang, X.;Ding, X.;You, Y. A review of the progress on fractal theory to characterize the pore structure of unconventional oil and gas reservoirs. 2023, 59, 897-908.10.13209/j.0479-8023.2023.063.
- Liang, X.;Hu, Q.;Pu, X.;Li, W.;Wang, Q.;Sun, M.;Han, W. Fractional Multifractal Methods in Characterizing Pore Structure Heterogeneity During Hydrous Pyrolysis of Lacustrine Shale. 2024, 8, 657. [CrossRef]
- Li, S.;Tao, C.;Fu, H.;Miao, H.;Qiu, J.T. Fractional Analysis of the Microscopic Pore Structure Characteristics of Sandstone Based on Nuclear Magnetic Resonance Experiments and Nuclear Magnetic Resonance Logging Technology. 2025, 9, 532. [CrossRef]
- Xue, K.;Pu, H.;Li, M.;Luo, P.;Liu, D.;Yi, Q. Fractal-based analysis of stress-induced dynamic evolution in geometry and permeability of porous media. 2025, 37. [CrossRef]
- Liu, F.;Yang, M.;Wu, K.;Zong, J.;Song, H.;Wang, F. Pore structure characterization and permeability prediction with fractal theory considering the tortuosity effect. 2025, 394, 134978. [CrossRef]
- Chen, C.;Ding, X.;Wang, Y.;Luo, Z.;Zhai, P. Fractional Fractal dimension analysis of structure and bending strength of porous alumina prepared using starch and carbon fiber as pore-forming agents. 2022, 6, 574. [CrossRef]
- Tan, X.-H.;Zhou, X.-J.;Xu, P.;Zhu, Y.;Zhuang, D.J. A fractal geometry-based model for stress-sensitive permeability in porous media with fluid-solid coupling. 2025, 455, 120774. [CrossRef]
- Ayad, A. Applications of Fractal Geometry in Geosciences: A Literature. 2025.10.47857/irjms.2025.v06i01.02581.
- Dathe, A.;Thullner, M. The relationship between fractal properties of solid matrix and pore space in porous media. 2005, 129, 279-290. [CrossRef]
- Blair, J.;Falconer, R.E.;Milne, A.;Young, I.M.;Crawford, J.W. ModelingThree-Dimensional Microstructure in Heterogeneous Media. 2007, 71, 1807-1812. [CrossRef]
- Isah, A.;Mahmoud, M.;Eltom, H.;Salih, M.;Arif, M.;Aljawad, M.S. Engineering Exploring the Impact of Mineralogy on Pore Structure and Fluid Dynamics in Tight Reservoir Rocks: Insights for Enhanced Oil Recovery and Gas Storage. 2025, 50, 5055-5080. [CrossRef]
- Basham, M.R.;Cerato, A.B.;Tabet, W.E. Using fractal geometry theory to quantify pore structure evolution and particle morphology of stabilized kaolinite. 2024, 36, 04024247. [CrossRef]
- Khangar, R.G.;Mendhe, V.A.;Kamble, A.D.;Ranjan Das, P.;Shukla, P.;Bannerjee, M.;Varma, A.K. Variation in pore structure and associated fractal dimensions of Barakar and Barren measures carbon-rich gas shales of Jharia Basin, India. 2021, 6, 28678-28698. [CrossRef]
- Jouini, M.S.;Alabere, A.O.;Alsuwaidi, M.;Morad, S.;Bouchaala, F.;Al Jallad, O.A. Experimental and digital investigations of heterogeneity in lower cretaceous carbonate reservoir using fractal and multifractal concepts. 2023, 13, 20306. [CrossRef]
- Katz, A.J.;Thompson, A.H. Quantitative prediction of permeability in porous rock. 1986, 34, 8179. [CrossRef]
- Yu, B.;Li, J. Fractal dimensions for unsaturated porous media. 2004, 12, 17-22. [CrossRef]
- Xu, P.;Yu, B. Developing a new form of permeability and Kozeny–Carman constant for homogeneous porous media by means of fractal geometry. 2008, 31, 74-81. [CrossRef]









Disclaimer/Publisher’s Note: The statements, opinions and data contained in all publications are solely those of the individual author(s) and contributor(s) and not of MDPI and/or the editor(s). MDPI and/or the editor(s) disclaim responsibility for any injury to people or property resulting from any ideas, methods, instructions or products referred to in the content. |
© 2025 by the authors. Licensee MDPI, Basel, Switzerland. This article is an open access article distributed under the terms and conditions of the Creative Commons Attribution (CC BY) license (http://creativecommons.org/licenses/by/4.0/).