Submitted:
26 September 2025
Posted:
30 September 2025
You are already at the latest version
Abstract
Keywords:
1. Introduction
2. Mathematical-Physical Model
2.1. Physical Model
2.2. Mathematic Model
2.3. Material properties
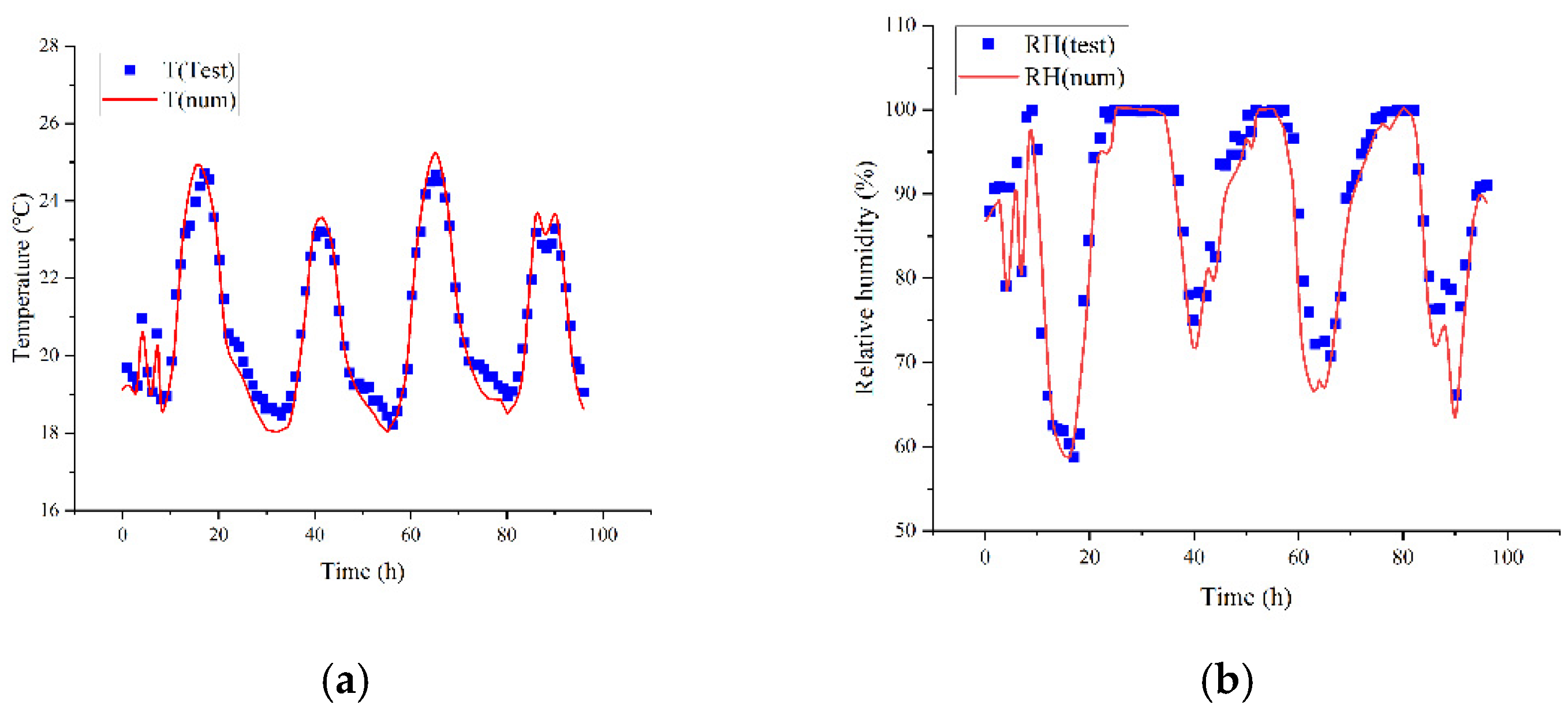
2.4. Model Validation
3. Results and Discussions
3.1. Heat and Moisture Coupling Transfer Characteristics of Underground Air Tunnel
3.1.1. Variation of Heat and Humid Characteristics of the Tunnel Surface
3.1.2. Variation of Heat and Moisture Flux of the Tunnel Wall Surface
3.1.3. Coupled Heat and Moisture Transfer Characteristics of Airflow
3.1.4. Energy Storage of the Air Tunnel Surroundings
3.2. The Ventilation Characteristics of Underground Air Tunnel in Cities of Different Climate Zones of China
4. Conclusions
Author Contributions
Funding
Data Availability Statement
Conflicts of Interest
References
- Underground Space Branch of Chin. Soc. Rock Mech. Eng. White Paper on the Development of Urban Underground Space in China (2014). Shanghai, China: Tongji Univ. Press, 2015. (in Chinese).
- Ghosal M.K., Tiwari G.N., Srivastava N.S.L. Thermal modeling of a greenhouse with an integrated earth to air heat exchanger: An experimental validation. Energy Build. 2004, 36(3): 219–227. [CrossRef]
- Ozgener O., Ozgener L. Determining the optimal design of a closed loop earth to air heat exchanger for greenhouse heating by using exergoeconomics. Energy Build. 2011, 43(4): 960–965. [CrossRef]
- Yu J., Kang Y., Zhai Z. Advances in research for underground buildings: Energy, thermal comfort and indoor air quality. Energy Build. 2020, 215: 109916. [CrossRef]
- Gao X., Qu Y., Xiao Y. A numerical method for cooling and dehumidifying process of air flowing through a deeply buried underground tunnel with unsaturated condensation model. Appl. Therm. Eng. 2019, 159: 113891. [CrossRef]
- Gao X., Zhang Z., Xiao Y. Modelling and thermo-hygrometric performance study of an underground chamber with a long vertical earth-air heat exchanger system. Appl. Therm. Eng. 2020, 180: 115773. [CrossRef]
- Al-Ajmi F., Loveday D.L., Hanby V.I. The cooling potential of earth-air heat exchangers for domestic buildings in a desert climate. Build. Environ. 2006, 41(3): 235–244. [CrossRef]
- Liu Z., Yu Z., Yang T., et al. Numerical modeling and parametric study of a vertical earth-to-air heat exchanger system. Energy 2019, 172: 220–231. [CrossRef]
- Wang Y.Y., Tian Y., Zhao Z.J., et al. Effect of Moisture Transfer on Heat Transfer through Exterior Corners of Cooled Buildings in Hot and Humid Areas. J. Build. Eng. 2021, 43: 103160.
- Tariku F., Kumaran K., Fazio P. Transient Model for Coupled Heat, Air and Moisture Transfer through Multilayered Porous Media. Int. J. Heat Mass Transf. 2010, 53(15–16): 3035–3044.
- Liu Y.J. Research on the Heat Sink of Subway Tunnel—Heat Sink Effects Caused by the Periodic Change of the Ambient Temperature. J. Railway Eng. Soc. 2018, 35: 92–96. (in Chinese).
- Qin Y.P., Wang H., Guo K.Y., Xue P.F., Wang J.W., Wu J.S. Simulation of finite volume method and experimental analysis for temperature field of roadway surrounding rock. J. China Coal Soc. 2017, 42(12): 3166–3175. (in Chinese).
- Qin Y.P., Song H.T., Wu J.S., et al. Numerical analysis of temperature field of surrounding rock under periodic boundary using Finite Volume Method. J. China Coal Soc. 2015, 40(7): 1541–1549. (in Chinese).
- Wang L.H., Zou X.C., Tao H. Experimental Study on Evolution Characteristics of the Heat Storage of Surrounding Soil in Subway Tunnels. Procedia Eng. 2017, 205: 2728–2735.
- Liu X.C., Xiao Y.M., Inthavong K., et al. A Fast and Simple Numerical Model for a Deeply Buried Underground Tunnel in Heating and Cooling Applications. Appl. Therm. Eng. 2014, 62(2): 545–552.
- Liu X.C. Formation Mechanism of Heat and Moisture Environment in Underground Hydropower Station and Its Energy-Saving Control Strategy (in Chinese). Thesis. Chongqing Univ., Chongqing, China, 2014.
- Zhang H.L. Study on the Thermal and Humid Environment in Hydroelectric Station Underground Plants (in Chinese). Thesis. Chongqing Univ., Chongqing, China, 2007.
- Xiang N. The Study of Measuring Method for Moisture Absorption and Discharge of Concrete Structures in Underground Hydropower Station (in Chinese). Thesis. Chongqing Univ., Chongqing, China, 2013.
- Liu Y., Xiao Y., Chen J., et al. A network model for natural ventilation simulation in deep buried underground structures. Build. Environ. 2019, 153: 288–301.
- Zeng C. Research on the Performance of Water-Phase Change Material Tank Auxiliary Ground Source Heat Pump System in Underground Shelter (in Chinese). Thesis. Southwest Jiaotong Univ., Chengdu, China, 2021.
















| Volumetric moisture content (kg/m3) |
Thermal conductivity (W/(m·K)) |
Water vapor permeability coefficient (kg/(m·s·Pa)) |
Liquid water transfer coefficient (kg/(m·s·Pa)) |
Disclaimer/Publisher’s Note: The statements, opinions and data contained in all publications are solely those of the individual author(s) and contributor(s) and not of MDPI and/or the editor(s). MDPI and/or the editor(s) disclaim responsibility for any injury to people or property resulting from any ideas, methods, instructions or products referred to in the content. |
© 2025 by the authors. Licensee MDPI, Basel, Switzerland. This article is an open access article distributed under the terms and conditions of the Creative Commons Attribution (CC BY) license (http://creativecommons.org/licenses/by/4.0/).
