Preprint
Article

This version is not peer-reviewed.

Topological Formalism for Quantum Entanglement via B3 and S0 Mappings

Submitted:

29 September 2025

Posted:

30 September 2025

You are already at the latest version

Abstract
We present two propositions, each with a proof, and a theorem to establish a foundational framework for a novel perspective on quantum information framed in terms of differential geometry and topology. In particular, we show that the mapping to $\mathbb{S}^0$ naturally encodes the binary outcomes of entangled quantum states, providing a minimal yet powerful abstraction of quantum duality. Building on this, we introduce the concept of a \emph{discrete fiber bundle} to represent quantum steering and correlations, where each fiber corresponds to the two possible measurement outcomes of entangled qubits. This construction offers a new topological viewpoint on quantum information, distinct from traditional Hilbert-space or metric-based approaches. The present work serves as a preliminary formulation of this framework, with further developments to follow.
Keywords: 
;  ;  ;  ;  

1. Introduction

The theory of quantum information has developed into a cornerstone of modern quantum science, with potential applications ranging from quantum algorithms and secure communication [1], to error correction [2,3] and quantum networking [4]. Beyond its technological relevance, quantum information provides a unique perspective on the nature of the Universe and the phenomenon of entanglement [5].
Quantum entanglement, famously described by Einstein as “spooky action at a distance” [6], underlies many protocols in quantum cryptography [7] and serves as a fundamental resource for quantum computation [8]. Despite the progress in quantum information theory, its mathematical language remains under active development [9,10]. New mathematical frameworks are required to fully exploit its potential—both for computational purposes and for deepening our understanding of quantum reality [11].
In this work, we introduce a new geometric formalism for the study of entangled states. We base our approach on two propositions: (1) representing bipartite entangled states as elements of a 3-dimensional ball B 3 , and (2) modeling the measurement process as a collapse onto the 0-sphere S 0 , corresponding to the two possible outcomes. This formalism provides a natural mapping between the geometry of entanglement and the measurement process. Previous work on the geometry of quantum states has explored several approaches to characterizing entanglement and measurement outcomes. Brody and Hughston [12] developed a framework for geometric quantum mechanics using the Fubini–Study metric on projective Hilbert space, while Bengtsson and Życzkowski [13] systematically studied the geometry of quantum state spaces, including entanglement polytopes and the Bloch sphere. Our approach builds on this tradition by focusing on a minimal topological representation, modeling the measurement process as a collapse from B 3 to S 0 . This viewpoint offers a simplified but rigorous mapping that may complement metric-based approaches and inspire new geometric methods for quantum information processing.
We further discuss possible extensions of this approach, including its embedding in the Bloch sphere representation [14] and generalizations to higher-dimensional projective spaces C P n [13]. These developments open the door to a differential-geometric treatment of quantum information, potentially yielding new insights into quantum computation, entanglement classification, and quantum state discrimination [12,13].
Proposition 1.
(Topological space for quantum entanglement)
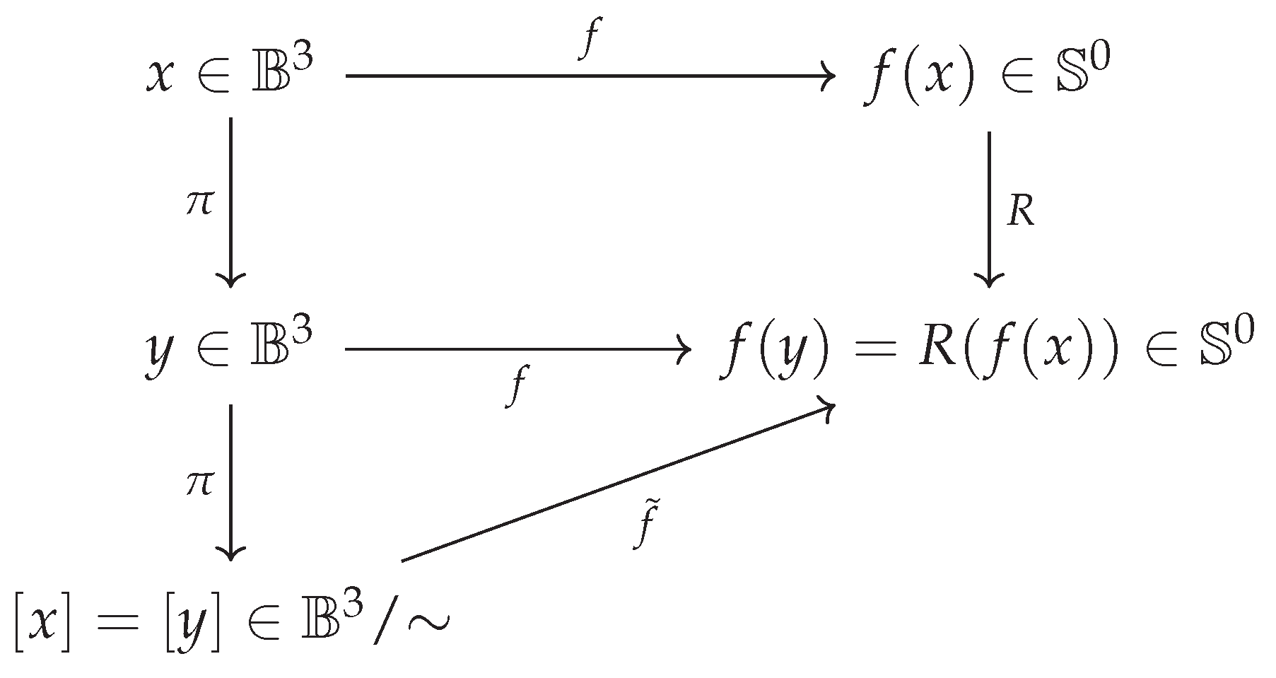
Let two particles be maximally entangled, where particle a is associated to a unique coordinate x, and particle b to y, with x , y B 3 . Let the mapping f : B 3 S 0 encode the entangled state, such that f ( x ) and f ( y ) represent measurement outcomes at positions x and y, respectively.
Let there exist a deterministic relational operation R such that f ( y ) = R ( f ( x ) ) , with R ( f ( x ) ) = ± f ( x ) , highlighting the outcome of a measurement on either of the particles. Moreover, we have the induced map f ˜ : B 3 / S 0 which is defined by
f ˜ ( [ x ] ) : = f ( x ) ,
where f = f ˜ π and π : B 3 B 3 / is the quotient projection. Then, the space of quantum steering-mediated transformations between the two particles forms a topological manifold homeomorphic to S 0 , under the following conditions:
  • There exists an equivalence relation x y induced by R, such that even though f ( x ) f ( y ) , the entanglement imposes x y in S 0 .
  • For all scaling maps C, we have C x = C y in S 0 .
  • For all operations A, we have A x = A y in S 0 .
The S 0 manifold thus represents a state-transformation space in which any metric structure from B 3 vanishes. Quantum steering transformations between maximally entangled states are thereby encoded as binary, disconnected, and nonlocal behaviors, yielding only two possible outcomes: ( 1 , 1 ) S 0 . The topological disconnectivity of S 0 reflects the quantum jumps inherent in state collapse, while its binary structure captures the intrinsic duality in the outcomes of entangled quantum systems. The proposition can be formalized into the following diagram.
Figure 1. Entanglement-induced topological mapping from B 3 to S 0 : (1) The state assignments f ( x ) and f ( y ) = R ( f ( x ) ) reflect measurement outcomes, (2) The projection π collapses entangled positions x y to the equivalence class [ x ] = [ y ] , (3) The induced map f ˜ from the quotient space B 3 / to S 0 confirms that entangled states are topologically identified despite outcome flips (R).
Figure 1. Entanglement-induced topological mapping from B 3 to S 0 : (1) The state assignments f ( x ) and f ( y ) = R ( f ( x ) ) reflect measurement outcomes, (2) The projection π collapses entangled positions x y to the equivalence class [ x ] = [ y ] , (3) The induced map f ˜ from the quotient space B 3 / to S 0 confirms that entangled states are topologically identified despite outcome flips (R).
Preprints 178805 g001
Proof. 
Let π : B 3 S 0 be the projection from the entangled particles in the base space with coordinates x , y B 3 to the entangled state space S 0 . We have the quotient space by B 3 which represents the space of equivalent states in the S 0 manifold, mapped by π . Take for instance x B 3 , and let the map π induce a collapse of its spatial state to an identity state ± 1 S 0 . Then, the second particle y B 3 is forced, by quantum steering to undergo the same collapse into a measure state ± 1 S 0 by the nature of entanglement. Entanglement invokes hence a state transformation which treats any entangled particle at either positions x or y by the same law, attributing it to a point in ± 1 S 0 by these particles being considered as equivalent in S 0 under π . This switch in sign given by the function R ( f ( x ) ) represents one of two outcomes induced by measurement. Since this switch in sign is induced by entanglement, then R ( f ( x ) , f ( y ) are both states (outcomes) in S 0 , since the space S 0 has only two elements, ± 1 . The mapping π yields therefore either of two points in S 0 for any two entangled states independent of their initial position [ x ] B 3 .
From this, it follows that any operation on particle at position x or position y, given by a scalar C or an operator A yields an equality relation in the same topological space of the assumed quantum state ± 1 S 0 , hence C x = C y , A x = A y S 0 .
Proving that S 0 is disconnected is straight-forward. Having ( U = 1 , V = 1 ) S 0 , we can readily partition it into two separated open subsets in R , which U V = and U V = S 0 . Both U and V are open (and closed) in S 0 . Hence, S 0 is totally disconnected. □
Remark 1.
The proposition is equally relevant for two particles on a 2D space, allowed by the map g : S 2 S 0 to assume the same characteristics as implied in the proposition above.
Proposition 2
(Representation of quantum steering as a fiber). Let x and y from 1 be two individual points in B 3 space. Let each point x , y B 3 be the endpoints of a line d. Form a mapping f : [ 0 , d ] S 1 C such that x , y become points on the circle S 1 . Construct a second mapping, g : S 1 S 2 such that x , y are now found on the surface S 2 . Let a tangent space be formed by assigning two vectors intersecting at each point, for x, T 1 = u × v and for y, T 2 = w × z . By the two vector products we can form the tangent bundle T M = p M T p M , for p = x , y . Then we have a fiber over x and y which is the tangent space at the respective point
π 1 ( p ) = T p M
where p = x , y and π : T M M , where M = S 2 , assigned to x and y in an either stationary state or in a moving state along the tangent vectors or a product thereof. We can then form a second fiber, π * : T p M S 0 from each tangent space at x , y respectively, which generates a value ( 1 , 1 ) S 0 for each x , y S 2 in the 0 manifold S 0 . Then π * is a fiber, where S 2 forms the base space and S 0 is the projection of the fibre space and is a trivially smooth manifold. By considering also 1, π * represents quantum steering upon measurement of the state of either particles at x or y collapsing to either ( 1 , 1 ) for any two entangled particles stationary at position x , y S 2 B 3 or moving along the tangent vector bundle T M . Then a homeomorphism h : B B or a fiber bundle automorphism H : E E acts on the bundle to represent quantum steering transformations, i.e., the correlation between entangled qubits under measurement. These maps preserve the discrete fiber structure of S 0 .
Proof. 
Let d be the distance between two arbitrary points x , y B 3 and form a circle S 1 C by their diameter using the map f : [ 0 , d ] S 1 C . Assign two tangent vectors v , u intersecting at x and two tangent vectors w , z intersecting at y in B 3 , then we can form the cotangent spaces E 1 = v × u and E 2 = w × z for each point x , y B 3 respectively. By this construction, we have formed two base spaces, E 1 and E 2 at x , y respectively, and E 1 , E 2 B 3 . By π , a generic map described in 1, we assign a value ( 1 , 1 ) for each point x , y E 1 , E 2 , resulting by measurement. Thus, we have π : E 1 S 0 and π : E 2 S 0 . Since E 1 , E 2 B 3 then S 0 forms the projection of the fibre space while E 1 , E 2 B 3 form the base space, and π is the fiber between the base spaces E 1 , E 2 B 3 to the projection of the fibre space S 0 , representing quantum steering. □
Remark 2.
The consequence of proposition 2 is that π * is a fiber bundle with discrete 0-dimensional fibers. Any operation on a qubit (formerly C or A) is now a topologically meaningful map, not a linear operator in Hilbert space.
Based on these two propositions, we form the following theorem:
Theorem 1.
(Quantum steering of multiple entangled qubits represented as a fiber bundle)
Consider n entangled qubits. Let the fiber π * from 2 send each set of entangled qubits to points in the disconnected, flat space ( S 0 ) n , representing the 2 n possible measurement outcomes.
Let quantum steering transformations be represented by homeomorphisms h : B B of the base space B or fiber bundle automorphisms H : E E , preserving the discrete fiber structure of ( S 0 ) n .
Then we can represent the system of quantum steering operations related to each qubit as a disjoint union of fibers over the base space B = B 3 / :
E = p B π * 1 ( p ) B × ( S 0 ) n ,
where π * is the fiber defined in 2 and π * 1 ( p ) is the fiber over the base point p.
This construction defines a discrete fiber bundle, where each fiber encodes the measurement outcomes of the entangled qubits, and the total space E captures the topology of quantum steering transformations.
Remark 3.
The theorem follows immediately from Propositions 1 and 2 by taking the product of discrete fibers ( S 0 ) n over the base space B.

2. Conclusions

Building on Theorem 1, supported by Propositions 1 and 2, we have introduced a novel topological perspective on quantum information and entanglement using differential geometry. In particular, the concept of a discrete fiber bundle provides a minimal yet rigorous representation of quantum steering, where each fiber encodes the binary measurement outcomes of entangled qubits.
As a natural extension, we propose considering the complex 3-dimensional ball B C 3 , since quantum states, such as photon wavefunctions, are inherently complex-valued. The complex structure captures essential phase information necessary for interference and polarization phenomena, and allows access to mathematical tools from complex analysis and linear algebra. Moreover, physical observables in quantum mechanics arise from complex inner products, making B C 3 a natural setting for measurements. This approach also aligns with advanced quantum field theories, where photons and other quantum fields are modeled in infinite-dimensional complex Hilbert spaces.
Overall, the discrete fiber bundle formalism offers a new topological framework for understanding quantum correlations, with potential applications in quantum computation, entanglement classification, and quantum state manipulation.

Funding

No funding has been required.

References

  1. Nielsen, M.A.; Chuang, I.L. Quantum Computation and Quantum Information, 10th anniversary ed.; Cambridge University Press: Cambridge, 2010.
  2. Shor, P.W. Scheme for reducing decoherence in quantum computer memory. Phys. Rev. A 1995, 52, R2493–R2496. [Google Scholar] [CrossRef] [PubMed]
  3. Gottesman, D. Stabilizer codes and quantum error correction. PhD thesis, California Institute of Technology, 1997.
  4. Kimble, H.J. The quantum internet. Nature 2008, 453, 1023–1030. [Google Scholar] [CrossRef] [PubMed]
  5. Horodecki, R.; Horodecki, P.; Horodecki, M.; Horodecki, K. Quantum entanglement. Rev. Mod. Phys. 2009, 81, 865–942. [Google Scholar] [CrossRef]
  6. Einstein, A.; Podolsky, B.; Rosen, N. Can Quantum-Mechanical Description of Physical Reality Be Considered Complete? Phys. Rev. 1935, 47, 777–780. [Google Scholar] [CrossRef]
  7. Bennett, C.H.; Brassard, G. Quantum cryptography: Public key distribution and coin tossing. 2014, Vol. 560, pp. 7–11. Theoretical Aspects of Quantum Cryptography – celebrating 30 years of BB84. [CrossRef]
  8. Jozsa, R.; Linden, N. On the role of entanglement in quantum-computational speed-up. Proc. R. Soc. Lond. A 2003, 459, 2011–2032. [Google Scholar] [CrossRef]
  9. Watrous, J. The Theory of Quantum Information; Cambridge University Press: Cambridge, 2018. [Google Scholar]
  10. Wilde, M.M. Quantum Information Theory, 2nd ed.; Cambridge University Press: Cambridge, 2017. [Google Scholar]
  11. Vedral, V. The role of relative entropy in quantum information theory. Rev. Mod. Phys. 2002, 74, 197–234. [Google Scholar] [CrossRef]
  12. Brody, D.C.; Hughston, L.P. Geometric quantum mechanics. J. Geom. Phys. 2001, 38, 19–53. [Google Scholar] [CrossRef]
  13. Bengtsson, I.; Życzkowski, K. Geometry of Quantum States: An Introduction to Quantum Entanglement, 2nd ed.; Cambridge University Press: Cambridge, 2017. [Google Scholar]
  14. Bloch, F. Nuclear Induction. Phys. Rev. 1946, 70, 460–474. [Google Scholar] [CrossRef]
Disclaimer/Publisher’s Note: The statements, opinions and data contained in all publications are solely those of the individual author(s) and contributor(s) and not of MDPI and/or the editor(s). MDPI and/or the editor(s) disclaim responsibility for any injury to people or property resulting from any ideas, methods, instructions or products referred to in the content.
Copyright: This open access article is published under a Creative Commons CC BY 4.0 license, which permit the free download, distribution, and reuse, provided that the author and preprint are cited in any reuse.
Prerpints.org logo

Preprints.org is a free preprint server supported by MDPI in Basel, Switzerland.

Subscribe

Disclaimer

Terms of Use

Privacy Policy

Privacy Settings

© 2026 MDPI (Basel, Switzerland) unless otherwise stated