Submitted:
22 September 2025
Posted:
22 September 2025
You are already at the latest version
Abstract
Keywords:
1. Introduction
2. Characteristic Mode Analysis (CMA)






3. Antenna Design
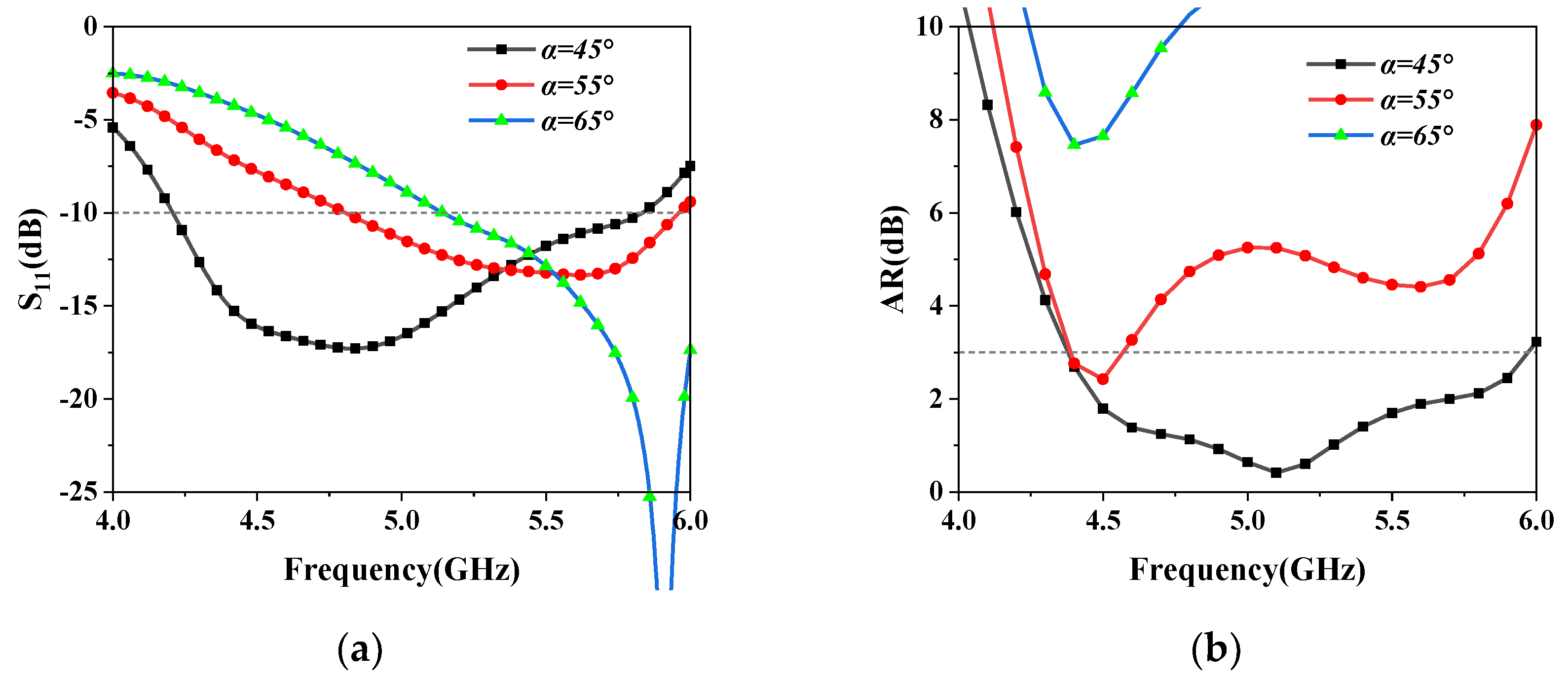
3.1. Design of MTS Based on Characteristic Modes
| parameters | numerical value | parameters | numerical value |
| L | 54 | W2 | 6 |
| h1 | 4 | W2 | 11 |
| H2 | 0.5 | L1 | 6 |
| p | 10 | L2 | 2.5 |
| P1 | 8.6 | wf | 1.5 |
| g | 1.5 | lf | 30 |
| G1 | 0.5 | α | 45° |
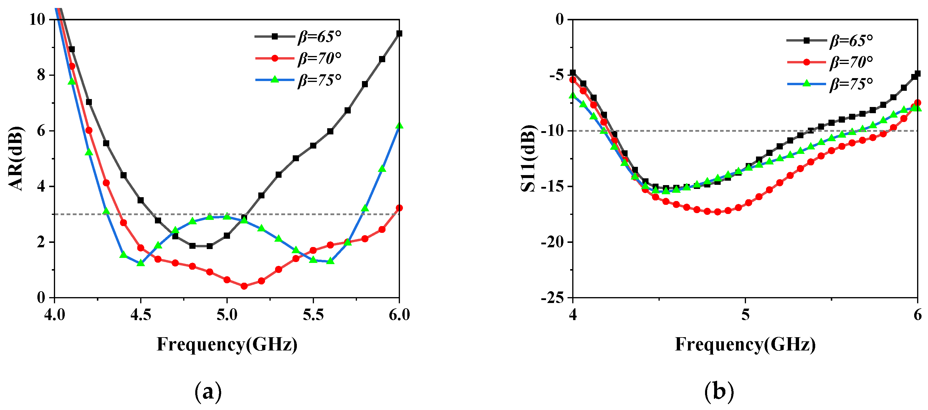
| W1 | 6 | β | 70° |


3.1. Design of Feed Structure



4. Time Domain Simulation Result
4.1. Experimental Simulation Results
| Ref. | Sizes(λn3) | IBW(%) | ARBW(%) | Peak Gain (dBi) |
| [7] | 0.15×0.15×0.1 | 47 | 34.7 | 3.4 |
| [8] | 1.4×1.4×0.69 | 36 | 22.4 | 11.2 |
| [9] | 1.12×0.86×0.69 | 31 | 25.6 | 7.4 |
| [10] | 0.88×0.88×0.6 | 38.4 | 38.4 | 7.7 |
| [11] | 0.38×0.38×0.66 | 15.7 | 11 | 5.5 |
| [17] | 1.5×1.5×0.61 | 38.8 | 14.3 | 9.4 |
| [18] | 0.24×0.24×0.115 | 21 | 21 | 7.4 |
| Prop. | 0.9×0.9×0.76 | 33.4 | 32.8 | 7.6 |
4.2. Comparative Analysis of CP Antenna
3. Conclusions
Author Contributions
Funding
Data Availability Statement
Conflicts of Interest
Abbreviations
| CP | circular polarization |
| MTS | metasurface |
| IBW | impedance matching bandwidth |
| ARBW | Axial ratio bandwidth |
References
- Fan, F.-F.; Chen, Q.-L.; Xu, Y.-X.; Zhao, X.-F.; Feng, J.-C.; Yan, Z.-H. A wideband compact printed dipole antenna array with SICL feeding network for 5G application. IEEE Antennas Wirel. Propag. Lett. 2022, 22, 283–287. [Google Scholar] [CrossRef]
- Nie, L.Y.; Lau, B.K.; Xiang, S.; Aliakbari, H.; Wang, B.; Lin, X.Q. Wideband design of a compact monopole-like circular patch antenna using modal analysis. IEEE Antennas Wirel. Propag. Lett. 2021, 20, 918–922. [Google Scholar] [CrossRef]
- Tang, X.; He, Y.; Feng, B. Design of a wideband circularly polarized strip-helical antenna with a parasitic patch. IEEE Access 2016, 4, 7728–7735. [Google Scholar] [CrossRef]
- Liu, S.; Wu, W.; Fang, D.-G. Wideband monopole-like radiation pattern circular patch antenna with high gain and low cross-polarization. IEEE Trans. Antennas Propag. 2016, 64, 2042–2045. [Google Scholar] [CrossRef]
- Lin, C.; Zhang, F.-S.; Jiao, Y.-C.; Zhang, F.; Xue, X.J.I.A. A three-fed microstrip antenna for wideband circular polarization. 2010, 9, 359-362.
- Lin, C.; Zhang, F.-S.; Jiao, Y.-C.; Zhang, F.; Xue, X.J.I.A. A three-fed microstrip antenna for wideband circular polarization. 2010, 9, 359-362.
- Cao, R.; Yu, S.-C. Wideband compact CPW-fed circularly polarized antenna for universal UHF RFID reader. IEEE Trans. Antennas Propag. 2015, 63, 4148–4151. [Google Scholar] [CrossRef]
- Yang, W.; Meng, Q.; Che, W.; Gu, L.; Xue, Q. Low-profile wideband dual-circularly polarized metasurface antenna array with large beamwidth. IEEE Antennas Wirel. Propag. Lett. 2018, 17, 1613–1616. [Google Scholar] [CrossRef]
- Zeng, Y.; Qing, X.; Chia, M.Y.-W. A Wideband circularly polarized antenna with a nonuniform metasurface designed via multiobjective bayesian optimization. IEEE Antennas Wirel. Propag. Lett. 2024, 23, 1739–1743. [Google Scholar] [CrossRef]
- Wu, J.; Yang, W.; Gu, L.; Xue, Q.; Che, W. Low-profile wideband dual-circularly polarized metasurface antenna based on traveling-wave sequential feeding mechanism. IEEE Antennas Wirel. Propag. Lett. 2022, 21, 1085–1089. [Google Scholar] [CrossRef]
- Nasimuddin, *!!! REPLACE !!!*; Qing, X. Nasimuddin; Qing, X. A miniaturized wideband circularly polarized antenna using metasurface. In Proceedings of the 2022 16th European Conference on Antennas and Propagation (EuCAP). LOCATION Of Conference, SpainDATE Of Conference; pp. 1–5.
- Shang, S.; Tang, F.; Ye, X.; Li, Q.; Li, H.; Wu, J.; Wu, Y.; Chen, J.; Zhang, Z.; Yang, Y.; et al. High-efficiency metasurfaces with 2π phase control based on aperiodic dielectric nanoarrays. Nanomaterials 2020, 10, 250. [Google Scholar] [CrossRef] [PubMed]
- Choudhary, S.; Hiremath, K.R. Aperiodic Metasurface for Broadband RCS Reduction. In Proceedings of the 2020 URSI Regional Conference on Radio Science ( URSI-RCRS). LOCATION Of Conference, IndiaDATE Of Conference. 1–4.
- Zhang, Q.; Wan, X.; Liu, S.; Yin, J.Y.; Zhang, L.; Cui, T.J. Shaping electromagnetic waves using software-automatically-designed metasurfaces. Sci. Rep. 2017, 7, 3588. [Google Scholar] [CrossRef] [PubMed]
- Gao, X.; Tian, G.W.; Shou, Z.; Li, S.M. A Low-profile broadband circularly polarized patch antenna based on characteristic mode analysis. IEEE Antennas Wirel. Propag. Lett. 2020, 20, 214–218. [Google Scholar] [CrossRef]
- Liu, S.; Yang, D.; Pan, J. A low-profile broadband dual-circularly-polarized metasurface antenna. IEEE Antennas Wirel. Propag. Lett. 2019, 18, 1395–1399. [Google Scholar] [CrossRef]
- Zhao, C.; Wang, C.-F. Characteristic mode design of wide band circularly polarized patch antenna consisting of H-shaped unit cells. IEEE Access 2018, 6, 25292–25299. [Google Scholar] [CrossRef]
- Zeng, J.; Liang, X.; He, L.; Guan, F.; Lin, F.H.; Zi, J. Single-fed triple-mode wideband circularly polarized microstrip antennas using characteristic mode analysis. IEEE Trans. Antennas Propag. 2021, 70, 846–855. [Google Scholar] [CrossRef]
Disclaimer/Publisher’s Note: The statements, opinions and data contained in all publications are solely those of the individual author(s) and contributor(s) and not of MDPI and/or the editor(s). MDPI and/or the editor(s) disclaim responsibility for any injury to people or property resulting from any ideas, methods, instructions or products referred to in the content. |
© 2025 by the authors. Licensee MDPI, Basel, Switzerland. This article is an open access article distributed under the terms and conditions of the Creative Commons Attribution (CC BY) license (http://creativecommons.org/licenses/by/4.0/).