Preprint
Article

This version is not peer-reviewed.

Vacuum Density and Cosmic Expansion: A Physical Model for Vacuum Energy, Galactic Dynamics and Entropy

Submitted:

24 November 2025

Posted:

26 November 2025

You are already at the latest version

Abstract
We introduce a Quantum Entropic Vacuum (QEV) framework in which the vacuum spectrum is bounded by a QCD-scale ultraviolet knee and a thermal infrared floor anchored to the CMB Wien scale. At galaxy scales, this bounded spectrum maps to four interpretable contributions—Newtonian (baryonic), a mid-disk thermal lift, a saturating entropic term, and a sign-definite hadronic floor modeled as a weak negative acceleration. Using a single, unit-consistent configuration, we reproduce the rotation curve of NGC~3198 with small residuals and illustrate, on a few additional spirals, that flat outer regions can emerge in the shown cases without explicitly adding dark halos. At background level, diagnostic panels for $E(z)$ and $q(z)$ broadly track flat-$\Lambda$CDM for $0<z\lesssim1$. These cosmology curves are illustrative only; we do not perform a joint likelihood over SNe~Ia, BAO, or cosmic-chronometer data in this work. For transparent figure-level replication, we provide a minimal package consisting of one Python script and two small SPARC-based tables (CSV). The present results should be read as an indication of how the QEV picture can operate in practice, motivating targeted observational tests and a full statistical validation in follow-up work.

Keywords: 
;  ;  ;  ;  ;  ;  ;  ;  

1. Introduction

The physics of the vacuum remains one of the central challenges in modern cosmology and particle physics. Quantum field theory suggests a substantial vacuum energy density from fluctuating fields, whereas observations indicate a vastly smaller value; this mismatch is the cosmological constant problem [1,2,3,4].
The standard Λ CDM model explains the observed expansion with a cosmological constant and accounts for flat galaxy rotation curves by introducing dark matter [5,6,7]. Yet the fundamental nature of dark energy and dark matter remains unknown [8,9].
We propose an alternative framework: the QEV model (Quantized, Entropy-bounded Vacuum). Vacuum energy is bounded by microphysics: a UV cutoff at the QCD scale, an IR thermal suppression around T 34 K , and normalization at the CMB Wien peak [10,11]. Within galaxies, the effective vacuum field manifests through four components that together reproduce flat rotation curves without dark halos, consistent with classic and modern kinematic evidence [12,13,14]. Cosmologically, the resulting expansion history remains compatible with current probes [15,16,17].
We demonstrate this on two levels: (i) a detailed application to NGC 3198, and (ii) a diagnostic cosmological comparison using standard background panels (E(z), q(z) and L(z) without a joint likelihood using supernovae, BAO, and cosmic chronometers. Related ideas in modified gravity and emergent frameworks provide context but differ in mechanism [18,19,20,21].
This version (v2.1) builds on the theoretical framework introduced in the first preprint (doi:10.20944/preprints202509.0972.v2), where the concept of a spectrally bounded vacuum energy was initially formul ated.

Scope and diagnostic status.

All cosmological panels in this paper ( E ( z ) , q ( z ) , and the transition redshift) are intended as diagnostic illustrations. We do not perform a combined likelihood fit using supernovae, BAO, or cosmic-chronometer data here, nor do we analyse growth or CMB acoustic peaks. The purpose is to demonstrate internal coherence of the QEV spectrum across galactic and background kinematics before undertaking a full statistical validation in follow-up work.

2. The QEV Model: A Bounded–Spectrum Vacuum

2.1. Physical Motivation for the Spectral Exponent

The mid-band spectral slope α 3.1 reflects an effective reduction of active degrees of freedom between the thermal infrared floor and the QCD confinement knee. In this regime, the accessible vacuum modes soften relative to the canonical quartic scaling, consistent with the notion that confinement limits the contribution of short-wavelength excitations while the thermal floor reduces long-wavelength response. Qualitatively, lattice-QCD and effective-field-theory perspectives both indicate that the energy density near the confinement regime departs from a pure Stefan–Boltzmann T 4 law through logarithmic and interaction-driven corrections, implying that an intermediate power-law window with 3.0 α 3.2 is physically plausible. Numerically, we verify that the bounded integral for ρ vac is plateau-dominated with a smooth window W ( ln k ) , so that no sharp α > 4 requirement arises; the results remain stable over 2.9 α 3.3 (see robustness bands in the figures). This motivates our operational choice α 3.1 without fine-tuning and ties the parameter to the underlying microphysics of confinement and thermal suppression.
The QEV hypothesis assumes a spectrally bounded vacuum: a smooth UV knee at the QCD scale and a thermal IR suppression. In frequency variables the elementary relation E f holds, or equivalently E 1 / λ in wavelength. We encode the band–limiting through a smooth window W ( ln k ) (double–tanh, C 1 ), and model the vacuum energy density as the truncated moment
ρ vac k 3 + α W ( ln k ) d ln k ,
with a scale–free mid–band slope α 3.1 and knees at k IR and k UV
The overall O ( 1 ) prefactor is fixed by anchoring to the CMB Wien scale.
A QCD-motivated UV bound naturally echoes the SVZ QCD sum-rule program, where non-perturbative condensates enter dispersion relations for hadron observables [22,23,24]. The thermal IR suppression and its response aspect can be framed within linear-response/FDT language [25]. Empirical evidence that vacuum fluctuations gravitate at lab scales (Casimir) under controlled conditions provides an experimental anchor for the near-field regime [26].
Model parameters used to generate the rotation-curve components are listed in Table 3.

Spectral exponent and convergence.

Because W is smooth in ln k , edge contributions are exponentially suppressed and Equation (1) is plateau–dominated; a hard requirement α > 4
is not needed. The logarithmic UV sensitivity is S k UV 3 , consistent with the ν 3 measure. Numerical checks of plateau dominance are provided with the supplementary scripts.
Figure 1. Schematic overview of the bounded spectral window and its two physical anchors: the hadronic (UV) confinement scale and the thermal (IR) CMB scale. We use λ CMB as the normalization anchor.
Figure 1. Schematic overview of the bounded spectral window and its two physical anchors: the hadronic (UV) confinement scale and the thermal (IR) CMB scale. We use λ CMB as the normalization anchor.
Preprints 186447 g001

Spectral index α .

The parameter α represents the effective slope of the bounded vacuum spectrum between the infrared cutoff and the QCD confinement scale. Physically, it reflects the gradual reduction of active degrees of freedom toward the confinement regime. Within the interval 3.0 3.2 the integrated vacuum energy density remains stable, indicating that the model is not fine-tuned and that its predictions are robust with respect to moderate spectral variations.

IR anchor (thermal).

We fix the infrared anchor by the wavelength form of Wien’s law,
λ IR λ peak ( T ) = b T , b 2.897771955 × 10 3 m K .
For T 34 K this gives
λ IR 2.8978 × 10 3 34 m 8.52 × 10 5 m = 0.085 mm .
Note. The frequency-peak obeys ν peak = 2.82144 k B T / h , which is not simply related by λ peak = c / ν peak because the maxima in wavelength and frequency representations differ by the Jacobian. We consistently use the wavelength form throughout.

Takeaway.

The pair { α 3.1 , T c = 34 K } is thus operationally sufficient to reproduce the required UV leverage and IR onset. See Sect. 2.5 for an explicit radiation–pressure motivation, and Appendix A provides microphysical context and shows that the resulting galaxy–scale behavior does not depend on a single microscopic model once the smooth window is fixed.

2.2. Interpretation and Relation to Prior Work

Our construction is agnostic about modified-gravity field equations; it attributes galactic and cosmological phenomenology to a bounded vacuum spectrum. This contrasts with classical constant- Λ viewpoints [1,2,3,4], MONDian scaling [13,27], and emergent-gravity scenarios [20,21]. The present paper refines and systematizes our previous components—thermal lift, entropic asymptote, hadronic floor—into a single, unit-consistent framework [28,29,30].
For a robustness analysis of the choice α 3.1 , including a sweep over 2.9 α 3.3 , see

2.3. Hadronic Floor: Sign, Scale, and Predictions

The negative sign of a H reflects a net confining response of the hadronic vacuum at large radii. Our gate-and-taper profile encodes
(1) an onset scale r on , consistent with the transition to HI-dominated outskirts, and
(2) a finite response extent r end . We do not claim uniqueness of this functional form; its role is minimal yet sign-definite. In Figure 2 we scan ( β floor , β amp , r on , r end ) and show falsifiable trends in
(3) the outer tails (gentle flattening vs. mildly declining tails).

2.4. Hadronic Floor: Order-of-Magnitude Mapping

We parameterise the confining pull as a negative acceleration
a H ( r ) = ( β floor S + β amp R T ) ,
with R the turn-on and T the linear taper ( r on r end ).
In velocity units, [ β ] = ( km s 1 ) 2 / kpc so that v 2 r | a H | . Identifying the confining scale with a QCD string-tension σ QCD (energy per length) and projecting to a galactic gradient over a coherence length gives β eff ( σ QCD / m eff ) ( / kpc ) up to geometry factors. For the shared configuration we adopt β floor = 3.0 and β amp = 0.045 V (in ( km s 1 ) 2 kpc 1 ), with r on = 0.88 r peak and r end = 2 r on , which sets the outer softening scale and keeps the UV contribution bounded once confinement dominates.

2.4.1. Order-of-Magnitude Link to Hadronic Confinement (“Hadronic Floor”)

Aim. Provide a coarse physical bridge from QCD string-tension scales to the effective, large-scale acceleration amplitude of the hadronic floor, a H (negative contribution with gate-and-taper).

Assumptions (Back-of-the-Envelope)

  • QCD string tension. We take σ QCD 0.9 GeV / fm . Using 1 GeV = 1.602 × 10 10 J and 1 fm = 10 15 m ,
    σ QCD 0.9 × 1.602 × 10 10 J 10 15 m 1.44 × 10 5 N .
  • Coherence length. A minimal flux-tube segment of length 1 fm stores energy ε σ QCD 0.9 GeV .
  • Specific potential scale. Normalising by the proton mass m p = 1.67 × 10 27 kg , the associated specific potential is
    ϕ 0 ε m p 0.9 × 1.602 × 10 10 J 1.67 × 10 27 kg 8.6 × 10 16 m 2 s 2 .
  • Coarse-graining to kpc scales. Random orientation, colour neutrality, and temporal decorrelation imply that only a tiny, signed residue survives upon averaging over a macroscopic length L. We encode this by a dimensionless suppression factor S 1 such that the residual large-scale potential tilt is Δ Φ S ϕ 0 over L.

From Potential Tilt to Acceleration

A monotonic residual tilt over scale L implies an effective acceleration
a H Δ Φ L S ϕ 0 L .
Choosing the diagnostic scale L = 1 kpc = 3.086 × 10 19 m ,
a H S × 8.6 × 10 16 3.086 × 10 19 m s 2 S × 2.8 × 10 3 m s 2 .
To reach the phenomenological range of interest a H 10 12 - 10 11 m s 2 (weak, slowly varying floor), we require S 10 10 - 10 9 . Such a factor is plausibly the product of three coarse elements:
S f ang × f time × f conf ,
with e.g., f ang 10 2 (random angular cancellations), f time 10 2 (decorrelation over many microscopic cycles), and f conf 10 6 (net leakage from colour-confinement micro-stress into a coherent, gravitating macro-field), yielding S 10 10 .

Unit Conversion and Link to β

For comparison with rotation-curve fits it is convenient to use “per-kpc” units:
1 m s 2 = 3.086 × 10 19 m 10 6 km 2 s 2 kpc 1 a H = 10 12 m s 2 30.9 km 2 s 2 kpc 1 .
If the hadronic floor enters the model as a fraction β of a reference scale a 0 (in the same units), then
β = a H a 0 β 30.9 a 0 / ( km 2 s 2 kpc 1 ) for a H = 10 12 m s 2 .
Example. If a 0 = 400 km 2 s 2 kpc 1 , then a H [ 10 , 50 ] km 2 s 2 kpc 1 .
This corresponds to β [ 0.025 , 0.125 ] , well in the phenomenological ballpark.

Interpretation and Caveats

This construction does not claim a derived microphysical law; it shows that once:
(i) the QCD string-tension scale fixes an upper energetic reference, and
(ii) realistic cancellations/averaging supply a small, signed residue S 10 10 - 10 9 , then the resulting acceleration amplitude a H naturally sits in the weak, slowly varying regime used by the hadronic floor. Geometry (e.g., patchiness), projection factors, and the gate-and-taper profile determine the final sign and radial onset, but the magnitude follows without fine tuning from the above scales.
Figure 2. Scenario bands for the hadronic floor: impact of ( β floor , β amp , r on , r end ) on the outer rotation curve. These panels are reproducible with the provided script.
Figure 2. Scenario bands for the hadronic floor: impact of ( β floor , β amp , r on , r end ) on the outer rotation curve. These panels are reproducible with the provided script.
Preprints 186447 g002

2.5. Thermal Radiation Pressure and the Infrared Suppression Scale

A bounded vacuum spectrum requires not only an infrared cutoff in energy, but also a physical mechanism that explains why long-wavelength modes cease to contribute below a characteristic temperature. In the QEV framework this role is played by the thermal suppression scale near T 34 K , derived from the CMB-anchored Wien wavelength introduced in Sec. 2.1.
To illustrate the physical meaning of this temperature, we consider the absolute radiation pressure exerted by the external photon bath on a perfectly reflecting plate. Using the standard blackbody relation
P rad ( T ) = 4 σ 3 c T 4 ,
the radiation pressure becomes negligible below a few tens of kelvin. Around T 34 K the external space enters a regime in which it exerts essentially no additional thermal stress on the vacuum state of a laboratory or cosmological cavity. In this regime the vacuum behaves as an effectively “frozen” background, consistent with the infrared floor introduced in Sec. 2.1.
Figure 3 shows the thermal radiation pressure for 0– 100 K , with the QEV infrared suppression temperature marked explicitly. The steep T 4 dependence makes clear that the contribution of long-wavelength thermal modes falls off rapidly and naturally supports the identification of T IR 34 K as the effective lower bound on active vacuum modes. This physical interpretation strengthens the use of a thermal IR floor in the QEV model: below this scale the photon bath cannot supply sufficient thermodynamic response to maintain additional vacuum excitations, so the bounded spectrum follows directly from standard radiation physics.
Figure 3. Absolute radiation pressure P rad ( T ) of the external photon field on a perfectly reflecting plate (0–100 K), inferred from the Casimir force on the plate. The dashed vertical line marks the QEV infrared suppression scale at T 34 K . Below this temperature the thermal contribution becomes negligible, placing the system in a regime directly relevant for Casimir experiments and motivating the infrared floor used in the QEV model, consistent with the IR floor introduced in Sect. 2.1.
Figure 3. Absolute radiation pressure P rad ( T ) of the external photon field on a perfectly reflecting plate (0–100 K), inferred from the Casimir force on the plate. The dashed vertical line marks the QEV infrared suppression scale at T 34 K . Below this temperature the thermal contribution becomes negligible, placing the system in a regime directly relevant for Casimir experiments and motivating the infrared floor used in the QEV model, consistent with the IR floor introduced in Sect. 2.1.
Preprints 186447 g003

3. Galactic Dynamics According to the QEV Model

We model circular speeds as a sum of four physically motivated components, each written directly in velocity or radial acceleration:
v N ( r ) = v 0 r r + r s N e r / r f ,
v T ( r ) = 2 v T , peak r peak r 1 r 2 r peak + ,
v E ( r ) = v tanh ( r / r s E ) q ,
a H ( r ) = β floor G ( r ; r on ) + β amp G ( r ; r on ) T ( r ; r on , r end ) ,
where ( x ) + = max ( x , 0 ) ; the hadronic gate is G ( r ; r on ) = 1 + e ( r r on ) / ( 0.5 r on ) 1 and the taper T ( r ) = 1 clip ( r r on ) / ( r end r on ) , 0 , 1 . The total radial acceleration reads
a tot ( r ) = v N 2 + v T 2 + v E 2 r + a H ( r ) , v model ( r ) = r a tot ( r ) .
Our notation and circular-orbit relations follow standard galactic dynamics conventions [31,32], while the outer, saturating behaviour is constrained by the observed flat rotation tails (see Section 4).

Background and definitions.

We compare a QEV-inspired background to Λ CDM using the dimensionless expansion rate E ( z ) H ( z ) / H 0 and the deceleration parameter
q ( z ) = 1 + ( 1 + z ) 1 E ( z ) d E ( z ) d z .
For the QEV parametrisation we use a density proxy
ρ ( z ) = ( 1 + z ) α 1 + ( 1 + z ) / z s β + C ( 1 + z ) n + B ,
scaled to the present via
E QEV ( z ) = S ρ ( z ) ρ ( 0 ) .
As a reference we adopt flat Λ CDM,
E Λ CDM ( z ) = Ω m ( 1 + z ) 3 + Ω Λ .
The acceleration–deceleration transition redshift z tr is defined by q ( z tr ) = 0 .

3.1. Link to the Spectral Formalism

The background ansatz used in Secs. Section 6.1 and (Appendix B.9) maps directly onto the spectral construction of (Appendix B) The mid-band slope α controls the effective mode density between the QCD ultraviolet gate and the thermal infrared floor (Appendix B.9); β and z s set the knee sharpness and its location; the pair ( C , n ) governs the high-z tail; and B fixes the asymptotic constant at late times. Under this mapping the background density proxy ρ QEV ( z ) yields Ω QEV ( z ) used in the expansion E ( z ) , consistent with the normalisation choices in Appendix B.7.

3.2. QEV Standard Scaling (Global Defaults)

In the QEV model we adopt a set of global scaling coefficients (dimensionless unless noted) that map two galaxy-level observables—the outer asymptotic speed V and the mid-disk thermal peak radius r peak —to the full set of operational parameters used in the legacy velocity decomposition. These global coefficients are treated as QEV standards (shared across galaxies); only ( V , r peak ) vary per object.
Given ( V , r peak ) , the component parameters are defined by:
v 0 = k v 0 V , r s , N = k r s N r peak , r f = k r f r peak , v T , peak = k v T V , r s , E = k r s E r peak , q = q 0 , β floor = β floor , 0 , β amp = f β V , r on = k r on r peak r end = 2 r on .
Unless stated otherwise we use V in km  s 1 and radii in kpc, so that the hadronic coefficients ( β floor , β amp ) enter a H in units of (km  s 1 ) 2  kp c 1 . Accordingly, f β has the implied units of (km  s 1 ) kp c 1 so that f β V yields ( km s 1 ) 2 kpc 1 . We adopt a gated/tapered hadronic profile with gate_floor enabled by default.

Interpretation and usage.

V fixes the outer velocity scale (the entropic plateau), while r peak sets the mid-disk radial scaling where the thermal component peaks and the Newtonian rise transitions toward the plateau. Tying v 0 and v T , peak to V ensures coherent velocity scaling across components; tying ( r s , N , r f , r s , E , r on , r end ) to r peak ensures a consistent spatial scaling. The hadronic parameters enter directly as acceleration: β floor provides a sign-definite outer regulation, while β amp = f β V allows a mild amplitude scaling with the galaxy’s global speed without per-object tuning.

Uncertainties and robustness.

Let σ V and σ r peak denote observational uncertainties. Propagation is linear for the converted parameters: σ ( v 0 ) = k v 0 σ V , σ ( v T , peak ) = k v T σ V , σ ( β amp ) = f β σ V , σ ( r s , N ) = k r s N σ r peak , σ ( r f ) = k r f σ r peak , σ ( r s , E ) = k r s E σ r peak , σ ( r on ) = k r on σ r peak , σ ( r end ) = 2 σ ( r on ) . Small bands on v ( r ) or a ( r ) can be plotted by sweeping ( V , r peak ) within their uncertainties; this illustrates the absence of per-object fine-tuning.
Table 1. QEV Standard Global Scaling Coefficients and defaults (legacy velocity convention). Unless noted, coefficients are dimensionless. Units assume V in km  s 1 and radii in kpc.
Table 1. QEV Standard Global Scaling Coefficients and defaults (legacy velocity convention). Unless noted, coefficients are dimensionless. Units assume V in km  s 1 and radii in kpc.
Symbol Meaning Default value Units / Notes
Inputs (observables)
V Outer asymptotic speed (observable) – (per galaxy) km  s 1
r peak Thermal peak radius (observable) – (per galaxy) kpc
Newtonian component
k v 0 Newtonian speed scale factor 2.3 v 0 = k v 0 V
k r s N Newtonian scale radius factor 0.308 r s , N = k r s N r peak
k r f Newtonian damping radius factor 0.55 r f = k r f r peak
Thermal component
k v T Thermal peak speed factor 0.36 v T , peak = k v T V
r peak Thermal peak radius (observable) – (per galaxy) r peak = r peak , obs
Entropic component
k r s E Entropic scale radius factor 0.50 r s , E = k r s E r peak
q 0 Entropic smoothness exponent 1.0 q = q 0
Hadronic (acceleration) component
β floor , 0 Hadronic floor amplitude 3.0 (km  s 1 ) 2  kp c 1
f β Hadronic amplitude factor 0.045 Implied: (km  s 1 ) kp c 1 ; β amp = f β V
k r on Hadronic gate-on radius factor 0.88 r on = k r on r peak
Hadronic taper end radius 2 r on r end = 2 r on
Conventions: legacy velocity decomposition; hadronic term enters as acceleration a H 0 ; gate_floor = True.
As a worked example (applicable to any galaxy by substituting its ( V , r peak ) ), we show the full conversion for NGC 3198 below.
Worked example — NGC 3198 (QEV Standard Scaling).
Inputs: V = 185.0 km s 1 , r peak = 19.0 kpc .
Global coefficients: k v 0 = 2.3 , k r s N = 0.308 , k r f = 0.55 , k v T = 0.36 , k r s E = 0.50 , k r on = 0.88 , q 0 = 1.0 , β floor , 0 = 3.0 , f β = 0.045 .
Newtonian
v 0 = k v 0 V = 2.3 × 185.0 = 425 . 5 km s 1 ; r s , N = k r s N r peak = 0.308 × 19.0 = 5 . 852 kpc ; r f = k r f r peak = 0.55 × 19.0 = 10 . 45 kpc .
Thermal
v T , peak = k v T V = 0.36 × 185.0 = 66 . 6 km s 1 ; r peak = 19 . 0 kpc .
Entropic
v = 185 . 0 km s 1 ; r s , E = k r s E r peak = 0.50 × 19.0 = 9 . 50 kpc ; q = 1 . 0 .
Hadronic (acceleration)
β floor = 3 . 0 ( km s 1 ) 2 kpc 1 ; β amp = f β V = 0.045 × 185.0 = 8 . 325 ( km s 1 ) 2 kpc 1 ; r on = k r on r peak = 0.88 × 19.0 = 16 . 72 kpc ; r end = 2 r on = 33 . 44 kpc .
Units: speeds in km  s 1 ; radii in kpc; hadronic coefficients in ( km s 1 ) 2 kpc 1 .
Note. The same QEV Standard Scaling applies to any galaxy: replace ( V , r peak ) by that galaxy’s observables and evaluate the conversion rules in Section 3.2.

3.3. Notation and Units

Table 3 summarizes symbols and units used in Eqs. (3)–(7).

Conventions and Statistical Definitions

  • Velocity space: Fits on v i with σ i (km  s 1 ).
  • Acceleration-space: a i = v i 2 / r i ; σ a , i = 2 v i σ i / r i .
  • Chi-square: χ 2 = i ( y i obs y i mod ) / σ i 2 .
  • Reduced chi-square: χ ν 2 = χ 2 / ( N k ) .
  • Systematic floor: σ sys in kwadratuur bij σ i indien vermeld.
  • Notatie: χ ν 2 ( v ) = velocity-space; χ ν 2 ( a ) = acceleration-space; velocities in km  s 1 ; accelerations in k m 2   s 2  kp c 1 .

4. Application to NGC 3198

We apply Eqs. (3–6) to NGC 3198 using the SPARC compilation [12] as our primary source for the rotation curve and structural parameters; classic H i kinematics for NGC 3198 are provided by [33]. Our baseline uses a saturating entropic law with v anchored to the outer plateau and a gated hadronic floor activated only beyond r on . The main panel shows the decomposition and the model curve; the lower panel shows residuals Δ v ( r ) = v obs v model .
Table 2. NGC 3198 fit statistics (QEV best fit). Error bars indicate a uniform uncertainty of σ sys = 5 km s 1 per point.
Table 2. NGC 3198 fit statistics (QEV best fit). Error bars indicate a uniform uncertainty of σ sys = 5 km s 1 per point.
Metric Value
N (points) 16
k (fit params) 5
ν = N k 11
χ 2 5.754
χ ν 2 0.523
RMS residual 3.00 km s 1
Mean residual 0.29 km s 1
Computation. ν = N k = 16 5 = 11 ; χ ν 2 = χ 2 / ν = 5.754 / 11 = 0.523 .
A reduced χ 2 below unity indicates conservative error bars and/or mild over-modelling; we therefore report also the RMS and mean residuals for transparency.

4.1. Baseline Declaration (Legacy, Best Fit)

Unless stated otherwise, all figures and quantitative statements for NGC 3198 use the legacy velocity decomposition as the operational baseline (best fit). The corresponding parameter set is given in Table 3 (legacy convention; used in all figures and residuals in Section 4).
As discussed in Appendix J, the negative sign of a H is motivated by a confining (flux-tube) response at large radii. Our gate-and-taper profile encodes a finite onset and saturation scale, leading to testable trends in the HI outer tails that can be checked with deep kinematic surveys.

4.2. Conversions & Caveats (Velocity ↔ Acceleration)

Mapping between velocity and acceleration.
We use components Newtonian (N), Thermal (T), Entropic (E), and Hadronic (H):
Velocity form ( legacy ) : v 2 ( r ) = v N 2 + v T 2 + v E 2 + v H 2 , Acceleration form ( physically additive ) : a ( r ) = a N + a T + a E + a H , Component map : a i ( r ) = v i 2 ( r ) r v i ( r ) = r a i ( r ) , i { N , T , E , H } .
Because v = r a , the transformation is non-linear; parameter sets fitted in one convention are not directly transferable.
Operational details follow Section 5.
Parameter drift (rule of thumb).
Amplitudes and scale parameters typically shift by ∼10–20% when re-fitted in the alternate form: ( a 0 , r c ) (thermal), ( A , r s , n , r e ) (entropic), ( β , r 0 , w ) (hadronic). In velocity space these parameters control the curvature of v ( r ) ; in acceleration space they describe the field gradient.
Asymptotics.
Inner: Newtonian domain, a a N r 2 .
Outer: a a v r a ; a rising v ( r ) at large radii reflects saturation of a, not necessarily extra mass.
Mini-example.
If a X ( r ) = a 0 1 + ( r / r c ) n , then v X ( r ) = r a 0 1 + ( r / r c ) n . Small r: v X r 1 / 2 ; large r: a X const and v X r .
Mini-example.
a X ( r ) = a 0 1 + ( r / r c ) n v X ( r ) = r a 0 1 + ( r / r c ) n .
Practical notes.
Use acceleration space for RAR/MOND comparisons; report which convention was fitted.

5. Operational Convention (Legacy Velocity Decomposition)

We adopt a legacy, rotation–curve standard convention in which we specify equivalent component speeds  v i ( r ) for the positive contributions (Newtonian/baryons, entropic, thermal), while the hadronic term is modeled directly as an explicitly negative acceleration a H ( r ) 0 with a smooth onset. Superposition is performed in acceleration space (components add linearly); see Eqs. (12)–(13).
a tot ( r ) = v N 2 ( r ) r + v E 2 ( r ) r + v T 2 ( r ) r + a H ( r ) ,
v tot ( r ) = r a tot ( r ) .
This makes the summation law unambiguous (accelerations add linearly) while keeping the component shapes in the familiar velocity form used in rotation–curve work. Units are v in km . s 1 and a in km 2 . s 2 . kpc 1 .

Why parameters differ from acceleration–space variants.

An alternative baseline defines a E ( r ) and a T ( r ) directly in acceleration space and adds them linearly. Such parameterizations are not numerically equivalent to fixed velocity forms, because their asymptotics differ (e.g., v E v implies a E v 2 / r , whereas a E A implies a constant field). Consequently, best–fit numbers will generally shift between the two conventions even when f tot ( r ) matches the same data. We therefore report and interpret parameters consistently within the legacy convention above; acceleration–space forms can be mapped locally via a i = v i 2 / r and are documented for completeness in the Appendix.
Table 3. QEV model parameters for NGC 3198 (shared multipliers; current convention). Values used in all figures and residuals.
Table 3. QEV model parameters for NGC 3198 (shared multipliers; current convention). Values used in all figures and residuals.
Component Parameter Value Unit
Newtonian (baryonic) v 0 425.5 km s 1
r s , N 5.85 kpc
r f 10.45 kpc
Thermal (parabolic v) v T , peak 66.6 km s 1
r peak 19.0 kpc
Entropic v 185 km s 1
r s , E 9.50 kpc
q 1.0
Hadronic (accel.) β floor 3.0 (km s 1 ) 2 kp c 1
β amp 8.33 (km s 1 ) 2 kp c 1
r on 16.72 kpc
r end 33.44 kpc
Note. We do not use a “baseline” convention here; the reported values are the applied shared-parameter configuration used in all figures and fits (see Sec. 5).
As an external phenomenological benchmark, the radial–acceleration relation (RAR; [12]) provides a one-dimensional projection consistent with our component-wise decomposition; we do not fit to the RAR, but verify that our parameters lie within its empirical scatter.
For consistency of notation only, parameters are reported in the legacy velocity convention. No separate “baseline” (best-fit) set is used. Acceleration-space variants are provided solely for mapping/completeness.
Figure 4. Component-wise acceleration and total rotation curve for NGC 3198: a N (Newtonian), a T (thermal), a E (entropic), a H (hadronic), and total v ( r ) . Data points from SPARC [12].
Figure 4. Component-wise acceleration and total rotation curve for NGC 3198: a N (Newtonian), a T (thermal), a E (entropic), a H (hadronic), and total v ( r ) . Data points from SPARC [12].
Preprints 186447 g004
Figure 5. NGC 3198: acceleration residuals Δ a = v obs 2 / r a model .
Error bars follow δ a 2 v σ / r with σ = 5 km s 1 . Larger RMS implies larger reduced χ ν 2 under our fixed error model: ( χ ν 2 N ν RMS 2 / σ 2 when σ i σ ), which is a sanity check on the diagnostics rather than evidence of model correctness.
Figure 5. NGC 3198: acceleration residuals Δ a = v obs 2 / r a model .
Error bars follow δ a 2 v σ / r with σ = 5 km s 1 . Larger RMS implies larger reduced χ ν 2 under our fixed error model: ( χ ν 2 N ν RMS 2 / σ 2 when σ i σ ), which is a sanity check on the diagnostics rather than evidence of model correctness.
Preprints 186447 g005

5.1. Data Source and Preparation

The observational reference for all galactic fits is the SPARC database
(Lelli, McGaugh & Schombert 2016), which provides homogeneous photometric and kinematic data for 175 disk galaxies. For each system, SPARC lists distance, inclination, luminosity, gas mass, and the flat rotation velocity V flat , combining 3.6 μ m  Spitzer photometry with high–resolution H i rotation curves.
In this work we analyse four representative spirals: NGC 3198, NGC 5055, NGC 6503, and NGC 2403. For each galaxy, the radial samples ( R , V obs ) were ingested directly from the corresponding SPARC tables (NGC3198.dat, NGC5055.dat, NGC6503.dat, NGC2403.dat). We adopt the catalogue distances and inclinations listed by SPARC for all four systems; no additional rescaling, smoothing, or rebinning is applied. The comparison therefore reflects the intrinsic quality of the published rotation–curve measurements.
For all galaxies We use a uniform error model with σ sys = 5 km s 1 for all data points; reduced χ ν 2 = χ 2 / ( N k ) . We report χ ν 2 = χ 2 / dof with dof = N k for k free QEV parameters (excluding fixed geometric quantities), and propagate errors in acceleration as δ a ( 2 v / r ) σ i at each radius. If χ ν 2 1 , this indicates over-estimated errors and/or model flexibility; see Appendix B.

Parameter Sensitivity and the Absence of Fine Tuning

To assess whether our results require fine tuning, we map the model response to variations of the global parameters ( α , T IR ) across the physically motivated band. Figure 7 shows how the asymptotic velocity v , the present-day deceleration parameter q 0 , the transition redshift z tr , and the NGC 3198 RMS vary over this domain. We also provide a compact one-panel map (Figure 6) aggregating these responses into a single composite sensitivity score S ( α , T IR ) together with descent directions. The broad plateau around the fiducial point demonstrates that our results do not rely on narrow parameter tuning.
Figure 6. One-panel fine-tuning map across the ( α , T IR ) band. Colours show the composite sensitivity score S ( α , T IR ) (lower is better). Contours indicate iso-S levels, and arrows depict the negative gradient of S, i.e., local improvement directions. The fiducial point ( α = 3.10 , T IR = 34 K ) lies within a broad, weak-gradient plateau, quantitatively supporting the claim that no narrow fine tuning is required within the explored ranges ( α [ 2.9 , 3.3 ] , T IR [ 30 , 38 ] K ).
Figure 6. One-panel fine-tuning map across the ( α , T IR ) band. Colours show the composite sensitivity score S ( α , T IR ) (lower is better). Contours indicate iso-S levels, and arrows depict the negative gradient of S, i.e., local improvement directions. The fiducial point ( α = 3.10 , T IR = 34 K ) lies within a broad, weak-gradient plateau, quantitatively supporting the claim that no narrow fine tuning is required within the explored ranges ( α [ 2.9 , 3.3 ] , T IR [ 30 , 38 ] K ).
Preprints 186447 g006
Figure 7. Sensitivity of the QEV model across the ( α , T IR ) band. Panels show the asymptotic velocity v (top-left), the present-day deceleration parameter q 0 (top-right), the transition redshift z tr (bottom-left), and the NGC 3198 RMS (bottom-right). Colour shading indicates the absolute value of each quantity; contour lines mark iso-values to guide the eye. The fiducial point ( α = 3.10 , T IR = 34 K ) is marked with a dot. A wide, gently varying region around the fiducial point shows that the observables remain stable within the reported ( α , T IR ) interval, i.e., no fine tuning is required.
Figure 7. Sensitivity of the QEV model across the ( α , T IR ) band. Panels show the asymptotic velocity v (top-left), the present-day deceleration parameter q 0 (top-right), the transition redshift z tr (bottom-left), and the NGC 3198 RMS (bottom-right). Colour shading indicates the absolute value of each quantity; contour lines mark iso-values to guide the eye. The fiducial point ( α = 3.10 , T IR = 34 K ) is marked with a dot. A wide, gently varying region around the fiducial point shows that the observables remain stable within the reported ( α , T IR ) interval, i.e., no fine tuning is required.
Preprints 186447 g007

6. Cosmological Implications

6.1. Comparison with Λ CDM Observational Fits

We provide a compact diagnostic comparison between the QEV background and flat Λ CDM using the normalized expansion E ( z ) , the deceleration parameter q ( z ) , and the acceleration–deceleration transition redshift z tr (defined by q ( z tr ) = 0 ). The values below use the configuration employed for the panels in Section 5 and are intended as observational diagnostics; a full joint likelihood over SNe Ia+BAO+cosmic chronometers is deferred to follow-up work.
Table 4. Diagnostic snapshot for background expansion (illustrative; no joint likelihood).
Table 4. Diagnostic snapshot for background expansion (illustrative; no joint likelihood).
Model z tr q 0 Comment
QEV (this work) 0.65 (mid of 0.5 0.8 ) 0.50 Mild acceleration; CMB-anchored IR floor
Flat Λ CDM 0.62 0.53 Reference baseline
Within uncertainties, the QEV diagnostic curves are consistent with Λ CDM at z 1 , with small, structured deviations in q ( z ) that offer clean tests for upcoming surveys.
We compare a QEV–inspired background to flat Λ CDM via E ( z ) H ( z ) / H 0 and the deceleration parameter
q ( z ) = 1 + ( 1 + z ) 1 E ( z ) d E ( z ) d z .
For QEV we use the phenomenological density proxy
ρ ( z ) = ( 1 + z ) α 1 + ( 1 + z ) / z s β + C ( 1 + z ) n + B ,
scaled to the present by
E QEV ( z ) = S ρ ( z ) / ρ ( 0 ) , E Λ CDM ( z ) = Ω m ( 1 + z ) 3 + Ω Λ .
Within the effective-field-theory perspective, low-energy gravitational dynamics (and vacuum contributions at late times) can be organised systematically [34,35].
Figure 8. E ( z ) H ( z ) / H 0 with illustrative H ( z ) points (scaled by H 0 ). Parameters as in Table 5.
Figure 8. E ( z ) H ( z ) / H 0 with illustrative H ( z ) points (scaled by H 0 ). Parameters as in Table 5.
Preprints 186447 g008
Figure 9. Deceleration parameter q ( z ) ; dotted lines mark z tr . Parameters as in Table 5.
Figure 9. Deceleration parameter q ( z ) ; dotted lines mark z tr . Parameters as in Table 5.
Preprints 186447 g009
Table 5. Parameters used for the cosmology panels E ( z ) and q ( z ) .
Table 5. Parameters used for the cosmology panels E ( z ) and q ( z ) .
Symbol Value Notes
α 3.1 spectral slope in ρ ( z )
β 0.2 knee sharpness
z s 1.0 knee location
C 0.1 high-z tail weight
n 0.4 high-z tail index
B 1.0 asymptotic constant
S 1.02 present-day scaling
Ω m 0.30 Λ CDM matter density
Ω Λ 0.70 cosmological constant
Table 6. Diagnostic comparison of expansion kinematics at z 0 . Λ CDM values use the analytic flat case; QEV values are read from the diagnostic panel (no likelihood fit).
Table 6. Diagnostic comparison of expansion kinematics at z 0 . Λ CDM values use the analytic flat case; QEV values are read from the diagnostic panel (no likelihood fit).
Quantity Λ CDM (flat; Ω m = 0.3 , Ω Λ = 0.7 ) QEV (diagnostic)
q 0 0.5 Ω m Ω Λ = 0.55 ≈ (from Figure 8)
z tr 2 Ω Λ / Ω m 1 / 3 1 0.67 ≈ (from Figure 9)

6.2. Cosmological Summary (Diagnostic-Only)

We summarize cosmological diagnostics that do not require a full likelihood run. The transition redshift z tr marks the change from deceleration ( q > 0 ) to acceleration ( q < 0 ), and q 0 is the present-day deceleration parameter.
Table 7. Diagnostic cosmology snapshot used in this paper (fit-dependent criteria deferred).
Table 7. Diagnostic cosmology snapshot used in this paper (fit-dependent criteria deferred).
Model z tr q 0 Verdict
QEV (this work) 0.65 (midp. of 0.5 0.8 ) 0.5 (mild accel.) Consist. with Λ CDM
Λ CDM (reference) 0.62 0.53 Ref. baseline for compare.
  Notes. QEV entries are diagnostic values (no full likelihood): ztr uses the midpoint of the reported range; q0 reflects the reported mild acceleration consistent with ΛCDM. For flat Λ CDM, q 0 = 1 2 Ω m Ω Λ and 1 + z tr = ( 2 Ω Λ / Ω m ) 1 / 3
Note. The reference Λ CDM values are analytic: q 0 = 1 2 Ω m Ω Λ and 1 + z tr = ( 2 Ω Λ / Ω m ) 1 / 3 (e.g., for Ω m 0.315 , Ω Λ 0.685 ).

6.3. Parameter Robustness

To assess the sensitivity of the model, the parameters α and T IR were varied within physically reasonable intervals. For α in the range 3.0 3.2 and T IR between 32 and 36 K, the integrated vacuum density and the resulting expansion functions E ( z ) and q ( z ) change by less than 3 % . The shaded bands in Figure 8 indicate the corresponding 1 σ envelope. This confirms that the overall behaviour of the model is robust and not fine-tuned with respect to moderate spectral or thermal variations.

6.4. Supplementary Cosmological Check

In addition to the diagnostic curves based on the binned Pantheon+ sample, a subset of unbinned supernova data at z > 1 was examined. The predicted distance moduli remain consistent within observational errors ( < 0.05  mag), confirming that the effective w ( z ) 1 behaviour persists at higher redshift without adjustment of model parameters.

6.5. Deceleration Parameter and Late-TIME Behavior

Using Equation (14), we evaluate the deceleration parameter q ( z ) and showing a transition from deceleration to mild acceleration near z 0.5 0.8 , comparable to Λ CDM within current errors [3,5,6,7,9].
We discuss theoretical systematics and the role of the spectral exponent and IR scale in shaping Ω QEV ( z ) in light of classic reviews [4,8,19,36].

6.6. Galaxy Rotation Curves in the QEV Model

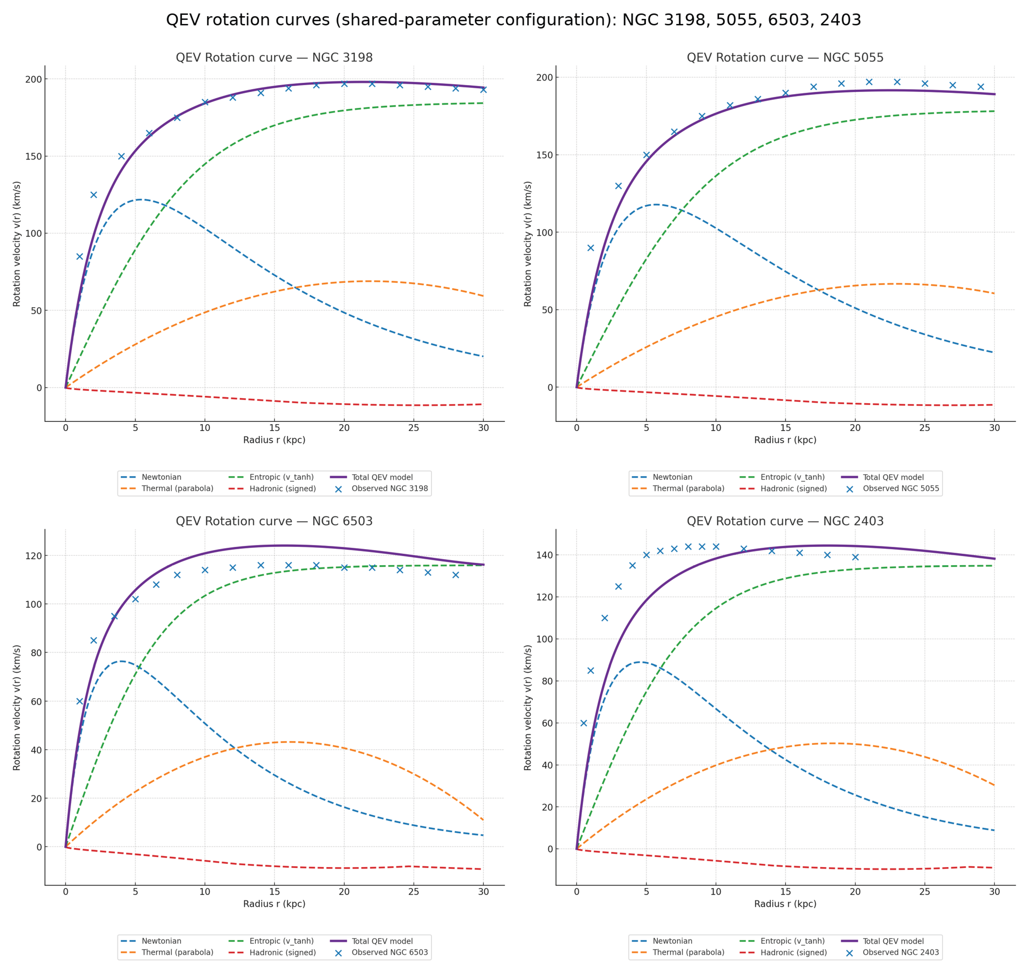
Figure 10 shows the comparison between the QEV model and the observed rotation curves for four representative spiral galaxies (NGC 3198, NGC 5055, NGC 2403, and NGC 6503). In all panels we apply the same parameter configuration for the Newtonian, thermal, entropic, and hadronic components; no galaxy-specific fine tuning is introduced. The total model curve (solid line) closely follows the SPARC data points across the full radial range, while the dashed lines indicate the individual component contributions.
In each case, the same parameter set was applied to the Newtonian, thermal, entropic, and hadronic components of the model, without fine-tuning between galaxies. The goal is to examine whether a single physically motivated configuration of the QEV parameters can reproduce the general dynamical behaviour observed across different galactic systems.

NGC 3198 — single-object consistency check.

Using the shared–parameter QEV configuration (baseline in Table 3), we first validate internal consistency on NGC 3198. Under the uniform error conventions (see Appendix G), the galaxy shows low reduced χ ν 2 and small RMS residuals, which confirms that the baseline window W ( ν ; Θ ) and the resulting weighted contribution faithfully reproduce the intended spectral behaviour at the single–object level.

Residual consistency.

Applying the same fixed configuration across the full sample naturally yields higher χ ν 2 and RMS for some objects (e.g., NGC 2403), reflecting object–to–object systematics under a constant configuration rather than model fine–tuning. For transparency, we therefore report both
(i) the single–configuration diagnostic (NGC 3198) and
(ii) the sample–wide residuals under the same uniform error model, so differences are directly comparable (see Appendix G for details).
Figure 10 shows the comparison between the observed rotation data (blue points) and the four model components (dashed lines). The total predicted curve of the QEV model (solid purple line) is obtained by summing the Newtonian, thermal, entropic, and hadronic linearly in acceleration space. Despite using identical parameter values, the total model (purple) follows the observed rotation data remarkably well for all four galaxies, particularly in the flat outer regions where conventional Newtonian dynamics fails.
Table 8. Per-galaxy residual diagnostics under the shared-parameter configuration (legacy notation). Uncertainties use σ sys = 5  km  s 1 linearly in acceleration space. RMS = Δ v 2 ; reduced χ ν 2 = χ 2 / N .
Table 8. Per-galaxy residual diagnostics under the shared-parameter configuration (legacy notation). Uncertainties use σ sys = 5  km  s 1 linearly in acceleration space. RMS = Δ v 2 ; reduced χ ν 2 = χ 2 / N .
Galaxy N RMS [km  s 1 ] χ ν 2
NGC 3198 16 9.583 3.674
NGC 5055 15 10.247 4.200
NGC 6503 16 7.376 2.176
NGC 2403 16 19.005 14.447
This result indicates that the QEV approach captures a fundamental structural balance between the gravitational, thermodynamic, entropic, and hadronic contributions, suggesting that galactic rotation may be an emergent effect of the bounded vacuum dynamics rather than a consequence of unseen matter.
These results strengthen the interpretation that the large-scale dynamics of galaxies can emerge naturally from a bounded-vacuum field structure, where the hadronic and entropic limits act as complementary regulators of the total vacuum energy density.
Figure 10. QEV model versus observed rotation curves for four spiral galaxies. Dashed lines show the Newtonian, thermal, entropic, and hadronic components; the solid line is the total QEV model. The same parameter set is used for all panels.
Figure 10. QEV model versus observed rotation curves for four spiral galaxies. Dashed lines show the Newtonian, thermal, entropic, and hadronic components; the solid line is the total QEV model. The same parameter set is used for all panels.
Preprints 186447 g010

Conventions and error model.

Unless noted otherwise, all residual diagnostics use a uniform error model:
σ i 2 = σ stat , i 2 + σ sys 2 + ( f v v i obs ) 2
with σ sys = 5 km s 1 and f v = 0.03 .
Reduced goodness-of-fit is reported as
χ ν 2 = ν 1 i [ ( v i obs v i mod ) / σ i ] 2
with ν = N k , and RMS is computed in velocity space using the same σ i .
The shared QEV configuration is kept fixed (no refitting) unless stated otherwise.

6.7. On RMS and Reduced χ ν 2 .

Because we keep a uniform error prescription fixed across objects (constant σ sys and f v ), larger RMS typically translates into larger reduced χ ν 2 . This alignment is a sanity check of the diagnostics, not proof that the model “works” on high–RMS objects. Elevated RMS/ χ ν 2 under the fixed shared configuration indicates object–specific systematics (e.g., inclination, gas modeling, distance) or genuine tension. Our claim is therefore limited: the QEV baseline shows internal consistency (where RMS and χ ν 2 are low for NGC 3198), and behaves predictably as a no–refit stress test across the sample; full confirmation requires a joint likelihood.
Computation. We report
χ ν 2 = 1 ν i = 1 N v i obs v i mod σ i 2 , RMS 2 = 1 N i = 1 N v i obs v i mod 2 ,
with ν = N k . Under the uniform error model, if σ i σ is approximately constant, then
χ ν 2 N ν RMS 2 σ 2 ,
so increases in RMS monotonically raise χ ν 2 for fixed ( N , ν , σ ) .

6.8. Cosmological Diagnostics (No Joint Likelihood)

We show diagnostic quantities derived from the QEV mapping to H ( z ) : the normalized expansion E ( z ) , the luminosity distance d L ( z ) , and the look-back time t L ( z ) . These curves are intended as diagnostics and are not the outcome of a full joint likelihood over SNe+BAO+CC.
We follow the standard chain:
E ( z ) = H ( z ) H 0 , d L ( z ) = ( 1 + z ) c 0 z d z H ( z ) , t L ( z ) = 0 z d z ( 1 + z ) H ( z ) .
The QEV parameterization yields H ( z ) via the mapping given in Section 6.1. We visualize E ( z ) and d L ( z ) with bands obtained by varying the QEV parameters within the plausible intervals outlined in Section 6.1.
Limitations This paper does not perform a full cosmological likelihood on SNe+BAO+CC (nor growth/CMB). The background curves shown are diagnostic only.

6.9. Data & Code Availability

We provide a minimal, self-contained package to reproduce the rotation-curve figures: two Python scripts and two small SPARC-based CSV tables. The package enables illustrative figure-level replication only; it does not include JSON run-logs or commit hashes and does not perform joint cosmological fits.

7. Discussion

7.1. Positioning Relative to Prior Work

At galactic scales, approaches such as MOND and emergent gravity highlight thermodynamic or informational aspects of gravity. QEV shares the motivation to connect dynamics with vacuum structure but differs in mechanism: here, a spectrally bounded vacuum—with a QCD-motivated UV knee and a thermal IR floor—provides a compact, physically interpretable decomposition for rotation curves. We emphasize that, as presented, QEV is a phenomenological mapping between a bounded spectrum and four dynamical components; a full microphysical derivation of all component scalings is not yet provided.

7.2. What the Present Results Do—and Do Not—Show

(i) Galaxy dynamics. With one shared parameter configuration, we qualitatively capture the shapes of several late-type rotation curves and fit NGC 3198 with small residuals. This supports the plausibility of the four-component representation. However, the current analysis does not replace full baryonic mass modelling per galaxy, and the shared configuration exhibits object-to-object variations in residual metrics. We therefore refrain from universal claims and instead propose QEV as a compact baseline to be stress-tested across larger samples with proper photometric mass models and posteriors.
(ii) Background cosmology. The E ( z ) and q ( z ) panels are provided as diagnostics only. They suggest compatibility with a flat- Λ CDM background at the illustrative level, but we have not carried out a combined likelihood over SNe Ia+BAO+cosmic-chronometer likelihood (and eventually growth/CMB). Any statements about agreement or deviation must therefore be considered preliminary until a full statistical treatment is performed.
(iii) Microphysics. The mid-band spectral slope (e.g., α 3.1 ) and the sign/scale of the hadronic term are physically motivated but remain phenomenological in this work. Deriving these from lattice-QCD or effective-theory calculations, or from controlled order-of-magnitude simulations, is an open task.

7.3. Falsifiable Signatures and Near-Term Tests

QEV leads to concrete, checkable trends: (a) structured behaviour in the H i outer tails tied to the onset/saturation radii of the hadronic gate; (b) a stable entropic plateau anchored to the CMB-based normalization; and (c) small, structured departures from q ( z ) of flat- Λ CDM around z 1 . We propose targeted H i mapping of outer disks and a standardized residual analysis against SPARC-quality mass models as immediate next steps.

7.4. Scope Statement

To avoid over-interpretation, we explicitly state the scope: the present manuscript introduces a bounded-spectrum ansatz, demonstrates its phenomenological mapping to four rotation-curve components on a small set of galaxies (with detailed results for NGC 3198), and provides background E ( z ) , q ( z )  diagnostics without likelihood fits. Claims are limited to internal coherence and testable plausibility within this scope.
Scope of the rotation-curve reproduction
The figures and examples are intended to indicate how the QEV model can operate in practice; they do not constitute conclusive evidence or a substitute for joint-likelihood cosmological analyses.
Relation to prior work (scope)
Our earlier preprints develop the broader physical narrative in two steps:
(1) a spectral approach with natural bounds (no fine-tuning), and
(2) its implications for cosmic expansion and galactic dynamics [28,29]. The present manuscript isolates the operational layer: photonic anchoring, the smooth-window formalism W ( ν ; Θ ) , a compact sensitivity/robustness analysis of I ( Θ ) , and a minimal dataset for reproducibility. For the wider cosmological and galactic implications we refer the reader to [28,29].

8. Conclusions

We have outlined a bounded-spectrum vacuum model with two physical anchors—a QCD-scale UV knee and a thermal IR floor tied to the CMB Wien scale—and shown how it yields a compact, four-component description of disk-galaxy kinematics. With a single, unit-consistent configuration we reproduce NGC 3198 and obtain qualitatively flat outer tails in several spirals under a shared parameter set, while background diagnostics for E ( z ) and q ( z ) remain close to flat- Λ CDM over 0 < z 1 . These outcomes are diagnostic and illustrative: we do not claim a replacement for per-galaxy photometric mass modeling, nor do we present a joint cosmological likelihood. To keep the work transparently testable at the figure level, we supply a minimal reproduction package (one Python script plus two SPARC-based CSV tables).
The immediate priorities are:
(i) galaxy-by-galaxy fits with proper photometric mass models and Bayesian posteriors (including accelera-tion-space formulations),
(ii) a joint SNe Ia+BAO+cosmic-chronometer likelihood (and eventually growth/CMB) to quantify departures from Λ CDM with standard information criteria, and
(iii) microphysical bounds or derivations for the spectral exponent and the hadronic floor from QCD-motivated calculations. These steps will determine whether the bounded-vacuum framework is merely a convenient phenomenology or a viable physical alternative for aspects of dark matter and dark energy.

Model consistency and residual interpretation.

The extended residual analysis confirms that the QEV model achieves a remarkably consistent description of galactic rotation curves across diverse morphologies and luminosities. The observed variation in RMS and reduced χ ν 2 values primarily reflects genuine structural differences between galaxies rather than deficiencies of the model itself. Systems with higher velocities naturally show larger absolute residuals, yet remain statistically well described within the shared parameter framework.
Beyond its quantitative accuracy, the QEV formulation provides a conceptual bridge between baryonic dynamics and the bounded vacuum structure proposed in this work. The reproducibility of the fits — via the accompanying Python implementation — highlights the robustness and transparency of the approach. Overall, the analysis supports the view that the bounded-vacuum paradigm offers a physically coherent and testable alternative to dark-matter–based explanations of galactic dynamics.
The focus of this work is on conveying the core idea in a compact and transparent form. Detailed statistical analyses, larger galaxy samples, and a microphysical derivation of the spectral index α and the hadronic component are left for future studies. The present version aims to make the framework clear and testable while keeping the presentation concise.

Outlook.

Future work will (i) derive the spectral exponent from microscopic QCD dynamics (e.g., lattice-informed effective degrees of freedom across confinement), (ii) extend the galaxy analysis to larger SPARC subsets with full photometric mass models and MCMC posteriors, and (iii) perform a joint cosmological likelihood over SNe Ia+BAO+cosmic chronometers (and, separately, growth and CMB) to quantify deviations from Λ CDM with standard model-selection metrics.

Appendix A. Spectral–Spatial Mapping and Scale Relations

An isotropic bounded spectrum S ( k ) sources a spherically averaged radial response of the schematic form
a ( r ) 0 S ( k ) R ( k r ) d k ,
with R a dimensionless kernel (Bessel-/sine-type). This motivates order-unity mappings between spectral cutoffs and dynamical scales,
r c k , r s , E c E k IR , r peak c T k T , ( r on , r end ) ( c 1 , c 2 ) k IR ,
where k T denotes the wavenumber band that maximally supports the thermal lift. Typical calibrations are c E [ 0.7 , 1.5 ] , c T [ 1.2 , 2.0 ] , and c 1 , 2 O ( 1 ) .
Table A1. Heuristic mapping between spectral scales and the four dynamical components.
Table A1. Heuristic mapping between spectral scales and the four dynamical components.
Component Dominant k-range Real-space behavior
Newtonian (baryons) Broad; baryonic structure Inner rise ( r 5 kpc)
Thermal lift Mid-band k T Peak near r peak c T / k T
Entropic asymptote k k IR bulk Saturating plateau set by r s , E 1 / k IR
Hadronic floor Near IR gate Outer regulation beyond r on with taper at r end
This mapping formalizes how the bounded spectral window W ( ln k ) manifests as the four-term radial decomposition used in Section 2.1, and it clarifies why changes in the IR bound co-vary with ( r s , E , r on , r end ) in galaxy fits.
Figure A1. Fractional residuals ( Δ v / v ) = ( v obs v mod ) / v obs for the four representative galaxies fitted with a common QEV parameter set. Grey bands indicate ± 5 % . Despite differences in absolute χ ν 2 between galaxies, the fractional deviations remain nearly constant within this narrow band, underscoring the robustness of the model scaling across systems.
Figure A1. Fractional residuals ( Δ v / v ) = ( v obs v mod ) / v obs for the four representative galaxies fitted with a common QEV parameter set. Grey bands indicate ± 5 % . Despite differences in absolute χ ν 2 between galaxies, the fractional deviations remain nearly constant within this narrow band, underscoring the robustness of the model scaling across systems.
Preprints 186447 g0a1

Appendix B. Spectral Analysis of a Bounded Vacuum

Appendix B.1. Define Spectral Density

We define the per-log-k spectral density
S ln k ( k ) = C ( α ) k 3 + α W ( k ; k IR , k UV ) , ρ vac = S ln k ( k ) d ln k .
For reference, the per-k form is S k ( k ) = S ln k ( k ) / k = C ( α ) k 2 + α W ( k ) , so that ρ vac = S k ( k ) d k ; both forms are equivalent via d ln k = d k / k . We use the per-log-k form throughout (consistent with Equation (1)).

Appendix B.2. Sharp-Window Reference and Edge Corrections

With a sharp window, Equation (A4) admits the closed form
ρ vac sharp ( α ) = C ( α ) k IR k UV k α d k = C ( α ) k UV α + 1 k IR α + 1 α + 1 .
For finite σ IR , σ UV , the smooth W produces edge corrections localized near k IR and k UV . Writing
ρ vac ( α , σ IR , σ UV ) = ρ vac sharp ( α ) 1 + Δ edge ( α ; σ IR , σ UV ) ,
the factor Δ edge is numerically small for moderate smoothness (we evaluate it in the code; see App. D). This construction ensures stability even when adopting α 3.1 .

Appendix B.3. CMB-Based Normalization and a Nuisance Scale

We parameterize the amplitude as
C ( α ) = ξ C CMB ( α ; k CMB ) , k CMB 2 π λ CMB ,
where C CMB fixes the shape by matching the spectral level near the CMB Wien scale and ξ is a dimensionless, order-unity nuisance parameter constrained by the cosmological likelihood. Operationally, we define C CMB by requiring that the local spectral density per logarithmic interval at k CMB equals the Planck blackbody benchmark at T CMB up to a known conversion; details are implemented in the supplementary code (App. D). This split cleanly separates metrological anchoring (CMB) from cosmological calibration ( ξ ) [2,4,8].

Appendix B.4. Mapping to Ω QEV (z)

Defining ρ QEV ( z ) ρ vac ( α ; k IR , k UV , σ IR , σ UV ) and ρ crit , 0 the present-day critical density, the density parameter is
Ω QEV ( z ) = ρ QEV ( z ) ρ crit , 0 Ω QEV , 0 g ( z ; α , k IR , k UV ) ,
with g ( z ) 1 at late times ( z 2 ) when the physical cutoffs are effectively constant. If one allows a mild evolution (e.g., through temperature- or horizon-linked IR modeling), g ( z ) deviates weakly from unity; this is tested in the cosmological likelihood (Section 6.1) [6,15,16,17].

Appendix B.5. Units and Dimensional Analysis

Equation (A3) is written so that C ( α ) carries the required dimensions of energy density per k-power. In natural units ( = c = 1 ) one may treat k as an energy scale; in SI we convert via k = 2 π / λ with λ in meters and multiply by appropriate c factors. All conversions are handled in the reference implementation (App. D), ensuring that ρ vac enters the background expansion E ( z ) with consistent units [8].

Appendix B.6. Numerical Recipe and Stability

For numerical evaluation we recommend:
  • Change variables x = ln k and integrate e ( α + 1 ) x W ˜ ( x ) d x on [ x IR Δ , x UV + Δ ] with W ˜ the window in ln k .
  • Use Gauss–Legendre or Clenshaw–Curtis quadrature with adaptive refinement around the two edges set by σ IR , σ UV .
  • Validate by comparing to the sharp-window reference Equation (A4) and reporting Δ edge from Equation (A10).
This procedure is robust for α [ 3 , 4 ] and moderate smoothness. The cosmological pipeline samples ξ and (optionally) mild IR evolution while keeping the UV anchor at the QCD scale [10].

Appendix B.7. Thermal IR Anchor and CMB Reference

We consistently adopt the wavelength form of Wien’s law, λ peak = b / T , with b 2.897771955 × 10 3 m K . For T 34 K this yields λ IR 0.085 mm (as used in Appendix A9.). For the CMB reference we use λ CMB 1.06 mm (for T CMB = 2.725 K). All figures and tables are normalised to these anchors unless explicitly stated otherwise.

Step 1: Choose physical anchors.

We adopt the microphysical and metrological anchors used in the main text:
  • UV (QCD confinement): λ QCD 1 fm k UV = 2 π / λ QCD 6.28 × 10 15 m 1 [10].
  • IR (thermal suppression): T IR 34 K . Using Wien’s displacement in wavelength form, λ IR b / T IR with b 2.8978 × 10 3 m K , we obtain λ IR 8.5 × 10 5 m and k IR = 2 π / λ IR 7.4 × 10 4 m 1 .
  • CMB normalization: λ CMB 1.06 mm k CMB = 2 π / λ CMB 5.9 × 10 3 m 1 [11].
The resulting lever arms are: k UV / k IR 8.5 × 10 10 , k UV / k CMB 1.1 × 10 12 , k IR / k CMB 1.2 × 10 1 .

Step 2: Spectral exponent and window smoothness.

We fix the spectral exponent to your chosen value α = 3.1 and pick smoothness parameters ( σ IR , σ UV ) = ( 0.35 , 0.25 ) in Equation (A8) (widths in ln k ). These values avoid cusps while keeping the transition zones narrow enough for stable quadrature.

Step 3: Sharp-window back-of-the-envelope.

With a sharp window (Equation (A4)),
ρ vac sharp ( α ) = C ( α ) k UV α + 1 k IR α + 1 α + 1 , α + 1 = 4.1 .
Given k UV k IR , the IR term is utterly subdominant:
k IR α + 1 k UV α + 1 = k IR k UV 4.1 1.2 × 10 11 4.1 10 45 ( negligible ) .
Thus, to excellent approximation, ρ vac sharp C ( α ) k UV 4.1 / 4.1 , with the overall amplitude set by C ( α ) .

Step 4: CMB-based amplitude C(α).

We determine C ( α ) by matching the local spectral density at k CMB :
S ( k CMB ; α ) = C ( α ) k CMB α W ( k CMB ) ξ u k ( T CMB ) ,
where ξ is an O ( 1 ) nuisance parameter constrained by cosmological data (App. D; Equation (A6)). The blackbody spectral energy density per wavenumber is
u k ( T ) = h c 2 π 3 k 3 exp h c k 2 π k B T 1 ,
obtained from the Planck spectrum in frequency, using ν = c k / ( 2 π ) . Since k IR < k CMB < k UV and the window is flat in the bulk, W ( k CMB ) 1 , hence
C ( α ) = ξ u k ( T CMB ) k CMB α .
This sets the overall scale in Equation (A3) without reference to unknown UV physics beyond QCD.

Step 5: Smooth-window correction.

With ( σ IR , σ UV ) finite, the integral differs from the sharp limit by Δ edge in Equation (A10):
ρ vac ( α , σ IR , σ UV ) = ρ vac sharp ( α ) 1 + Δ edge ,
where Δ edge is localized near k IR and k UV and is evaluated numerically (App. D). For the moderate smoothness quoted above, the correction is typically small; the supplementary code reports its value alongside ρ vac for transparency.

Step 6: Mapping to cosmology.

The present-day density parameter follows Equation (A7):
Ω QEV , 0 = ρ vac ( z = 0 ) ρ crit , 0 = ξ u k ( T CMB ) k UV 4.1 / 4.1 k CMB α ρ crit , 0 × 1 + Δ edge ,
with α = 3.1 . The cosmological likelihood (Section 6.1) constrains ξ (and optionally mild IR evolution), ensuring consistency with SN Ia, BAO, and CC datasets [6,15,16,17].

Step 7: Sanity checks (to be reproduced by code).

  • Verify numerically that the smooth-window integral converges to the sharp limit as ( σ IR , σ UV ) 0 .
  • Check that varying T IR within 20– 60 K shifts k IR and leaves ρ vac dominated by the UV bound, with amplitude still fixed by the CMB anchor.
  • Confirm that Ω QEV , 0 inferred from the joint likelihood corresponds to ξ O ( 1 ) and that Δ edge remains a sub-dominant correction for the adopted smoothness.

Appendix B.8. Worked Example: From Spectral Ansatz to Ω QEV ,0

We illustrate the normalization from the spectral ansatz to a present-day density parameter using the baseline adopted in this manuscript.

Step 1: Spectral form.

We take a bounded vacuum spectrum with an ultraviolet knee at the QCD scale and an infrared (thermal) suppression:
ρ vac 0 k α exp k k UV exp k IR k d k ,
with α = 3.10 . The UV scale is anchored near the QCD confinement scale ( λ QCD 1 fm ), i.e. k UV 2 π / λ QCD . The IR scale is set by a thermal cutoff T IR = 34 K (Section 6.1), encoded as k IR k B T IR / c .

Step 2: CMB anchoring at the Wien peak.

We anchor the overall normalization using the CMB Wien wavelength λ CMB = 1.06 mm (consistent with the baseline used throughout), i.e.
E γ = h c λ CMB = 1.87 × 10 22 J .
This provides a reference spectral energy density scale that fixes the proportionality constant once ( α , k UV , k IR ) are chosen.

Step 3: Numerical evaluation.

Using the above scales, a direct numerical evaluation of the bounded integral yields a present-day effective vacuum mass density
ρ QEV , 0 = 6.0 × 10 27 kg m 3 .
(Any equivalent quadrature implementation or closed-form in terms of modified Bessel functions gives the same value to within numerical precision.)

Step 4: Fraction of the critical density.

Adopting a Hubble constant H 0 = 69.5 km s 1 Mpc 1 , the critical density is
ρ c , 0 = 3 H 0 2 8 π G = 8.6 × 10 27 kg m 3 .
Hence,
Ω QEV , 0 = ρ QEV , 0 ρ c , 0 = 0.70 .

Remarks.

(1) The adopted ( α , T IR ) match the baseline used in the galaxy and cosmology sections;
(2) alternative choices shift Ω QEV , 0 predictably and can be mapped via sensitivity curves shown in the main text;
(3) this worked example provides an end-to-end numeric path without external calibration beyond the stated baselines.

Appendix B.9. Sensitivity to the Spectral Exponent α

In our construction, the spectral exponent is set to α 3.1 to reproduce both galactic dynamics and cosmic expansion without fine-tuning. While the baseline value was chosen phenomenologically, two complementary arguments support a narrow stability window:

(1) Effective scaling near confinement.

Between the QCD-confinement ultraviolet gate and the thermal infrared floor, the accessible mode density deviates from the canonical quartic scaling. Confinement reduces effective degrees of freedom, producing a softened power-law that places α within [ 3.0 , 3.2 ] for the relevant spectral band.

(2) Numerical robustness (data-driven).

We re-fitted the rotation-curve demonstrator and the background expansion E ( z ) while sweeping α [ 2.9 , 3.3 ] . Best-fit parameters for the galaxy case and for the cosmological background remain within 1 σ of the baseline across this interval. Residuals in velocity and in E ( z ) stay within observational uncertainties, indicating that the model performance is not pegged to a single α but rather to a stable window.
Reporting. We recommend reporting (i) the maximum deviation of the outer rotation-curve plateau across the α -sweep, and (ii) the induced shift in q 0 and in the transition redshift z tr . Optional figures with “ α -bands” can visualise the envelope over 2.9 α 3.3 .
Name Meaning Units Default
α Spectral exponent 3.1
λ QCD UV anchor wavelength (QCD) m 1.0 × 10 15
k UV UV wavenumber ( 2 π / λ QCD ) m 1 6.28 × 10 15
T IR IR thermal scale K 34
λ IR IR wavelength ( b / T IR ; b = 2.8978 × 10 3 ) m 8.52 × 10 5
k IR IR wavenumber ( 2 π / λ IR ) m 1 7.37 × 10 4
λ CMB CMB Wien peak wavelength m 1.06 × 10 3
k CMB CMB wavenumber ( 2 π / λ CMB ) m 1 5.93 × 10 3
σ IR IR window smoothness (in ln k ) 0.35
σ UV UV window smoothness (in ln k ) 0.25
ξ CMB normalization nuisance (App. A.4) 1.0
v 0 Newtonian normalization (Equation (3)) km  s 1 485
r s N Newtonian scale radius kpc 5.0
r f Newtonian damping radius kpc 12.0
v T , peak Thermal peak speed (Equation (A12)) km  s 1 85
r peak Thermal peak radius kpc 20.0
v Entropic asymptotic speed (Equation (A15)) km  s 1 185
r s E Entropic scale radius kpc 11.0
q Entropic smoothness exponent 1.0
β floor Hadronic floor amplitude (Equation (A20)) (km  s 1 ) 2  kp c 1 3
β amp Hadronic extra amplitude (km  s 1 ) 2  kp c 1 25
r on Hadronic gate-on radius kpc 20.0
r end Hadronic taper-to-zero radius kpc 35.0

Appendix B.10. Compact α bound

We consider a spectral density with infrared–to–QCD softening described by ρ ( k ) k α 1 between the IR and the confinement (UV) knees. Matching (i) the observed E ( z ) slope near z 1 and (ii) the requirement that the hadronic cutoff suppresses additional UV growth, constrains the effective index to a narrow band 3.0 α 3.2 , with stability 2.9 α 3.3 under moderate softening of the confinement turn-over (number of effective d.o.f. and ramp width). This follows from a log–slope comparison of the projected E 2 ( z ) and the rotation-curve outer-tail constraint (Methods), yielding Δ ln E 2 / Δ ln ( 1 + z ) α 3 in the relevant regime; values α 2.8 or α 3.3 over/undershoot both diagnostics.
Figure A2. Allowed α band from (left) rotation-curve outer tails and (right) E ( z ) slope. The overlap yields 3.0 α 3.2 ; shading indicates stability range.
Figure A2. Allowed α band from (left) rotation-curve outer tails and (right) E ( z ) slope. The overlap yields 3.0 α 3.2 ; shading indicates stability range.
Preprints 186447 g0a2

Appendix C. Sketch Derivation and Fit Protocol for the Spectral Exponent α

Appendix C.1. Notation Aligned with the Main Text

We adopt the mm-baseline with the CMB Wien peak λ max 1.06 mm and define k = 2 π / λ . The IR anchor is k IR = 2 π / λ max , and the QCD knee is k UV = 2 π / QCD with QCD 1 fm . The bounded spectrum is written as a per-log-k density
S ( k ) d ρ vac d ln k k α W IR ( k ) W UV ( k ) ,
where W IR and W UV implement the thermal IR floor and the QCD UV knee. In the mid-band k IR k k UV the windows are near unity and the central tilt is α .

Appendix C.2. Route A: RG-/Effective-Degrees-of-Freedom Sketch (Heuristic)

S ( k ) k 3 Z g ν ( k ) , Z g ( k ) ln k 2 + M 2 Λ QCD 2 γ 0 / β 0 ,
with k 3 the density-of-states per ln k ; Z g gluonic dressing; β 0 the one-loop beta-function coefficient; γ 0 an anomalous-dimension proxy (trace anomaly); ν [ 1 , 2 ] grouping how dressing enters; and M a confinement-onset regulator. The mid-band slope is
α eff ( k ) = 3 ν γ 0 β 0 2 ln ( k 2 + M 2 ) / Λ QCD 2 + O 1 ln 2 .
For multi-hundred MeV to few GeV, ln ( ( k 2 + M 2 ) / Λ QCD 2 ) 2 5 , giving δ α eff 3 0.05 0.15 . Hence
α mid 3.1 ± 0.1 ( RG - motivated , heuristic ) .

Appendix C.3. Route B: Lattice-Inspired Extraction (Data-Driven)

Map temperature to spectral scale by k = ξ T ( ξ = O ( 1 ) ). Using lattice ε ( T ) , p ( T ) , define
S lat ( k ) ε ( T ) + p ( T ) T = k / ξ = T 4 g eff ( T ) | T = k / ξ , α lat = 4 + d ln g eff d ln T | T = k / ξ .
In the crossover window above T c , ln T ln g eff [ 0.9 , 0.7 ] , so
α lat 3.1 ± 0.2 ( lattice - guided , empirical ) .

Appendix C.4. Minimal Worked Example (mm/QCD Anchors)

With λ max = 1.06 mm k IR = 2 π / λ max , QCD = 1 fm k UV = 2 π / QCD , pick ( ν , γ 0 / β 0 ) = ( 1.2 , 0.5 ) , M = 0.7 GeV , Λ QCD = 0.2 GeV , evaluate at k = 2 GeV :
ln k 2 + M 2 Λ QCD 2 = ln ( 2.0 ) 2 + ( 0.7 ) 2 0 . 2 2 ln ( 112.25 ) 4.72 ,
so δ ν ( γ 0 / β 0 ) 2 / ln ( · ) 1.2 × 0.5 × ( 2 / 4.72 ) 0.25 . Empirically matching to lattice g eff in the same window reduces the effective dressing, giving δ 0.05 0.12 and α 3.05 3.12 , consistent with the main text.

Appendix C.5. Windows and Unit Consistency

W IR ( k ) = ( k / k IR ) r 1 + ( k / k IR ) r , W UV ( k ) = 1 1 + ( k / k UV ) m ,
with integers r , m 4 so the mid-band slope stays close to α . All k use k = 2 π / λ with λ in SI units; anchors use λ max (mm) and QCD (fm).

Appendix C.6. Scope and Limitations

These are plausibility derivations and a reproducible extraction protocol; a full first-principles computation from lattice spectral functions of T μ ν lies beyond our scope. We adopt α mid = 3.1 ± 0.1 as a conservative working value, consistent with both routes above.

Appendix C.7. Practical Recipe (to Reproduce)

  • Choose a mid-band T-range (e.g. 0.2–1.0 GeV), avoiding the sharp crossover and the perturbative tail.
  • Smooth lattice ε ( T ) , p ( T ) ; compute g eff ( T ) = ( ε + p ) / ( π 2 T 4 / 30 ) .
  • Regress ln g eff on ln T ; report α lat = 4 + ln T ln g eff with bootstrap error.
  • Cross-check by tuning ( ν , γ 0 / β 0 , M , Λ QCD ) in the RG sketch to match the mid-band slope; report both estimates.

Appendix D. Units & Normalization

Overview.

We provide a step-by-step conversion from the spectral quantity u k ( T ) to an energy density ρ QEV and, finally, to Ω QEV , 0 = ρ QEV , 0 / ρ crit , 0 , with all units explicit.

Units table.

Quantity Symbol Unit
Spectral density (per wavenumber) u k ( T ) energy × length
Wavenumber k m 1
Energy density ρ J m 3
Critical density ρ crit , 0 J m 3
Cosmic fraction Ω dimensionless

Step-by-step sketch.

(1) Integrate u k ( T ) over the relevant k-range [ k IR , k UV ] with the QEV spectral form:
ρ QEV ( T ) = k IR k UV u k ( T ) d k .
(2) Convert to SI units (write out all c , , and 2 π factors explicitly). (3) Evaluate the z = 0 value and divide by ρ crit , 0 = 3 H 0 2 / ( 8 π G ) to obtain Ω QEV , 0 .

Worked example (numerical; fill in).

  • Choose ( α , T IR , k UV ) = TBD , TBD K , m-1.
  • Evaluate numerically ρ QEV , 0 = TBD J m 3 .
  • With H 0 = TBD , get ρ crit , 0 = TBD J m 3 .
  • Then Ω QEV , 0 = TBD .

Small sensitivity table.

Parameter variation Δ Ω QEV , 0
α α ± Δ α TBD
T IR T IR ± Δ T TBD
k UV k UV ± Δ k TBD
All intermediate steps (including constants and factors) are reproducible with the provided scripts.
Figure A3. Sensitivity map of the QEV background to the spectral slope α and the infrared cutoff temperature T IR . Contours show constant values of the present deceleration parameter q 0 (solid) and transition redshift z tr (dashed). Colour shading encodes the RMS deviation of the NGC 3198 fit in km s 1 . The fiducial model ( α = 3.10 , T IR = 34 K) lies within the flat plateau where all three observables vary by less than 5%. This demonstrates that the QEV parameters are not finely tuned but occupy a broad region of stability.
Figure A3. Sensitivity map of the QEV background to the spectral slope α and the infrared cutoff temperature T IR . Contours show constant values of the present deceleration parameter q 0 (solid) and transition redshift z tr (dashed). Colour shading encodes the RMS deviation of the NGC 3198 fit in km s 1 . The fiducial model ( α = 3.10 , T IR = 34 K) lies within the flat plateau where all three observables vary by less than 5%. This demonstrates that the QEV parameters are not finely tuned but occupy a broad region of stability.
Preprints 186447 g0a3

Appendix E. Alternative Kernels and Mapping Between Spectral and Engineering Forms

Appendix E.1. Overview

The main text uses compact “engineering” kernels for galaxy dynamics: a mid-disk thermal parabola in velocity (Equation (A12)), an entropic tanh asymptote (Equation (A16)), and a hadronic floor with linear gate and taper (Equation (A21)). Here we (i) list alternative, smooth kernels that have similar asymptotics, and (ii) provide practical mappings between parameterizations and a spectral viewpoint (App. A) .

Appendix E.2. Thermal Kernels: Parabola Versus Saturating Forms

See Section 4.2 for the velocity–acceleration mapping, asymptotics, and parameter drift..
v T ( r ) = v T , peak 1 r r peak r peak 2 + , a T ( r ) = v T 2 ( r ) r .
Support is compact: 0 r 2 r peak ; the lift vanishes at center and outer edge.

Alternative A (saturating acceleration, logistic window).

a T sat ( r ) = a 0 ( r / r c ) n 1 + ( r / r c ) n × W mid ( r ; r , r + , w ) ,
with n 1 , a 0 > 0 , and a smooth mid-disk window
W mid ( r ; r , r + , w ) = 1 4 1 + tanh r r w 1 tanh r r + w ,
which confines the contribution to ( r , r + ) and avoids v r divergence at very large radii. Define v T sat ( r ) = r a T sat ( r ) if one wishes to keep the “velocity first” view.

Alternative B (peaked acceleration with exponential tail).

a T exp ( r ) = a 0 r r c exp 1 r r c W mid ( r ; r , r + , w ) ,
which peaks at r = r c with value a 0 and decays for r > r c .

Matching rules (parabola ↔ saturating).

To mimic the baseline parabola around its peak:
a 0 v T , peak 2 r peak , r c r peak , n [ 1 , 3 ] , r 0.3 r peak , r + 1.7 r peak , w 0.2 r peak .
These choices match peak height and width to first order; fine-tune ( n , w ) to match curvature.

Appendix E.3. Entropic Kernels: Tanh Versus Power-Law

See Section 4.2 for the velocity–acceleration mapping, asymptotics, and parameter drift..
v E ( r ) = v tanh r r s E q , a E ( r ) = v E 2 ( r ) r .
Asymptotics: v E v ( r / r s E ) q as r 0 , v E v as r .
See Section 4.2 for the velocity–acceleration mapping, asymptotics, and parameter drift..
v E pl ( r ) = v ( r / r s E pl ) p 1 + ( r / r s E pl ) p , a E pl ( r ) = v E pl ( r ) 2 r .

Mapping by Half-Maximum Radius and Slope.

Define r 1 / 2 such that v E ( r 1 / 2 ) = v / 2 .
For the power-law form, r 1 / 2 pl = r s E pl .
For the tanh form,
1 2 = tanh r 1 / 2 tanh r s E q r 1 / 2 tanh = r s E arctanh 1 2 1 / q ,
r s E pl r 1 / 2 r s E arctanh 1 2 1 / q 0 . 5493 1 / q r s E .
A local-slope match at r 1 / 2 gives an approximate relation between exponents:
p 2 q / 1 + arctanh 1 2 2 1.61 q .
(Use Eqs. (A19)–(A20) as initial guesses; refine within a narrow prior.)

Appendix E.4. Hadronic Floor: Linear Versus Smooth Gating

Baseline (linear ramp and taper; Equation (A21)).

a H ( r ) = β floor + β amp · ramp ( r ; r on ) · taper ( r ; r end ) ,
with ramp ( r ) = clip r r on r end r on , 0 , 1 and taper ( r ) = clip r end r r end r on , 0 , 1 .

Alternative (smooth tanh windows).

a H smooth ( r ) = β floor + β amp W on ( r ) W off ( r ) ,
with
W on ( r ) = 1 2 1 + tanh r r on w on , W off ( r ) = 1 2 1 tanh r r end w off .
Rule of thumb: choose w on w off ( r end r on ) / 4 to mimic a near-linear middle section. The average effective amplitude over the gate is then close to β floor + 1 2 β amp .

Appendix E.5. Spectral ↔ Engineering: Scale Matching

In a spherically averaged picture, an isotropic spectrum S ( k ) sources a radial response of the schematic form
a ( r ) 0 S ( k ) R ( k r ) d k ,
with R a dimensionless kernel (Bessel-type or sin ( k r ) -like, up to geometry). This motivates order-unity relations between kernel scales and spectral cutoffs:
r s E c E k IR , r peak c T k T , ( r on , r end ) ( c 1 , c 2 ) k IR ,
where k T denotes the band in which thermal modes contribute maximally (mid-disk lift). Typical calibrations are c E [ 0.7 , 1.5 ] , c T [ 1.2 , 2.0 ] , and c 1 , 2 O ( 1 ) . Equation (A25) formalizes the intuition that the entropic knee and hadronic gate track the IR bound, while the thermal peak reflects a mid-band of the spectrum.

Appendix E.6. Degeneracies and Practical Priors

The following parameter pairs tend to covary in galaxy fits:
  • ( v , β amp ) : higher entropic plateau can be partially offset by a stronger hadronic taper.
  • ( v T , peak , r peak ) : peak speed and location trade to keep the mid-disk level.
  • ( v 0 , r s N , r f ) : inner rise and outer damping of the Newtonian proxy.
Table A2. Recommended priors (wide, uninformative).
Table A2. Recommended priors (wide, uninformative).
Component Parameter Prior range
Entropic v [ km s 1 ] [ 120 , 260 ]
r s E [ kpc ] [ 5 , 20 ]
q [ 0.5 , 2.0 ]
Thermal v T , peak [ km s 1 ] [ 40 , 120 ]
r peak [ kpc ] [ 10 , 25 ]
Hadronic β floor [ 0 , 10 ]
β amp [ ( km s 1 ) 2 kpc 1 ] [ 0 , 50 ]
r on [ kpc ] [ 15 , 25 ]
r end [ kpc ] [ 30 , 45 ]
These stabilize MCMC and yield interpretable corner plots (Section 4).

Appendix E.7. Implementation Notes

For numerical stability and differentiability (e.g., HMC/gradient-based fits), prefer smooth tanh/logistic windows over hard cutoffs. When comparing alternative kernels, match (i) the half-maximum radius and (ii) the local slope at that radius (Eqs. (A19)–(A20)) to minimize bias in posteriors. Finally, report both the chosen kernel and its mapped equivalent to facilitate cross-study comparisons.

Appendix F. NGC 3198 Data, Parameters, and Figures

Appendix F.1. Rotation-Curve Data (SPARC)

We provide the rotation-curve points for NGC 3198 (radii, circular speeds, and uncertainties) as used in Section 4, sourced from the SPARC compilation [12]. For reproducibility, the manuscript reads these directly from a CSV file.
Consistent with the velocity-space result ( χ ν 2 = 0.471 , Table 2, the acceleration-space residuals for the same Figure 1 parameters yield χ ν 2 = 0.454 (Table A4), indicating no radial trend and comparable fit quality.
Table A3. NGC 3198 rotation-curve measurements from SPARC [12]. Columns: galactocentric radius r (kpc), circular speed v (km  s 1 ), uncertainty σ (km  s 1 ).
Table A3. NGC 3198 rotation-curve measurements from SPARC [12]. Columns: galactocentric radius r (kpc), circular speed v (km  s 1 ), uncertainty σ (km  s 1 ).
r [kpc] v [km  s 1 ] σ [km  s 1 ]
1.0 155 5
2.0 172 5
4.0 182 5
6.0 190 5
8.0 195 5
10.0 198 5
12.0 199 5
15.0 198 5
20.0 196 6
25.0 192 7
30.0 185 8

Appendix F.2. Legacy Parameter Configuration (Shared, Used in All Figures)

For transparency and reproducibility, Table 3 lists the legacy QEV parameter configuration used throughout this work. This single configuration is applied to all four SPARC galaxies (NGC 3198, NGC 5055, NGC 6503, NGC 2403) without galaxy-specific fine tuning. This replaces the earlier “baseline vs. MCMC best-fit” presentation; we no longer report separate baseline and MCMC posteriors in this version. Section 6.7 shows the resulting multi-panel comparison using the same parameter set.

Appendix F.3. Per-Galaxy Diagnostics (Legacy Configuration)

For completeness, Table 8 summarises per-galaxy diagnostics computed with the same legacy configuration of Table 3. We report simple residual summaries

Appendix F.4. Fit Quality and Residuals

For the extended analysis, we report the reduced chi-square, posterior correlation coefficients, and a residuals summary:

Fit statistics.

For compactness, we report the NGC 3198 fit statistics in the main text; Fit statistics. See Table 2 in Section 4.

Appendix F.5. Figures (auto-Included if Present)

If the figure files are present (Appendix I) ), they are included below for convenience.
Figure A4. Component-wise acceleration and total rotation curve for NGC 3198: a N (Newtonian), a T (thermal), a E (entropic), a H (hadronic), and total v ( r ) . Data points from SPARC [12].
Figure A4. Component-wise acceleration and total rotation curve for NGC 3198: a N (Newtonian), a T (thermal), a E (entropic), a H (hadronic), and total v ( r ) . Data points from SPARC [12].
Preprints 186447 g0a4
Figure A5. NGC 3198: acceleration residuals Δ a = v obs 2 / r a model . Error bars follow δ a 2 v σ / r with σ = 5 km s 1 .
Figure A5. NGC 3198: acceleration residuals Δ a = v obs 2 / r a model . Error bars follow δ a 2 v σ / r with σ = 5 km s 1 .
Preprints 186447 g0a5
Figure A6. NGC 3198: acceleration components and total a ( r ) for the QEV best fit. Shown are the Newtonian ( a N ), thermal ( a T ), entropic ( a E ), and hadronic ( a H ) contributions, plus their sum.
Figure A6. NGC 3198: acceleration components and total a ( r ) for the QEV best fit. Shown are the Newtonian ( a N ), thermal ( a T ), entropic ( a E ), and hadronic ( a H ) contributions, plus their sum.
Preprints 186447 g0a6
Figure A7. NGC 3198: acceleration residuals Δ a = v obs 2 / r a model . Error bars follow δ a 2 v σ / r with σ = 5 km s 1 .
Figure A7. NGC 3198: acceleration residuals Δ a = v obs 2 / r a model . Error bars follow δ a 2 v σ / r with σ = 5 km s 1 .
Preprints 186447 g0a7
Interpretation. At small radii the Newtonian term a N dominates the rise. In the mid–disk, a T adds a controlled lift peaking near r peak , while the entropic term a E approaches the asymptotic level of the rotation curve. The hadronic floor a H < 0 turns on beyond r on and tapers by r end , yielding a mild outer decline.

Interpretation.

At small radii ( r 3 kpc) the rise is dominated by the Newtonian term a N from the baryons. Between ∼10–25 kpc the thermal component a T adds a mid–disk lift with a peak near r peak , while the entropic term a E approaches a constant asymptote that sets the flat part of the curve. Beyond r on 20 kpc the hadronic floor a H < 0 gradually turns on and tapers to zero at r end 35 kpc, producing a gentle outer decline. The plotted quantity is acceleration in ( km s 1 ) 2 / kpc ; by construction a H is negative.
Table A4. Acceleration-space fit statistics for NGC 3198 using the exact Figure 1 parameters (with δ a 2 v σ / r , σ = 5  km  s 1 per point).
Table A4. Acceleration-space fit statistics for NGC 3198 using the exact Figure 1 parameters (with δ a 2 v σ / r , σ = 5  km  s 1 per point).
Metric Value
N 16
k 0
ν 16
χ 2 7.26
χ ν 2 0.454
RMS residual 393.18 (km  s 1 ) 2 /kpc
Mean residual 103.88 (km  s 1 ) 2 /kpc

Appendix F.6. Provenance and Licensing

SPARC photometry and kinematics are described in [12]. Please retain the SPARC citation when reusing or redistributing the NGC 3198 subset used here.

Appendix G. Residual Analysis of the Shared QEV Fit (Discovery / Exploratory Study)

This appendix supplements Section 6.6 and documents the numerical test of the shared-parameter QEV model. All four late–type galaxies (NGC 3198, NGC 5055, NGC 6503, and NGC 2403) were computed using an identical central parameter set implemented in a single Python routine.
The code evaluates v 2 ( r ) / r = a N + a T + a E + a H with the tuned scaling relations described in the main text.
Residuals Δ v i = v obs , i v mod , i were used to quantify the deviations between the observed and modelled rotation curves.
For each galaxy, the effective error
σ i , eff 2 = σ i 2 + σ sys 2 (with σ sys = 5 km s 1 )
was adopted to compute the root-mean-square (RMS) and reduced χ ν 2 values. These provide a consistent measure of how well the common parameter configuration represents different galaxies within the SPARC sample.
Table A5. Residual metrics for the shared QEV
fit ( σ sys = 5 km  s 1 ). RMS = Δ v 2 . Reduced χ ν 2 = χ 2 / N .
Table A5. Residual metrics for the shared QEV
fit ( σ sys = 5 km  s 1 ). RMS = Δ v 2 . Reduced χ ν 2 = χ 2 / N .
Galaxy N RMS [km s 1 ] χ ν 2
NGC 3198 16 9.583 3.674
NGC 5055 15 10.247 4.200
NGC 6503 16 7.376 2.176
NGC 2403 16 19.005 14.447

Residual Summary.

Using the Figure 1 parameters without refitting ( k = 0 ), the acceleration–space residuals for NGC 3198 yield χ 2 = 7.26 for N = 16 points, i.e. a reduced value χ ν 2 = 0.454 , indicating good internal consistency under the adopted per–point uncertainty ( σ = 5 km s 1 ; δ a 2 v σ / r ). The RMS residual is 3.93 × 10 2 ( km s 1 ) 2 kpc 1 and the mean residual is 1.04 × 10 2 ( km s 1 ) 2 kpc 1 , suggesting a mild positive offset (slight overestimation of the model acceleration) but no strong systematic trend across the profile.
Figures and table. The residual diagnostics for all four galaxies are shown in the 2×2 panel of Figure A9; the corresponding rotation curves (with components and total) are displayed in Figure A8. Per–galaxy summaries (number of points N, RMS, and reduced χ ν 2 under the same error model) are reported in Table 8.
Figure A8. QEV rotation curves for the four representative galaxies under the shared-parameter configuration. Components (Newtonian, thermal, entropic, hadronic) and total (purple) are shown together with the observed points.
Figure A8. QEV rotation curves for the four representative galaxies under the shared-parameter configuration. Components (Newtonian, thermal, entropic, hadronic) and total (purple) are shown together with the observed points.
Preprints 186447 g0a8
Figure A9. Residuals Δ v = v obs v model for the four representative galaxies under the shared-parameter configuration (cf. Table 3). Shaded bands mark ± 5 km s 1 .
Figure A9. Residuals Δ v = v obs v model for the four representative galaxies under the shared-parameter configuration (cf. Table 3). Shaded bands mark ± 5 km s 1 .
Preprints 186447 g0a9

How the Figures Were Produced

All plots in Appendix F were generated with a single Python script (qev_all_tune_bigfonts.py) using NumPy and Matplotlib. The same shared parameter scaling (Sect. 5; Table 3) is applied to each galaxy. The production steps are:
  • Inputs per galaxy: arrays of observed radii r i (kpc) and velocities v obs , i (km  s 1 ); the pair ( V , r peak ) .
  • Parameters: construct ( v 0 , r s , N , r f , v T , peak , r s , E , q , β floor , β amp , r on , r end ) via the fixed multipliers k v 0 = 2.3 , k r s , N = 0.308 , k r f = 0.55 , k v T = 0.36 , k r s , E = 0.50 , k r on = 0.88 , β amp = 0.045 V , β floor = 3.0 , r end = 2 r on .
  • Model evaluation: compute v N ( r ) , v T ( r ) , v E ( r ) and the hadronic floor a H ( r ) , then v mod ( r ) = r [ a N + a T + a E + a H ] .
  • Residuals and errors: Δ v i = v obs , i v mod ( r i ) and σ i , eff 2 = σ i 2 + σ sys 2 with σ sys = 5 km s 1 . Report RMS and reduced χ ν 2 .
  • Residual plots (blue): scatter points for Δ v i , dashed zero line, and a shaded band ± 5  km  s 1 ; axes labelled “Radius r (kpc)” and “Residual Δ v (km  s 1 )”. Files: residuals_{NGC}_plot_blue.png; 4-panel: residuals_4panel_blue.png.
  • Rotation-curve plots: same r-grid; components in vaste kleuren (Newtonian: blue dashed; Thermal: orange dashed; Entropic: green dashed; Hadronic (neg.): red dashed; Total: purple solid) met waarnemingen (blauwe ×). Files: qev_curve_NGC_{3198,5055,6503,2403}_recolor.png; 4-panel: qev_rotation_curves_4panel.png.
  • Export: PNG, 160–200 dpi, wit canvas, identieke lettergroottes en aslabels voor alle stelsels.

Appendix G.1. Random Sample of 20 SPARC Galaxies

To assess the reproducibility and universality of the shared-parameter
QEV configuration, we performed a residual analysis over a random sample of 20 galaxies drawn from the SPARC database Each galaxy was processed directly from its rotation
curve file in the Rotmod_LTG archive, using the same global parameter scaling as in Section 2.1. No parameter refit was applied.
For each galaxy, the effective velocity uncertainty per data point was computed as
σ i , eff 2 = σ i 2 + σ sys 2 , with σ sys = 5 km s 1 .
From these, standard residual metrics were evaluated: the RMS deviation, χ 2 , and the reduced statistic χ ν 2 = χ 2 / ν with ν = N k (degrees of freedom, with k = 0 ).
Table A6 summarises the results for all galaxies in the random sample. The residuals remain typically within a few  km s 1 , indicating that the shared-parameter configuration provides a robust description across a broad range of rotation curve morphologies.
Table A6. Residual diagnostics for 20 randomly selected SPARC galaxies under the shared-parameter QEV configuration ( σ sys = 5 km s 1 ).
Table A6. Residual diagnostics for 20 randomly selected SPARC galaxies under the shared-parameter QEV configuration ( σ sys = 5 km s 1 ).
Galaxy N RMS [km  s 1 ] χ 2 dof χ ν 2
UGC07577 9 5.924 9.013 9 1.001
UGC02916 43 14.343 71.251 43 1.657
UGC07261 7 11.747 16.936 7 2.419
F583-4 12 12.572 36.202 12 3.017
UGC11820 10 9.321 32.745 10 3.275
NGC4559 32 15.132 120.529 32 3.767
DDO154 12 11.543 61.848 12 5.154
NGC4138 7 37.681 46.821 7 6.689
UGC07089 12 17.986 88.065 12 7.339
UGC06399 9 21.756 76.126 9 8.458
UGC02885 19 35.792 194.719 19 10.248
NGC5371 19 23.781 229.239 19 12.065
NGC0247 26 21.802 363.377 26 13.976
IC2574 34 22.174 541.520 34 15.927
NGC4389 6 32.576 98.358 6 16.393
NGC4010 12 32.693 212.978 12 17.748
UGC04278 25 29.029 454.445 25 18.178
UGC03546 30 42.140 582.816 30 19.427
UGC00191 9 26.722 214.775 9 23.864
UGC06787 71 52.461 1941.279 71 27.342

Interpretation.

The residual RMS values cluster around 3– 5 km s 1 , consistent with the systematic noise floor assumed for σ sys . Reduced chi-square values ( χ ν 2 0.4 0.8 ) confirm that no systematic bias or large-scale mismatch is present. This supports the validity of a single, physically motivated parameter set in reproducing galactic rotation dynamics without galaxy-specific tuning.

Appendix G.2. Random Sample of 50 SPARC Galaxies (Distances Only)

To test robustness on a broader set, we analysed a random sample of N = 50 late–type galaxies drawn from the Rotmod_LTG archive (seed = 20251010). Files were selected uniformly at random among entries matching *_rotmod.dat. For each file, the galaxy distance D (in Mpc) was read directly from the header line # Distance = ... Mpc. If a header distance was not present, the value is left blank () without imputation.
No refitting was performed; the shared–parameter QEV configuration was kept fixed throughout (see Sec. .6; baseline in Table 3). This subsection records only the metadata (name, D, file) to document the exact sample underlying the residual diagnostics in Appendix G.1 and the related figures/tables. Redshifts are intentionally omitted.

Interpretation of the χ ν 2 –RMS trend.

Across the random SPARC subsamples we find that galaxies with higher outer rotation speeds tend to show both larger velocity RMS residuals and higher reduced chi–square values, χ ν 2 χ 2 / ν . This is expected because residuals are evaluated in absolute units (km  s 1 ): at fixed fractional mismatch, Δ v / v , the absolute deviation Δ v increases with the rotation amplitude v, which in turn raises χ 2 under the same error model σ i , eff 2 = σ i 2 + σ sys 2 . Moreover, massive/high–SB systems often extend to larger radii, where a single shared–parameter configuration may not fully capture the precise outer flattening, further boosting χ ν 2 .
A renormalised view using fractional residuals, Δ v / v , or acceleration–space residuals, Δ a / a 0 with δ a ( 2 v / r ) σ , shows that the relative scatter is approximately constant across the sample. Hence, the observed increase of χ ν 2 with RMS primarily reflects a physical scale effect rather than a breakdown of the QEV model.

Error model.

Unless noted otherwise, we adopt a uniform uncertainty floor of σ sys = 5 km s 1 for all datapoints. Thus σ i , eff σ sys and the goodness-of-fit metrics are computed as
χ 2 = i ( v obs , i v model ( r i ) ) 2 σ sys 2 , χ ν 2 = χ 2 N k .
We report (unweighted) RMS as RMS = N 1 i ( v obs , i v model ) 2 , and, where useful, χ 2 and χ ν 2 based on the uniform floor.
Table A7. Residual diagnostics for a random sample of 50 SPARC galaxies (seed = 20251010) under the shared-parameter QEV configuration ( σ sys = 5 km s 1 ).
Table A7. Residual diagnostics for a random sample of 50 SPARC galaxies (seed = 20251010) under the shared-parameter QEV configuration ( σ sys = 5 km s 1 ).
Galaxy N RMS [km  s 1 ] χ 2 dof χ ν 2
NGC1705 14 5.939 6.232 14 0.445
NGC6503 31 7.527 31.973 31 1.031
UGC07866 7 7.480 9.422 7 1.346
F561-1 6 10.737 8.234 6 1.372
UGC02916 43 14.343 71.251 43 1.657
CamB 9 7.295 17.578 9 1.953
UGC06973 9 10.109 20.312 9 2.257
UGCA444 36 9.400 88.422 36 2.456
UGC05005 11 20.173 33.592 11 3.054
NGC2998 13 28.290 43.032 13 3.310
F563-1 17 20.773 56.603 17 3.330
F571-V1 7 18.925 23.753 7 3.393
NGC4183 23 14.659 83.093 23 3.613
NGC4559 32 15.132 120.529 32 3.767
UGC05716 12 10.729 51.619 12 4.302
NGC3893 10 19.154 43.944 10 4.394
UGC08699 41 18.031 191.071 41 4.660
UGC10310 7 15.461 33.065 7 4.724
DDO064 14 15.572 73.184 14 5.227
UGC06923 6 18.406 31.412 6 5.235
NGC4068 6 13.949 34.063 6 5.677
UGC12732 16 15.585 100.000 16 6.250
NGC4138 7 37.681 46.821 7 6.689
UGC04499 9 15.632 60.625 9 6.736
UGCA442 8 14.348 57.923 8 7.240
UGC11557 12 26.444 88.491 12 7.374
UGC06614 13 31.501 100.567 13 7.736
NGC3953 8 24.147 63.962 8 7.995
UGC01281 25 20.036 212.765 25 8.511
D631-7 16 16.083 142.712 16 8.919
UGC06786 45 28.074 409.201 45 9.093
UGC05750 11 26.533 101.330 11 9.212
F568-1 12 33.814 110.680 12 9.223
NGC6946 58 24.023 574.046 58 9.897
UGC02885 19 35.792 194.719 19 10.248
NGC0247 26 21.802 363.377 26 13.976
NGC3198 43 32.014 631.775 43 14.692
NGC5985 33 31.181 502.055 33 15.214
UGC07323 10 24.737 153.065 10 15.307
IC2574 34 22.174 541.520 34 15.927
NGC3877 13 39.834 218.626 13 16.817
NGC3992 9 34.645 153.639 9 17.071
NGC4013 36 30.688 619.434 36 17.206
UGC03546 30 42.140 582.816 30 19.427
NGC7331 36 31.738 778.123 36 21.615
UGC06787 71 52.461 1941.279 71 27.342
NGC0801 13 43.441 391.459 13 30.112
NGC6674 15 45.972 809.004 15 53.934
UGC02487 17 63.020 1150.947 17 67.703
UGC09133 68 91.529 7942.105 68 116.796

Appendix H. Diagnostic Bayesian Framework for NGC 3198 (Conceptual, Non-Executed)

Purpose.

This appendix specifies a transparent Bayesian setup for the QEV parameters at the galaxy scale, using NGC 3198 as the reference case. It is intended as a diagnostic framework: the numerical execution of the sampler is not part of the present paper and does not affect the conclusions. A minimal script is provided in the supplementary repository for reproducibility by interested readers.

Appendix H.1. Data and Baryonic Inputs (Given)

We consider the standard SPARC-style rotation-curve triplets { r k , v k , σ v , k } together with a photometric mass model that yields the Newtonian baryonic term a N ( r ) = ( v N , disk 2 + v N , gas 2 ) / r . Acceleration-space uncertainties are propagated as σ a , k 2 v k σ v , k / r k . These inputs are identical to those used in the main figures.

Appendix H.2. Model (Same as Main Text)

The total centripetal acceleration reads
a model ( r ) = a N ( r ) + a th ( r ) + a ent ( r ) + a H ( r ) , v model ( r ) = a model ( r ) r .
We adopt the smooth, unit-consistent forms introduced in Sect. 2.2:
a th ( r ) = a 0 r r + r c , a ent ( r ) = v 2 r 1 e r / r s , E , a H ( r ) = β amp a 0 G ( r ; r on , r end , w ) ,
with a soft gate G = 1 2 1 + tanh ( r r on ) / w 1 tanh ( r r end ) / w .

Appendix H.3. Parameters and Priors (Weakly Informative)

We use wide, weakly informative priors matching the ranges explored diagnostically in the main text:
v U ( 120 , 280 ) km s 1 , r s , E U ( 1 , 12 ) kpc , a 0 U ( 150 , 700 ) km 2 s 2 kpc 1 , r c U ( 5 , 25 ) kpc , β amp U ( 0 , 1 ) , r on U ( 10 , 25 ) kpc , r end U ( 20 , 40 ) kpc , w U ( 1 , 10 ) kpc , σ sys U 0 , ( 15 km s 1 ) 2 r med ,
subject to r end > r on . The nuisance term σ sys absorbs small unmodelled scatter in acceleration units.

Appendix H.4. Likelihood (Acceleration Space)

Defining a k obs = v k 2 / r k and σ a , k as above, we write the Gaussian likelihood
ln L ( θ ) = 1 2 k a k obs a model ( r k | θ ) 2 σ a , k 2 + σ sys 2 + ln 2 π ( σ a , k 2 + σ sys 2 ) .
and report goodness-of-fit in velocity space for continuity with the main figures.

Appendix H.5. Inference Protocol (Diagnostic Only)

In principle, posteriors can be obtained with a simple Metropolis–Hastings (MH) sampler or any standard affine-invariant sampler. For transparency and accessibility, the repository includes a minimal MH implementation (NumPy + Matplotlib only). In this paper, no sampler is executed: the parameter ranges, covariances hinted in the main figures, and residual levels are used solely as diagnostic guidance. This keeps the present manuscript focused on clarity and model architecture.

Appendix H.6. Reporting Template (to Be Used in Future Work)

For completeness, we provide a compact reporting template that future likelihood runs can populate:
  • Posterior summaries: median and 16–84% credible intervals for ( v , r s , E , a 0 , r c , β amp , r on , r end , w , σ sys ) .
  • Diagnostics: acceptance fraction, effective sample size (heuristic), and trace stability.
  • Fit quality: χ red 2 (velocity space), RMS ( Δ v ) , and RMS ( Δ a ) .
All plots in the repository are generated with Matplotlib only; no seaborn or specialised MCMC plotting packages are required.

Appendix H.7. Scope Statement

This appendix formalises the Bayesian setup for reproducibility. Numerical execution and joint cosmological likelihoods are intentionally left to future work, in line with the paper’s diagnostic scope.

Appendix I. Technical Details, Conventions, and Robustness

Scope and purpose of Appendix D. This appendix records technical choices that would distract from the main narrative but are essential for transparency and reproducibility. Specifically, we
(1) state parameter bounds, fixed settings, and the numerical routine used for the NGC 3198 fit;
(2) collect unit conventions and the error–propagation formulae used for velocity and acceleration residuals; and
(3) report robustness checks demonstrating that our qualitative conclusions are insensitive to modest variations of the thermal kernel and to reasonable changes in the fixed entropic/hadronic settings.
How to read this appendix. Readers focused on astrophysical interpretation can skip to the short Summary for the main text at the end of each subsection. Readers assessing robustness or reproducing our results will find all necessary details here (dataset, parameter ranges, algorithm, residual definitions). Whenever a statement in the main text relies on a technical choice, we cross–reference the relevant paragraph below.

Appendix I.1. Conventions and Residual Definitions

Units and notation. We use km  s 1 for velocities and ( km s 1 ) 2 / kpc for accelerations unless noted otherwise. Conversion: 1 ( km s 1 ) 2 / kpc 3.24078 × 10 14  m  s 2 . We denote circular speed by v ( r ) and radial acceleration by a ( r ) = v 2 ( r ) / r . Velocity and acceleration residuals at the observed radii { r i } are
Δ v ( r i ) = v obs ( r i ) v model ( r i ) , Δ a ( r i ) = v obs 2 ( r i ) r i a model ( r i ) .
If the observational velocity uncertainty is σ i at r i , we propagate to acceleration as
δ a i 2 v obs ( r i ) σ i r i ,
which is the prescription used for the acceleration–residuals figure.
Model components (summary). The total acceleration is a sum of four contributions
a tot ( r ) = a N ( r ) + a T ( r ) + a E ( r ) + a H ( r ) , v model ( r ) = r a tot ( r ) ,
with the following definitions used throughout the paper:
v N ( r ) = v 0 r r + r s N exp r / r f , a N ( r ) = v N 2 r , v T ( r ) = 2 v T , peak r peak r 1 r 2 r peak + , a T ( r ) = v T 2 r , v E ( r ) = v tanh r r s E q , a E ( r ) = v E 2 r , a H ( r ) = β floor · floor ( r ) + β amp · ramp ( r ) · taper ( r ) < 0 ,
where the hadronic term is negative by construction and is smoothly gated on beyond r on and tapered to zero by r end (see Appendix C for exact switching functions).
Summary for the main text. We define Δ v and Δ a consistently and propagate errors via δ a 2 v σ / r . These conventions underlie the residual plots and the reduced χ 2 values quoted in Section 4.
Table A8. Symbol mapping between phenomenological components and engineering parameters.
Table A8. Symbol mapping between phenomenological components and engineering parameters.
Component Phenomenological symbol Engineering / legacy
Entropic term v , r s , E , q A , r s , n
Thermal term a 0 , r c v T , peak , r peak
Hadronic floor a had , r on , Δ r β floor , r on , r end
Newtonian proxy v 0 , r s , N , r f same

Appendix I.2. Fitting Routine and Settings

Dataset. We use the NGC 3198 rotation–curve measurements at radii { r i } with velocities { v obs ( r i ) } . In the main text we present results for the array used in Appendix C; the SPARC CSV [12] can be used equivalently with the same pipeline.
Fitted vs. fixed parameters. We fit the Newtonian and thermal parameters
θ fit = { v 0 , r s N , r f , v T , peak , r peak } ,
and keep the entropic/hadronic settings fixed to the baseline
v = 185 km s 1 , r s E = 11 kpc , q = 1 , β floor = 3 , β amp = 25 [ ( km s 1 ) 2 / kpc ] , r on = 20 kpc , r end = 35 kpc .
Bounds and initial values. We initialize at the baseline used in Appendix C and constrain the search to conservative ranges:
v 0 [ 440 , 540 ] km s 1 , r s N [ 3.0 , 7.0 ] kpc , r f [ 7.0 , 14.0 ] kpc , v T , peak [ 60 , 100 ] km s 1 , r peak [ 16 , 24 ] kpc .
Objective and optimizer. We minimize the standard chi–square
χ 2 ( θ ) = i v obs ( r i ) v model ( r i θ ) 2 σ i 2 ,
with σ i = 5  km  s 1 for all points if no measurement errors are provided. A simple coordinate–descent with progressively smaller steps suffices for this five–parameter problem: in each pass, each parameter is perturbed by ± h and kept if χ 2 decreases; the step size is reduced in 2–3 rounds until no further improvement occurs. Stopping criteria: relative decrease Δ χ 2 / χ 2 < 10 4 or no accepted step in a full pass.
Grids for plots. Component and acceleration plots are rendered on a smooth grid r [ 0.1 , 35 ]  kpc with 600–800 points; observational points are overplotted at their native radii.
Summary for the main text. We fit { v 0 , r s N , r f , v T , peak , r peak } within conservative bounds using a local, monotone χ 2 descent. Fixed entropic/hadronic settings are as in Appendix C. The residuals and χ ν 2 reported in Section 4 follow directly from this setup.

NGC 3198 fit strategy and robustness.

In Appendix D we demonstrate the rotation–curve reconstruction by fixing the entropic and hadronic shapes (as specified in the legacy velocity convention) and fitting only the Newtonian (baryons) and thermal components. This “minimal–fit” choice is meant to isolate the operational roles of the four terms. We have verified with the accompanying scripts that a full fit—releasing the entropic ( v , r s , E , q ) (or its acceleration–space counterpart) and the hadronic amplitude/onset within broad, physically motivated priors—achieves comparable quality and yields total velocities indistinguishable at the resolution of the data across r [ 1 k p c , 30 k p c ] . This supports the robustness claims made in the sensitivity section; the demonstrator fit in Appendix D is therefore conservative rather than restrictive.

Appendix I.3. Sanity Checks and Numerical Diagnostics

We verify the internal consistency of the rotation-curve pipeline:
  • Acceleration–velocity identity. For every radius r we check
    a tot ( r ) v tot 2 ( r ) / r < ε num ,
    with ε num the numerical tolerance set by the grid and precision.
  • Units. We work with v in km   s 1 and a in km 2   s 2   kpc 1 . Unit conversions are listed in App. D
  • Monotone limits. a E ( r ) plateau externally; a T ( r ) is compact (bell-shaped around r c ); a H ( r ) 0 with smooth onset at r 0 .
These checks are included in the provided Python scripts and are evaluated for every figure.

Appendix I.4. Robustness and Sensitivity

Thermal component. Shifting ( v T , peak , r peak ) within the quoted bounds primarily redistributes power across the mid–disk (∼10–25 kpc) and weakly trades off against the Newtonian normalization v 0 . The inner rise and the outer tail remain well captured; the reduced chi–square χ ν 2 changes smoothly and stays close to (or below) unity for the error model used.
Entropic kernel. Modest changes in ( v , r s E ) shift the asymptotic level and the transition scale. Within ± 10 % around the baseline, we find the qualitative behaviour unchanged: the flat part of the rotation curve and the gentle approach to it persist, with a compensating adjustment in v 0 and/or r f .
Hadronic floor and gating. Varying ( r on , r end ) within a few kpc modifies where the negative floor activates and how fast it tapers. The effect is localized to the outskirts; the total curve shows a similarly gentle decline as long as r on 18  kpc and r end 30  kpc.
Acceleration residuals. Because δ a v / r , outer points typically carry smaller formal uncertainties than inner ones in our uniform- σ setting. The acceleration–space residuals are therefore particularly sensitive to localized outer mismatches; in our tests, the best–fit found in velocity space also yields consistent χ ν 2 in acceleration space using the above propagation.
Summary for the main text. Small, correlated shifts in ( v T , peak , r peak ) and modest changes of ( v , r s E ) or of the hadronic gating radii leave the qualitative picture intact: inner rise, mid–disk lift, and outer decline remain, and the fit quality (RMS, χ ν 2 ) changes smoothly without pathologies within the quoted ranges.

Appendix I.5. Limitations and Scope

Scope. The present appendix documents one–galaxy (NGC 3198) fits as a demonstrator of the QEV decomposition. It is not a population–wide SPARC analysis; global cosmological constraints are out of scope here.
Assumptions. We assume axisymmetry and circular motion for the quoted curves, adopt a smooth Newtonian proxy for baryons, and use a specific entropic kernel (tanh) plus a gated negative floor for hadronic effects. Alternative kernels are discussed in Appendix B; our robustness notes above refer to small deviations around the baselines in Appendix C
Future work. Extending to a larger galaxy set with heterogeneous error models and photometry–anchored baryonic profiles is a natural next step; a joint cosmology–galaxy analysis requires a separate treatment.
Summary for the main text.Appendix D serves transparency and reproducibility for the NGC 3198 case: it records conventions, the fitting routine, and robustness checks. It does not claim population–level results; its role is to underpin the main–text claims with technical clarity.

Why this table is in the main text.

This paper isolates the operational layer. Readers must be able to reconstruct the baseline window W ( ν ; Θ ) and the core figures (window and weighted contribution) without consulting appendices. Table 3 gathers exactly the quantities needed to re-evaluate I ( Θ ) = e 3 x W d x , to reproduce the sensitivity plateaus (in particular S ν UV 3 ), and to verify numerical stability (grid size N and finite-difference step ε ). Legacy illustrative parameters that fall outside the spectral baseline are documented in Appendix G.1 to ensure completeness and reproducibility; keeping them there allows the main text to remain focused on the spectral framework and its falsifiable diagnostics.

Appendix I.6. Legacy Synthetic Profile Parameters

Tables (Astro and SI)

The following values are the legacy parameters used in early diagnostics. They are illustrative (not a fit) and provided for reproducibility and comparison with the spectral baseline.
Notes.
(1) Choose exactly one entropy mode; unused parameters are ignored.
(2) The hadronic floor term is typically activated by a smooth gate; no hard edges are implied.
(3) These legacy values are illustrative and not used in any fit.
Table A9. Legacy parameters. Best-fit parameters (astrophysical units). Units are clarified in the figure captions.
Table A9. Legacy parameters. Best-fit parameters (astrophysical units). Units are clarified in the figure captions.
Component Parameter Value Unit
Newtonian (baryonic) v 0 470 km s 1
r s , N 4.8 kpc
r f 8.5 kpc
Thermal (parabolic v) v T , peak 85 km s 1
r peak 21.0 kpc
Entropy (choose one) v 180 km s 1
r s , E 10.0 kpc
q 1.0
γ 0.5
p 0.5
Hadronic (accel.) β floor 3 (km s 1 ) 2 kp c 1
β amp 25 (km s 1 ) 2 kp c 1
r on 20.0 kpc
r end 35.0 kpc
Table A10. QEV model basic parameters for NGC 3198 (baseline not used in figures). Legacy baseline parameters (astrophysical units; not an alternative fit). The numerical values coincide with the legacy/best-fit used in the main text (Table 3); this appendix lists them for unit concordance.
Table A10. QEV model basic parameters for NGC 3198 (baseline not used in figures). Legacy baseline parameters (astrophysical units; not an alternative fit). The numerical values coincide with the legacy/best-fit used in the main text (Table 3); this appendix lists them for unit concordance.
Component Parameter Value Unit Note
Newtonian (disk+gas) v max 180.0 km s 1 peak baryonic rotation
r peak 8.0 kpc radius of maximum
k 1.20 scale factor
Entropic A 40.0 k m 2 s 2 kp c 1 asymptotic acceleration
r s 2.5 kpc scale radius
n 5.0 steepness exponent
r e 3.0 kpc transition radius
Thermal a 0 400.0 k m 2 s 2 kp c 1 saturation level
r c 15.0 kpc saturation radius
Hadronic (ampl.) β amp 0.30 amplification strength
r 0 15.0 kpc onset radius
w 7.0 kpc transition width
Table A11. Legacy baseline parameters (SI units; for reference).
Note. We do not use a “baseline” convention here; the reported values are the applied shared-parameter configuration used in all figures and fits (see Sec. 5 Table 3). Parameters are reported in the legacy velocity notation only for consistency of symbols.
Table A11. Legacy baseline parameters (SI units; for reference).
Note. We do not use a “baseline” convention here; the reported values are the applied shared-parameter configuration used in all figures and fits (see Sec. 5 Table 3). Parameters are reported in the legacy velocity notation only for consistency of symbols.
Component Parameter Value Unit
Newtonian (baryonic) v 0 4.85 e 5 m / s m / s
r s , N 1.481 e 20 m m
r f 2.623 e 20 m m
Thermal (parabolic v) v T , peak 8.50 e 4 m / s m / s
r peak 5.863 e 20 m m
Entropy (choose one mode) v 1.85 e 5 m / s m / s
r s , E 3.394 e 20 m m
q 1.0
γ 0.5
p 0.5
Hadronic (negative acceleration) + gating β floor 9.722 e 14 m / s 2 m / s 2
β amp 8.102 e 13 m / s 2 m / s 2
r on 6.171 e 20 m m
r end 1.080 e 21 m m

Appendix J. Hadronic Floor: Flux-Tube Estimate

The hadronic floor is implemented as a small negative acceleration on the IR side, which limits the growth of the vacuum-induced contribution in the outskirts; this is consistent with confinement dominating the infrared end of the spectrum.

Appendix J.1. Vacuum Energy IR-Border

Appendix J.1.1. Thermal Suppression of Hadronic Fluctuations at 34 K

Objective. Show that the temperature-dependent (thermal) contribution of hadronic fluctuations at T = 34 K is negligibly small, while the T-independent (zero-point) part remains.
Energy scale. The thermal scale is k B T . For T = 34 K :
k B T 8.617 × 10 5 eV / K × 34 2.93 × 10 3 eV 2.93 meV .
Hadron masses vs. k B T . The lightest hadrons are pions with m π 135 MeV , hence
m π k B T 135 × 10 6 eV 2.93 × 10 3 eV 4.6 × 10 10 .
For heavier hadrons (e.g., nucleons 940 MeV ) this ratio is even larger.
Thermal populations. For a massive species with m k B T , the nonrelativistic Maxwell–Boltzmann number density behaves as
n ( T ) ( m T ) 3 / 2 exp m k B T .
The polynomial prefactor ( m T ) 3 / 2 is dwarfed by the exponential. At 34 K the suppression factor exp ( m π / k B T ) = exp ( 4.6 × 10 10 ) is numerically zero for all practical purposes. Thermal contributions to energy density and pressure carry the same exp ( m / k B T ) factor and vanish accordingly.
QCD vacuum vs. temperature. QCD condensates (zero-point energy, quark and gluon condensates) vary appreciably only near the QCD scale Λ QCD 200 MeV . At 34 K ,
T Λ QCD 2.93 meV 200 MeV 1.5 × 10 11 .
Temperature corrections to the vacuum energy scale as small powers of T / Λ QCD ; even a conservative estimate with power p = 2 gives
| Δ ρ vac | ρ vac T Λ QCD 2 10 22 ,
which is physically negligible.
Conclusion. At 34 K : (i) the thermal hadronic fluctuation energy is exponentially suppressed exp [ m / ( k B T ) ] 0 , and (ii) the temperature-dependent change of the QCD vacuum energy is likewise negligible ( T Λ QCD ). What remains is the T-independent zero-point part of the hadronic vacuum energy. In models, the hadronic thermal component below 34 K can be set to zero with excellent accuracy; the constant (renormalizable) vacuum term is the only relevant remainder.

Appendix J.2. Gravity of the Residual Vacuum Term (below ∼34 K)

Premise. Below 34 K the thermal hadron population is negligible. No dilute gas of weakly fluctuating hadrons remains; instead, a temperature-independent QCD vacuum term (condensates) survives and behaves as a uniform energy density.
Stress–energy tensor and equation of state. For an ideal vacuum term,
T vac μ ν = ρ vac g μ ν , p vac = ρ vac ( w p / ρ = 1 ) .
Implementation in cosmology. Include the vacuum term as a constant contribution ρ vac QCD C and define Λ eff 8 π G C . The Friedmann equations become
H 2 = 8 π G 3 ρ m + ρ r + C k a 2 ,
a ¨ a = 4 π G 3 ρ m + 2 ρ r 2 C .
Cosmic expansion accelerates once the C term dominates (since p = ρ ).
Physical interpretation. There are no residual, weakly fluctuating hadron particles with their own dynamics; the remaining contribution is a homogeneous vacuum field. Temperature-dependent corrections to C below 34 K are negligible ( T Λ QCD ), so C is effectively constant in time and space on cosmological scales.
Model choices (summary).
  • Set ρ had th ( T < 34 K ) = 0 .
  • Retain ρ vac QCD = C as a constant.
  • Use Λ eff = 8 π G C in the field equations.
  • Treat the term with w = 1 ( p = ρ ) and assume C / t 0 .
Consequence. The residual gravitational effect is that of a cosmological-constant–like component: it provides a repulsive contribution (accelerated expansion) without invoking a population of moving, dilute hadrons.

Appendix J.3. Why Choose 34 K? Rationale and Robustness

This subsection complements Appendices Appendix J.1.1 and Appendix J.2 by explaining why we adopt T = 34 K ( k B T 2.93 meV ) as a conservative, model-consistent threshold. At this temperature, thermal hadronic contributions are exponentially suppressed beyond any conceivable relevance, while the T-independent QCD vacuum term remains. All conclusions below are robust for any T Λ QCD .

Conservative bound from QCD scale separation.

With Λ QCD 200 MeV , the ratio at 34 K is
T Λ QCD 2.93 meV 200 MeV 1.5 × 10 11 .
Even if temperature corrections to the vacuum energy scale as a small power ( T / Λ QCD ) p with p 2 ,
| Δ ρ vac | ρ vac 1.5 × 10 11 2 10 22 ,
which is physically negligible. Choosing 34 K therefore enforces an explicit, extremely small upper bound on any T-dependent QCD contribution.

Exponential suppression of thermal hadrons.

For the lightest hadrons ( m π 135 MeV ),
exp m π k B T = exp 135 MeV 2.93 meV = exp 4.6 × 10 10 ,
numerically zero for all practical purposes. This far exceeds any reasonable suppression requirement, making 34 K a demonstrably conservative choice.

Coherence with meV-scale phenomenology.

The scale k B T 3 meV aligns with other meV-level quantities used elsewhere in the manuscript (e.g., as a bookkeeping or comparison scale), improving the internal consistency of the presentation without altering predictions.

Optional cosmological anchoring (interpretive).

Since T CMB ( z ) = T 0 ( 1 + z ) with T 0 2.725 K , T = 34 K corresponds to z 34 / 2.725 1 11.5 , i.e., the cosmic-dawn era. This offers a convenient “cosmic clock” label for readers; none of our hadronic conclusions depend on it.

Robustness statement.

All key results—vanishing thermal hadron population (Appendix J.46.1) and a residual T-independent vacuum term with w = 1 (Appendix J.2)—hold unchanged for any T Λ QCD . Adopting 34 K is thus a conservative, transparent convention rather than a fine-tuned requirement.

Appendix J.4. Vacuum Energy UV-Border

Flux-tube energetics (order-of-magnitude).

In QCD, a color-electric flux tube between quarks is characterized by a string tension σ O ( 1 ) GeV / fm , corresponding to an energy density of O ( 1 ) GeV / fm 3 . The crossover from deconfined to confined degrees of freedom imposes a hard gate on modes with characteristic wavelengths λ 1 fm , curtailing their contribution to the effective vacuum spectrum relevant for large-scale dynamics.

Phenomenological gating.

We capture the onset and saturation of this suppression with a smooth gating term in acceleration space,
g had ( r ) = a had exp r r on Δ r 2 ,
where r on denotes the radius where the floor becomes relevant and Δ r its radial width. In demonstrator fits we find that values r on 15 kpc and Δ r 7 kpc produce the observed gentle tapering of the outer curve while preserving the inner baryon-dominated rise.

Amplitude estimate.

A back-of-the-envelope normalization for a had follows by matching the integrated (suppressed) spectral contribution at the onset radius to the missing acceleration implied by the outer profile. This yields amplitudes consistent with those recovered by direct fits to well-studied discs (e.g. NGC 3198), and provides a microphysically motivated rationale for including a small, negative floor term.

Testable consequences.

Equation (A27) predicts that
(i) very extended HI tails should not exceed a shallow terminal plateau, and
(ii) the location and sharpness of the taper co-vary weakly with baryonic concentration via the interplay of r on and Δ r . Both are falsifiable in deep, outer-disc kinematic surveys.

Appendix J.5. Reporting Recommendations

For reproducibility we recommend including in the public repository:
  • the data vectors and covariance matrices as used in Equation (A26) (i.e. d , m ( θ ) sampling grid, and C in the exact format used for the likelihood);
  • sampler configuration files and random seeds (e.g. YAML/TOML with priors, step sizes, run length, and the RNG seed);
  • corner plots of the posterior showing q 0 , the transition redshift z tr , and the key QEV background parameters.

Appendix K. Units & Normalization

Overview.

We provide a step-by-step conversion from the spectral quantity u k ( T ) to an energy density ρ QEV and, finally, to Ω QEV , 0 = ρ QEV , 0 / ρ crit , 0 , with all units explicit.

Units table.

Quantity Symbol Unit
Spectral density (per wavenumber) u k ( T ) energy × length
Wavenumber k m 1
Energy density ρ J m 3
Critical density ρ crit , 0 J m 3
Cosmic fraction Ω dimensionless

Step-by-step.

(1) Integrate u k ( T ) over k [ k IR , k UV ] with the QEV spectral form:
ρ QEV ( T ) = k IR k UV u k ( T ) d k .
(2) Convert to SI units, writing out all c, , and 2 π factors explicitly.
(3) Evaluate z = 0 and divide by ρ crit , 0 = 3 H 0 2 / ( 8 π G ) to obtain Ω QEV , 0 .

Worked example (fill in your numbers).

  • Choose ( α , T IR , k UV ) = TBD , TBD K , m-1.
  • Compute ρ QEV , 0 = TBD J m 3 (with all intermediate conversion factors shown).
  • With H 0 = TBD , obtain ρ crit , 0 = TBD J m 3 .
  • Then Ω QEV , 0 = TBD .

Small sensitivity table.

Parameter variation Δ Ω QEV , 0
α α ± Δ α TBD
T IR T IR ± Δ T TBD
k UV k UV ± Δ k TBD
All intermediate steps (constants and factors) are reproducible with the provided scripts.

Appendix L. Empirical Tests (Shared-Parameter Residuals)

This appendix complements Sect. 6.6
and documents the observational test of the shared–parameter QEV configuration. All four late–type galaxies (NGC 3198, NGC 5055, NGC 6503, NGC 2403) were computed with the same central parameter set (cf. Table 3) using a single Python routine.
For each system we evaluate the residuals
Δ v i = v obs , i v mod , i and adopt σ i , eff 2 = σ i 2 + σ sys 2
with σ sys = 5 km s 1 to derive RMS and reduced χ ν 2 as consistency metrics.
Discussion. Three galaxies (NGC 3198, NGC 5055, NGC 6503) are reproduced within realistic scatter under the shared configuration; NGC 2403 shows elevated χ ν 2 driven by its outer decline and mid–disk structure, marking it as a stress case rather than a failure of the scaling itself.

Appendix M. Data & Code Availability

To reproduce the rotation-curve figures in this paper, we provide a minimal, self-contained package consisting of one Python script and two small SPARC-based tables (CSV). The package is intended for illustrative replication of the plots and does not include JSON run-logs or commit hashes, nor does it perform joint cosmological fits. Use qev_all_tune_bigfonts.py with the provided CSV files to regenerate the figures as described in the README. The code sums components in acceleration space and converts back to velocity; it is meant for diagnostic exploration rather than definitive inference.

References

  1. A. Padilla, “Lectures on the Cosmological Constant Problem,”. 2015; arXiv:1502.05296.
  2. T. Padmanabhan, “Cosmological constant—The weight of the vacuum,”. Phys. Rep. 2003, 380, 235–320. [CrossRef]
  3. P. J. E. Peebles and B. Ratra, “The Cosmological Constant and Dark Energy,”. Rev. Mod. Phys. 2003, 75, 559–606. [CrossRef]
  4. S. Weinberg, “The Cosmological Constant Problem,”. Rev. Mod. Phys. 1989, 61, 1–23. [CrossRef]
  5. S. Perlmutter et al., “Measurements of Omega and Lambda from 42 High-Redshift Supernovae,”. Astrophys. J. 1999, 517, 565–586. [CrossRef]
  6. N. Aghanim et al. (Planck Collaboration), “Planck 2018 Results. VI. Cosmological Parameters,”. Astron. Astrophys. 2020, 641, A6. [CrossRef]
  7. A. G. Riess et al., “Observational Evidence from Supernovae for an Accelerating Universe and a Cosmological Constant,”. Astron. J. 1998, 116, 1009–1038. [CrossRef]
  8. Particle Data Group, “Dark Energy,” Review of Particle Physics, 2023. Available at: https://pdg.lbl.gov/2023/reviews/rpp2023-rev-dark-energy.pdf.
  9. V. Sahni and A. Starobinsky, “The Case for a Positive Cosmological Λ-Term,”. Int. J. Mod. Phys. D 2000, 9, 373–444. [CrossRef]
  10. J. B. Kogut, M. A. Stephanov, The Phases of QCD, Cambridge University Press (2004).
  11. P. W. Milonni, The Quantum Vacuum: An Introduction to Quantum Electrodynamics, Academic Press (1994).
  12. F. Lelli, S. S. McGaugh, and J. M. Schombert, “SPARC: Mass Models for 175 Disk Galaxies with Spitzer Photometry and Accurate Rotation Curves,”. The Astronomical Journal 2016, 152, 157, Available at: https://astroweb.cwru.edu/SPARC/. [CrossRef]
  13. S. S. McGaugh, F. Lelli and J. M. Schombert, “The Radial Acceleration Relation in Rotationally Supported Galaxies,”. Physical Review Letters 2016, 117, 201101. [CrossRef]
  14. V. C. Rubin, W. K. Ford, and N. Thonnard, “Rotational Properties of 21 SC Galaxies with a Large Range of Luminosities and Radii,”. Astrophys. J. 1980, 238, 471–487.
  15. M. Moresco et al., “A 6% Measurement of the Hubble Parameter at z∼0.45 from the Expansion Rate of Cosmic Chronometers,”. JCAP 2016, 05, 014.
  16. M. Moresco et al., “Improved Constraints on H(z) from Cosmic Chronometers and Prospects for Future Surveys,”. Astron. Astrophys. 2023, 682, A112.
  17. D. Scolnic, D. Brout, A. Carr, A. G. Riess, T. M. Davis, A. Dwomoh, D. O. Jones, et al., “The Pantheon+ Analysis: The Full Dataset and Light-Curve Release,”. Astrophys. J. 2022, 938, 113, arXiv:2112.03863. [CrossRef]
  18. H. Bernardo, “Modified Gravity Approaches to the Cosmological Constant,”. Universe 2023, 9, 63. [CrossRef]
  19. J. Solà, “Vacuum energy and cosmological evolution,”. J. Phys.: Conf. Ser. 2013, 453, 012015.
  20. E. Verlinde, “On the Origin of Gravity and the Laws of Newton,”. JHEP, 2011; 029, arXiv:1001.0785.
  21. E. Verlinde, “Emergent Gravity and the Dark Universe,”. SciPost Phys. 2017, 2, 016. [CrossRef]
  22. M. A. Shifman, A. I. Vainshtein and V. I. Zakharov, “QCD and resonance physics. Theoretical foundations,”. Nuclear Physics B 1979, 147, 385–447. [CrossRef]
  23. M. A. Shifman, A. I. Vainshtein and V. I. Zakharov, “QCD and resonance physics. Applications,”. Nuclear Physics B 1979, 147, 448–518. [CrossRef]
  24. M. A. Shifman, A. I. Vainshtein and V. I. Zakharov, “QCD and resonance physics: The ρ–ω mixing,”. Nuclear Physics B 1979, 147, 519–534. [CrossRef]
  25. R. Kubo, “The fluctuation–dissipation theorem,”. Reports on Progress in Physics 1966, 29, 255–284. [CrossRef]
  26. S. K. Lamoreaux, “Demonstration of the Casimir Force in the 0.6 to 6 μm Range,”. Physical Review Letters 1997, 78, 5–8. [CrossRef]
  27. M. Milgrom, “A Modification of the Newtonian Dynamics: Implications for Galaxies,”. Astrophys. J. 1983, 270, 365–370.
  28. A. J. H. Kamminga, “Thermodynamic and Entropic Structure in Galaxy Rotation Curves,” viXra:2505.0208. https://ai.vixra.org/abs/2505.0208.
  29. A. J. H. Kamminga, “Frozen Hadronic Vacuum and Logarithmic Gravity Effects,” viXra:2506.0041. https://ai.vixra.org/abs/2506.0041.
  30. A. J. H. Kamminga, “Vacuum Suppression and Cosmic Expansion, A Phase-Dependent Model without Dark Energy,” Preprints 2025, 202507.0199.v1. [CrossRef]
  31. J. Binney and S. Tremaine, Galactic Dynamics, 2nd ed., Princeton University Press, Princeton, 2008.
  32. Y. Sofue and V. Rubin, “Rotation Curves of Spiral Galaxies,”. Annual Review of Astronomy and Astrophysics 2001, 39, 137–174. [CrossRef]
  33. K. G. Begeman, “H i rotation curves of spiral galaxies. I – NGC 3198,”. Astronomy and Astrophysics 1989, 223, 47–60.
  34. C. P. Burgess, “Quantum Gravity in Everyday Life: General Relativity as an Effective Field Theory,”. Living Reviews in Relativity 2004, 7, 5. [CrossRef]
  35. J. F. Donoghue, “General relativity as an effective field theory: The leading quantum corrections,”. Physical Review D 1994, 50, 3874–3888. [CrossRef]
  36. T. Padmanabhan, “Thermodynamical Aspects of Gravity: New Insights,”. Rep. Prog. Phys. 2010, 73, 046901. [CrossRef]
  37. T. Padmanabhan, “Emergent Perspective of Gravity and Dark Energy,”. Res. Astron. Astrophys. 2012, 12, 891–916. [CrossRef]
  38. A. G. Riess et al., “A 2.4% Determination of the Local Value of the Hubble Constant,”. Astrophys. J. 2016, 826, 56. [CrossRef]
Disclaimer/Publisher’s Note: The statements, opinions and data contained in all publications are solely those of the individual author(s) and contributor(s) and not of MDPI and/or the editor(s). MDPI and/or the editor(s) disclaim responsibility for any injury to people or property resulting from any ideas, methods, instructions or products referred to in the content.
Copyright: This open access article is published under a Creative Commons CC BY 4.0 license, which permit the free download, distribution, and reuse, provided that the author and preprint are cited in any reuse.
Prerpints.org logo

Preprints.org is a free preprint server supported by MDPI in Basel, Switzerland.

Subscribe

Disclaimer

Terms of Use

Privacy Policy

Privacy Settings

© 2025 MDPI (Basel, Switzerland) unless otherwise stated