Submitted:
08 September 2025
Posted:
09 September 2025
You are already at the latest version
Abstract
Keywords:
1. Introduction
2. Results and Discussion
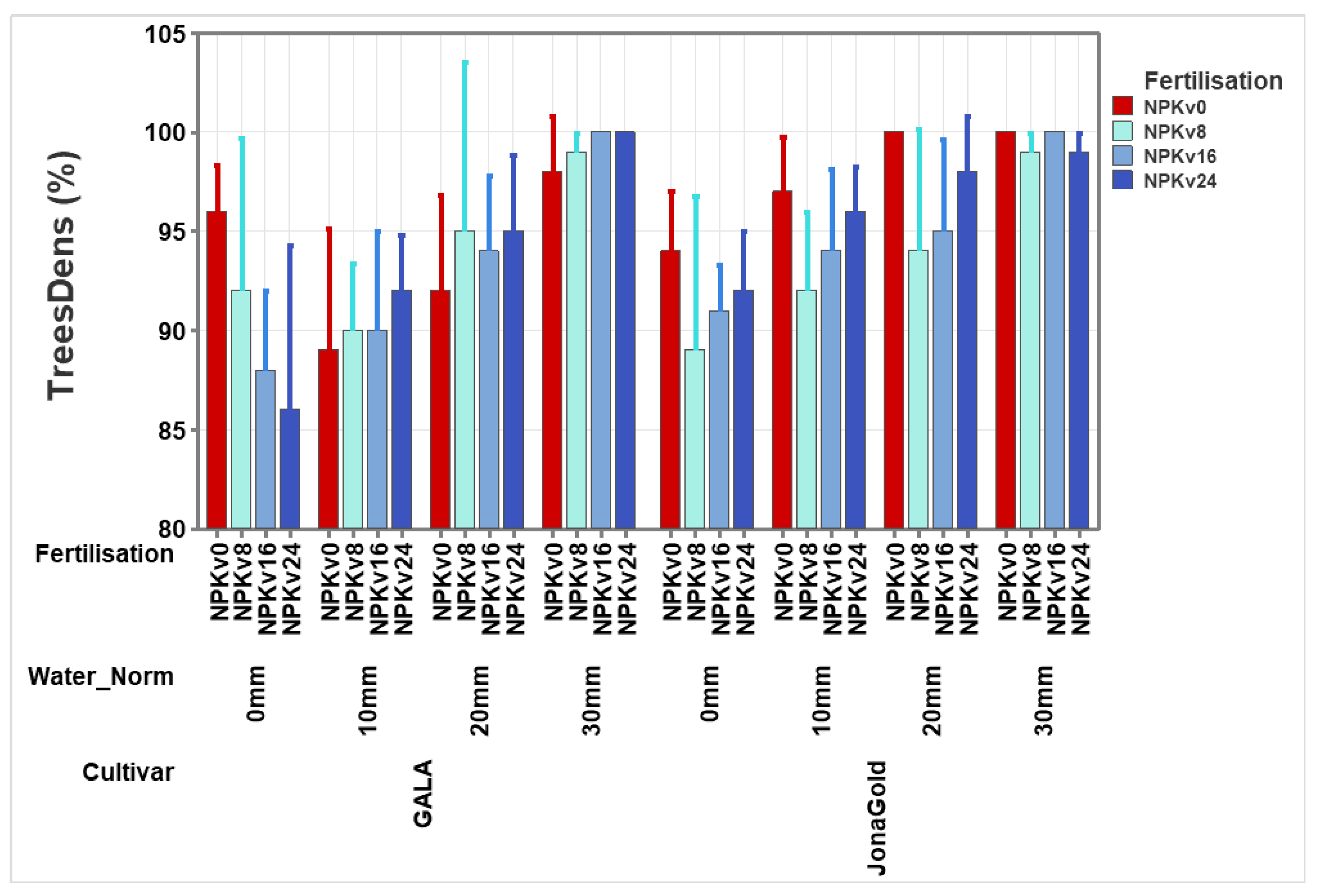
2.1. Effect of Fertilisation, Watering Norm and Cultivar on Apple Trees Density
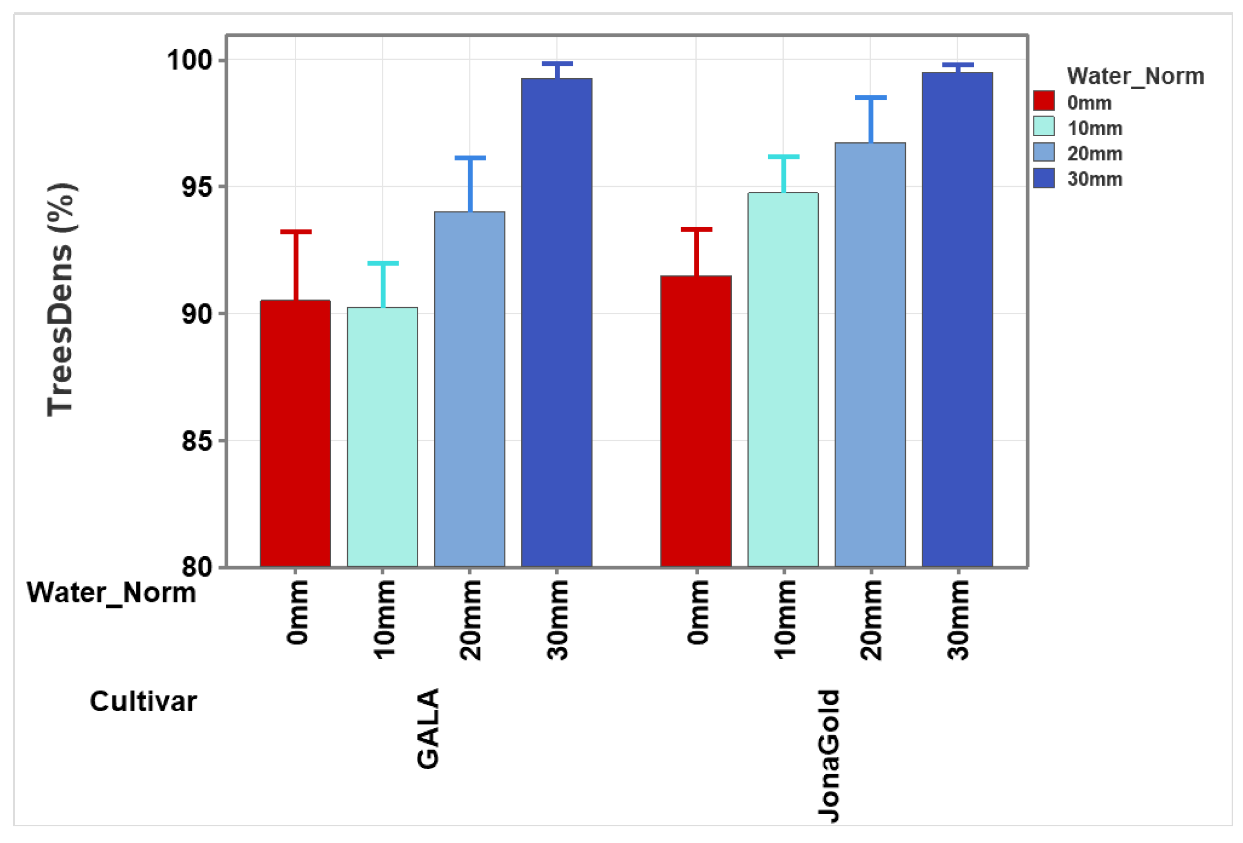
2.2. Effect of Water Norm and Cultivar on Apple Trees Density
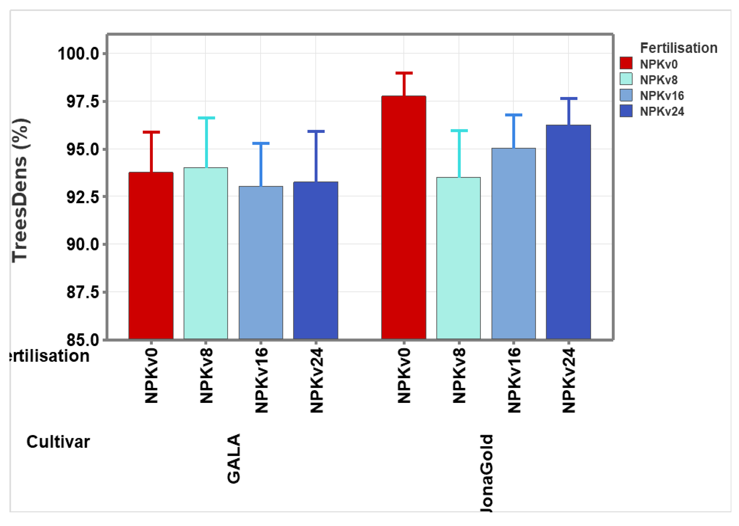
2.3. Effect of Fertilisation and Cultivar on Apple Trees Density
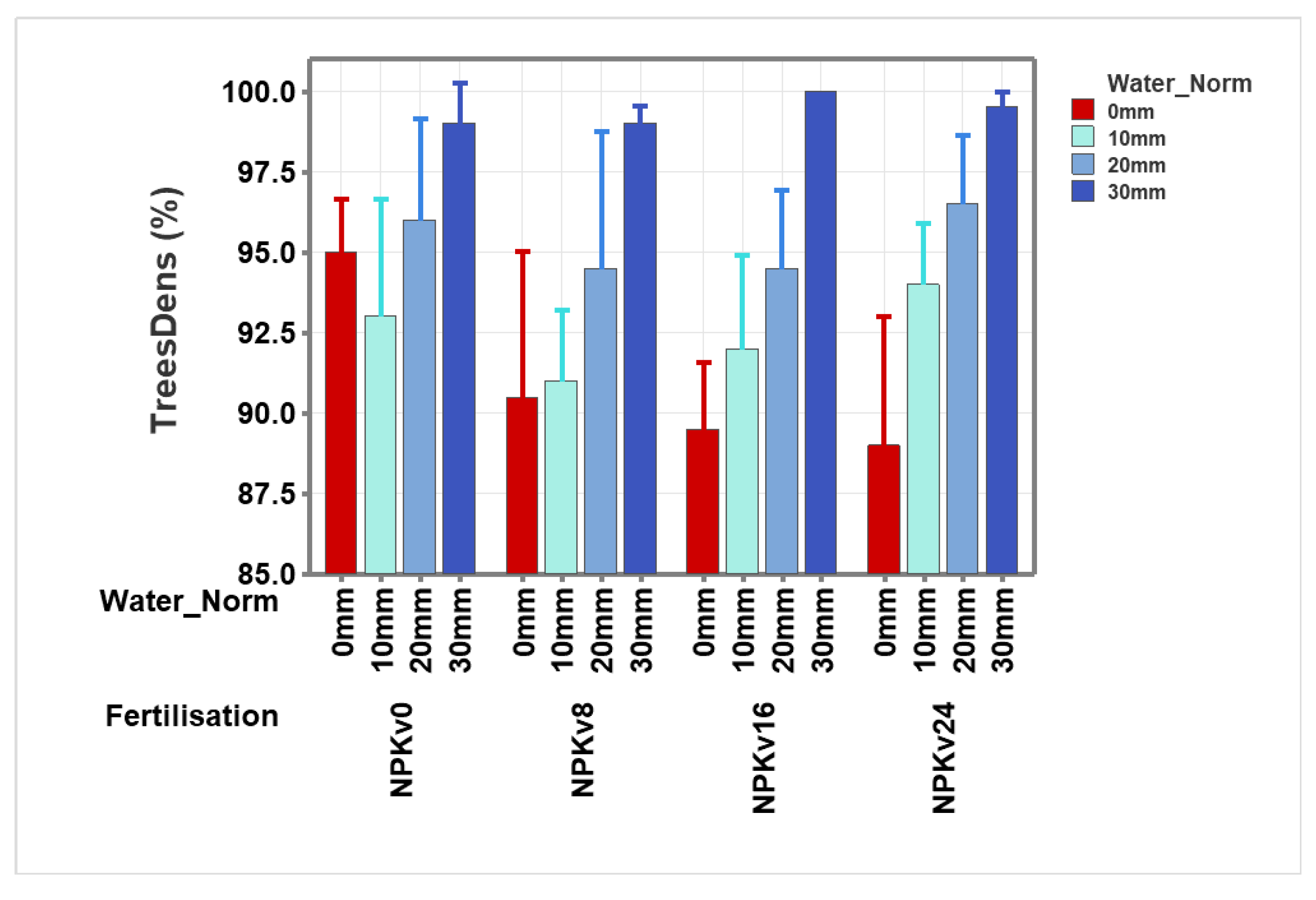
2.4. Effect of Watering Norm and Fertilisation on Apple Trees Density
2.5. Classification of Apple Cultivars Based on Water and Fertilisation Treatments
3. Materials and Methods
3.1. Climate and Soil Conditions of the Research Location
3.2. Research Methods and Biological Material Used
3.3. Water Consumption for Different Irrigation Conditions
4. Conclusions
Author Contributions
Funding
Data Availability Statement
Conflicts of Interest
References
- Spinelli, G.; Bonarrigo, A.C.; Cui, W.; Grobowsky, K.; Jordan, S.H.; Ondris, K.; García, C.P.; Redding, K.; Waldman, K.Z.; Dahlke, H.E. Evaluating the distribution uniformity of ten overhead sprinkler models used in container nurseries. Agric. Water Manag. 2024, 303. [Google Scholar] [CrossRef]
- Tardivo, C.; Patel, S.; Bowman, K.D.; Albrecht, U. Nursery Characteristics and Field Performance of Nine Novel Citrus Rootstocks under HLB-endemic Conditions. HortScience 2025, 60, 931–939. [Google Scholar] [CrossRef]
- Wei, H.; Xu, W.; Kang, B.; Eisner, R.; Muleke, A.; Rodriguez, D.; Devoil, P.; Sadras, V.; Monjardino, M.; Harrison, M.T. Irrigation with Artificial Intelligence: Problems, Premises, Promises. Human-Centric Intell. Syst. 2024, 4, 187–205. [Google Scholar] [CrossRef]
- Mir, M.S.; Raja, W.; Kanth, R.H.; Dar, E.A.; Shah, Z.A.; Bhat, M.A.; Mir, A.H.; Wani, F.J.; Bhat, T.A.; Bhat, J.A.; et al. Optimizing irrigation and nitrogen levels to achieve sustainable rice productivity and profitability. Sci. Rep. 2025, 15, 1–25. [Google Scholar] [CrossRef]
- Kumawat, K.L.; Raja, W.H.; Nabi, S.U. Quality of Nursery Trees Is Critical for Optimal Growth and Inducing Precocity in Apple. Appl. Fruit Sci. 2024, 66, 2135–2143. [Google Scholar] [CrossRef]
- Kumawat, K.; Raja, W.; Chand, L.; Rai, K.; Resources, R.S.I.-N.B.O.P.G.; Lal, S. Influence of plant growth regulators on growth and formation of sylleptic shoots in one-year-old apple cv. Gala Mast. J. Environ. Biol. 2023, 44, 122–133. [Google Scholar] [CrossRef]
- Chu, L.; Liu, D.; Li, C.; Liu, J.-H. Dwarfing of fruit trees: from old cognitions to new insights. Hortic. Adv. 2025, 3, 1–15. [Google Scholar] [CrossRef]
- Aglar, E.; Ozturk, B.; Saracoglu, O.; Long, L.E.; Yildiz, K.; Gun, S.; Has, S. Rootstock and Training Effects on Growth and Fruit Quality of Young ‘0900 Ziraat’ Sweet Cherry Trees. Appl. Fruit Sci. 2024, 66, 61–70. [Google Scholar] [CrossRef]
- Hasan, M.U.; Malik, A.U.; Saleem, B.A.; Anwar, R.; Khalid, S.; Khan, A.S.; Nasir, M. Supplementation of Potassium and Phosphorus Nutrients to Young Trees Reduced Rind Thickness and Improved Sweetness in ‘Kinnow’ Mandarin Fruit. Erwerbs-Obstbau 2023, 65, 1657–1666. [Google Scholar] [CrossRef]
- Nečas, T.; Wolf, J.; Kiss, T.; Göttingerová, M.; Ondrášek, I.; Venuta, R.; Venuta™, K.P.F.N.; Laňar, L.; Letocha, T. Improving the quality of nursery apple and pear trees with the use of different plant growth regulators. Eur. J. Hortic. Sci. 2020, 85, 430–438. [Google Scholar] [CrossRef]
- Wolf, J.; Kiss, T.; Ondrášek, I.; Nečas, T. Induction of Lateral Branching of Sweet Cherry and Plum in Fruit Nursery. Not. Bot. Horti Agrobot. Cluj-Napoca 2019, 47, 962–969. [Google Scholar] [CrossRef]
- Sayyad-Amin, P. A Review on Breeding Fruit Trees Against Climate Changes. Erwerbs-Obstbau 2022, 64, 697–701. [Google Scholar] [CrossRef]
- Ferreira, C.S.S.; Soares, P.R.; Guilherme, R.; Vitali, G.; Boulet, A.; Harrison, M.T.; Malamiri, H.; Duarte, A.C.; Kalantari, Z.; Ferreira, A.J.D. Sustainable Water Management in Horticulture: Problems, Premises, and Promises. Horticulturae 2024, 10, 951. [Google Scholar] [CrossRef]
- Neupane, K.; Witcher, A.; Baysal-Gurel, F. An Evaluation of the Effect of Fertilizer Rate on Tree Growth and the Detection of Nutrient Stress in Different Irrigation Systems. Horticulturae 2024, 10, 767. [Google Scholar] [CrossRef]
- Thakur, S.; Sharma, N.C.; Kumar, P.; Verma, P.; Singh, U.; Verma, P. Optimisation of budding timing and methods for production of quality apricot nursery plants. J. Hortic. Sci. Biotechnol. 2025, 1–18. [Google Scholar] [CrossRef]
- Carr, M. IRRIGATION RESEARCH: DEVELOPING A HOLISTIC APPROACH. Acta Hortic. 2000, 733–739. [Google Scholar] [CrossRef]
- Rosa, L.; Ragettli, S.; Sinha, R.; Zhovtonog, O.; Yu, W.; Karimi, P. Regional irrigation expansion can support climate-resilient crop production in post-invasion Ukraine. Nat. Food 2024, 5, 684–692. [Google Scholar] [CrossRef]
- Nicolae, S. , Butac M., Chivu M. Comparative Study in the Nursery of Vegetative Plum Rootstocks, 'Mirodad 1’ and 'Saint Julien A’. Scientific Papers. Series B, Horticulture, 2024, Vol. Lxviii, Issue 1, Print ISSN 2285-5653, 94-98.
- Ray, S. , Majumder, S. Water management in agriculture: Innovations for efficient irrigation. Modern agronomy, 2024, 169-185.
- Heera, J. Challenges Encountered by Nursery Owners When Producing Seedlings. Indo-American Journal of Agricultural and Veterinary Sciences, 2025, 13(2), 1-10.
- Oyedele, O.O.; Adebisi-Adelani, O.; Amao, I.O.; Ibe, R.B.; Arogundade, O.; Amosu, S.A.; Alamu, O.O. Knowledge Uptake of Stakeholders in Fruit Tree Production Training in Ibadan, Oyo State. J. Agric. Ext. 2025, 29, 101–110. [Google Scholar] [CrossRef]
- Lian, H.N.; Sema, A.; Singh, B.; Sarkar, A.; Konjengbam, R. Nursery Performance of Khasi Mandarin On Different Citrus Rootstocks in Northeast India. Appl. Fruit Sci. 2025, 67, 1–9. [Google Scholar] [CrossRef]
- Kour, R. , Alavekar, M. S., Singh, R. P., Singh, D. Nursery Management and Disease Control. Horticulture Crops, 2025, 174.
- Dominguez, L.I.; Robinson, T.L. Effects of Tree Lateral Branch Number and Angle on Early Growth and Yield of High-density Apple Trees. HortTechnology 2025, 35, 191–201. [Google Scholar] [CrossRef]
- Mayer, J. My Little Fruit Tree, Franckh Kosmos Publishing House: Stuttgart, Germany, 2019; p. 113.
- Zahir, S.A.D.M.; Jamlos, M.F.; Omar, A.F.; Nordin, M.A.H.; Raypah, M.E.A.; Mamat, R.; Jamlos, M.A.; Muncan, J. Quantifying the impact of varied NPK fertilizer levels on oil palm plants during the nursery stage: A Vis-NIR spectral reflectance analysis. Smart Agric. Technol. 2025, 11. [Google Scholar] [CrossRef]
- Choi, S.-H.; Kim, D.-Y.; Lee, S.Y.; Lee, K.H. Effect of Nutrient Management During the Nursery Period on the Growth, Tissue Nutrient Content, and Flowering Characteristics of Hydroponic Strawberry in 2022. Horticulturae 2024, 10, 1227. [Google Scholar] [CrossRef]
- Rotowa, O.J.; Małek, S.; Jasik, M.; Staszel-Szlachta, K. Substrate and Fertilization Used in the Nursery Influence Biomass and Nutrient Allocation in Fagus sylvatica and Quercus robur Seedlings After the First Year of Growth in a Newly Established Forest. Forests 2025, 16, 511. [Google Scholar] [CrossRef]
- Chira, L.; Pașca, I. Apple Trees Growing, MAST Publishing House: Bucharest, Romania, 2004; p. 37.
- Blind, S. The Old Fruit Trees Cultivars, Du Mont Publishing House: Cologne, Germany, 2020; p. 93.











| Interaction Factor: Cultivar*Water_Norm*Fertilisation | Lp-Norm values | Lp-Norm Quartiles |
| GALA*30mm*NPKv16 | 1.0000 | 4 |
| GALA*30mm*NPKv24 | 1.0000 | 4 |
| JonaGold*20mm*NPKv0 | 1.0000 | 4 |
| JonaGold*30mm*NPKv0 | 1.0000 | 4 |
| JonaGold*30mm*NPKv16 | 1.0000 | 4 |
| GALA*30mm*NPKv8 | 0.9901 | 4 |
| JonaGold*30mm*NPKv8 | 0.9901 | 4 |
| JonaGold*30mm*NPKv24 | 0.9901 | 4 |
| GALA*30mm*NPKv0 | 0.9805 | 3 |
| JonaGold*20mm*NPKv24 | 0.9805 | 3 |
| JonaGold*10mm*NPKv0 | 0.9705 | 3 |
| GALA*0mm*NPKv0 | 0.9604 | 3 |
| JonaGold*10mm*NPKv24 | 0.9603 | 3 |
| GALA*20mm*NPKv8 | 0.9551 | 3 |
| JonaGold*20mm*NPKv16 | 0.9515 | 3 |
| GALA*20mm*NPKv24 | 0.9510 | 3 |
| JonaGold*20mm*NPKv8 | 0.9427 | 2 |
| JonaGold*10mm*NPKv16 | 0.9412 | 2 |
| GALA*20mm*NPKv16 | 0.9410 | 2 |
| JonaGold*0mm*NPKv0 | 0.9406 | 2 |
| GALA*0mm*NPKv8 | 0.9242 | 2 |
| GALA*20mm*NPKv0 | 0.9217 | 2 |
| JonaGold*10mm*NPKv8 | 0.9211 | 2 |
| JonaGold*0mm*NPKv24 | 0.9207 | 2 |
| GALA*10mm*NPKv24 | 0.9206 | 2 |
| JonaGold*0mm*NPKv16 | 0.9104 | 1 |
| GALA*10mm*NPKv16 | 0.9018 | 1 |
| GALA*10mm*NPKv8 | 0.9008 | 1 |
| JonaGold*0mm*NPKv8 | 0.8944 | 1 |
| GALA*10mm*NPKv0 | 0.8928 | 1 |
| GALA*0mm*NPKv16 | 0.8812 | 1 |
| GALA*0mm*NPKv24 | 0.8652 | 1 |
| Month | Jan. | Feb. | Mar. | Apr. | May | Jun. | Jul. | Aug. | Sep. | Oct. | Nov. | Dec. | Average |
|
Average monthly temperatures (0C) |
-2.5 | -1.9 | 4.0 | 12.5 | 16.0 | 19.5 | 24.0 | 20.0 | 18.3 | 13.5 | 7.5 | -2.4 | 10.7 |
|
Average monthly precipitations (mm) |
12.5 | 15.7 | 18.0 | 2.0 | 103.8 | 55.6 | 86.4 | 30.8 | 57 | 63 | 20.4 | 54.3 | 43.29 |
|
Year |
Irrigation rate |
Total water consumption (m3/ha) |
Source of water consumption coverage (m3 /ha) |
||
| Soil | Rainfall | Irrigation | |||
| 2024 | 0 mm | 3.872 | 710 | 3.162 | - |
| 10 mm | 4.020 | 558 | 3.162 | 300 | |
| 20 mm | 4.217 | 455 | 3.162 | 600 | |
| 30 mm | 4.251 | 189 | 3.162 | 900 | |
Disclaimer/Publisher’s Note: The statements, opinions and data contained in all publications are solely those of the individual author(s) and contributor(s) and not of MDPI and/or the editor(s). MDPI and/or the editor(s) disclaim responsibility for any injury to people or property resulting from any ideas, methods, instructions or products referred to in the content. |
© 2025 by the authors. Licensee MDPI, Basel, Switzerland. This article is an open access article distributed under the terms and conditions of the Creative Commons Attribution (CC BY) license (https://creativecommons.org/licenses/by/4.0/).