Submitted:
04 September 2025
Posted:
05 September 2025
You are already at the latest version
Abstract
Keywords:
1. Introduction
2. Solar Radiation
3. Solar System Model
4. Heating Water in an Outdoor Pool
5. Results
5.1. Climate Parameters
5.2. Courses of Heat Fluxes and Temperatures
5.3. The Impact of Climatic Parameters on
5.4. Removing Excess Heat from the Tank - Impact on
6. Conclusions
- (1)
- The method proposed by the authors combines the concept of solar utilizability with a functional approximation of physical and geometric quantities that undergo cyclical changes throughout the year. It generates smooth curves, disregarding short-term fluctuations in weather conditions relative to the average values. The developed numerical model enables quick and comprehensive analysis of the process and assessment of heat fluxes and temperatures occurring in the solar heating system for buildings and pools.
- (2)
- For the input data used in simulation calculations, the thermal effects of heating the pool are insufficient. In general, the water in pools is heated to 25-30°C. However, the purpose of this article was to examine the effect of using excess heat generated for space heating during the heating season; heating the water in the pool was only a result of this process. For the considered input data pool water temperature throughout the heating period was approximately 5-6 K higher than the air temperature, and the water temperature in the tank was relatively stable. The largest contribution to pool water heating comes from heat absorbed directly from solar radiation. The greatest heat losses in the pool are due to evaporative heat flux.
- (3)
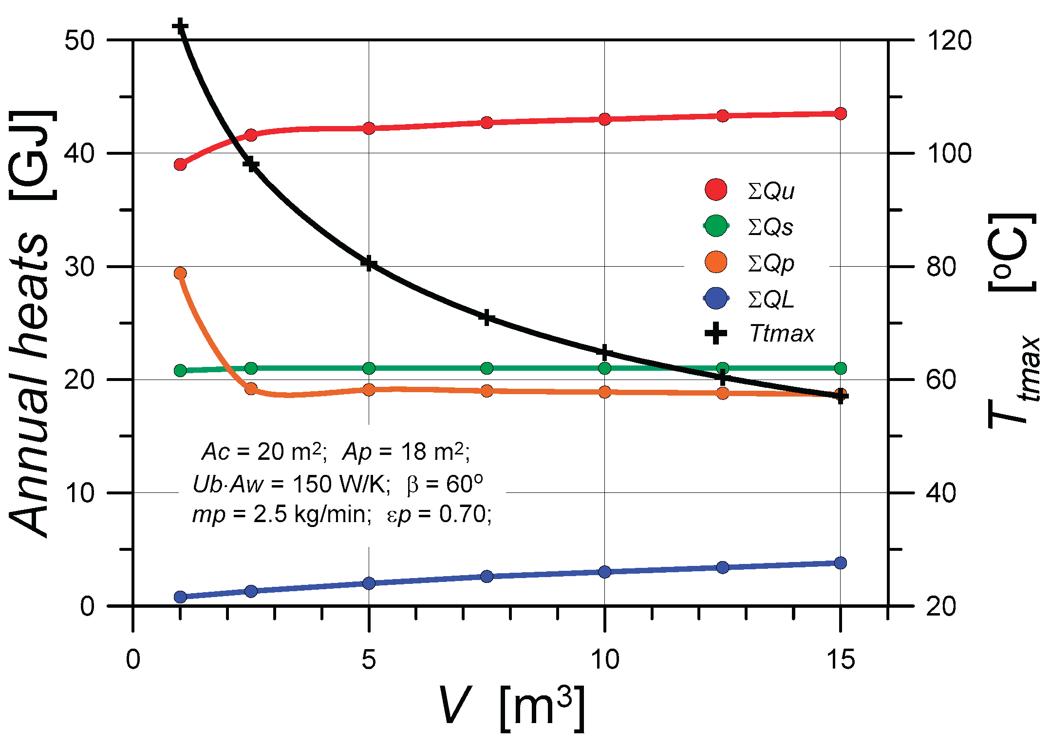
- The impact of the solar collectors' area on the solar efficiency and solar fraction indicators was analyzed. Achieving values close to unity in temperate climates is quite difficult. It requires the use of large collector areas and large tank volumes. However, since buildings are always equipped with additional heat sources, it is advisable to forego high values in favour of increasing . This can be achieved by heating the water in the pool with excess heat from the solar installation. With increase, rises monotonically. The impact of is quite different for - the - curve has a maximum for small values of .
- (4)
- Climatic conditions have a strong influence on pool water temperature. A change in air humidity from 0.3 to 0.9 causes an increase in the maximum value of pool water temperature by 6 K. An increase in wind speed of 1.5 m/s can cause a reduction of 3 K in the maximum pool water temperature. Mass losses caused by water evaporation from pools are significant. For air at a temperature of 20 °C and relative humidity of 0.7, and water temperature of 23 °C, the difference in partial water vapor pressure above the water surface is 1170 Pa. Assuming a heat transfer coefficient (for u=0.5 m/s) of h = 7.6 W/(m2K), the evaporating water stream is equal to 0.22 kg/(m²∙h). Thus, approximately 0.09 m3 of water evaporates from a pool with an area of 18 m² per day.
- (5)
- Transferring excess heat from the storage tank does not reduce the potential heating capabilities of the space heating system. Therefore, this action is equivalent to improving the thermal performance of solar heating systems.
Author Contributions
Funding
Institutional Review Board Statement
Informed Consent Statement
Data Availability Statement
Conflicts of Interest
Nomenclature
| solar collectors' surface area, m2; | |
| pool surface area, m2; | |
| c | heat capacity, J/(kgK); |
| DDa | annual degree-days, K·day; |
| DDm | monthly degree-days, K·day; |
| evaporative heat flux, W/m2; | |
| collector heat removal factor; | |
| heat transfer coefficient, W/(m2K); | |
| daily radiation on the horizontal surface, J/m2; | |
| convective flux, W/m2; | |
| daily radiation on a tilted surface, J/m2; | |
| deep of the pool, m; | |
| daily radiation outside the atmosphere, J/m2; | |
| daily clearness index; | |
| long-wave radiation flux, W/m2; | |
| n | day of the year; |
| mass flow rate in the building circuit, kg/s; | |
| mass flow rate in the pool circuit, kg/s; | |
| mass of building, kg; | |
| daily heat accumulated in the walls of the building, J; | |
| daily heat from auxiliary source, J; | |
| daily heat required for space heating, J; | |
| daily tank heat losses, J; | |
| daily excess heat transferred to the pool, J; | |
| daily heat transferred to the building, J; | |
| daily useful heat, J; | |
| PVGIS | Photovoltaic Geographical Information System; |
| daily average beam radiation on the tilted surface, J/m2; | |
| air humidity; | |
| SC | solar collector; |
| solar efficiency defined by Eq.(19); | |
| solar fraction defined by Eq.(18); | |
| T | temperature, oC; |
| air temperature, oC; | |
| tank surroundings temperature, oC; | |
| inlet water temperature of the radiator in the room, oC; | |
| pool water temperature, K or oC; | |
| room temperature in the building, oC; | |
| sky temperature, K; | |
| water temperature in tank, oC; | |
| building walls temperature, oC; | |
| u | wind speed, m/s; |
| overall heat transfer coefficient of the whole building, W/(m2K); | |
| overall heat transfer coefficient of the tank, W/(m2K); | |
| volume of tank, m3; | |
| water volume in the pool, m3; | |
| time step ( = 1 day); | |
| daily variation of the water temperature in the tank, oC; | |
| internal energy change of the pool water, J; | |
| effective transmittance – absorptance product; | |
| β | collectors slope, rad or °; |
| ε | effectiveness of heat exchanger; |
| effectiveness of the pool heat exchanger; | |
| water density, kg/m3; | |
| diffuse reflectance; | |
| Stefan-Boltzmann constant, 5.67×10⁻⁸ W m⁻² K⁻⁴; | |
| summing from 1 to 365 days; | |
| daily utilizability; | |
| ψ | latitude, °; |
Appendix A. The Simultaneous Heat and Mass Transfer
References
- Sweet, M.L.; McLeskey, J.T. Numerical simulation of underground Seasonal Solar Thermal Energy Storage (SSTES) for a single family dwelling using TRNSYS. Sol. Energy 2012, 86, 289–300. [Google Scholar] [CrossRef]
- Soni, N.; Sharma, D.; Rahman, M.M.; Hanmaiahgari, P.R.; Reddy, V.M. Mathematical Modeling of Solar Energy based Thermal Energy Storage for House Heating in Winter. J. Energy Storage 2021, 34, 102203. [Google Scholar] [CrossRef]
- Redpath, D.; Colclough, S.; Griffiths, P.; Hewitt, N. Solar Thermal Energy Storage for the Typical European Dwelling; Available Resources, Storage Requirements and Demand. 2015, 1–9. [CrossRef]
- Clarke, J.; Colclough, S.; Griffiths, P.; McLeskey, J.T. A passive house with seasonal solar energy store: In situ data and numerical modelling. Int. J. Ambient Energy 2014, 35, 37–50. [Google Scholar] [CrossRef]
- Antoniadis, C.N.; Martinopoulos, G. Optimization of a building integrated solar thermal system with seasonal storage using TRNSYS. Renew. Energy 2019, 137, 56–66. [Google Scholar] [CrossRef]
- Villasmil, W.; Troxler, M.; Hendry, R.; Schuetz, P.; Worlitschek, J. Control strategies of solar heating systems coupled with seasonal thermal energy storage in self-sufficient buildings. J. Energy Storage 2021, 42. [Google Scholar] [CrossRef]
- Meister, C.; Beausoleil-Morrison, I. Experimental and modelled performance of a building-scale solar thermal system with seasonal storage water tank. Sol. Energy 2021, 222, 145–159. [Google Scholar] [CrossRef]
- Brites, G.J.; Garruço, M.; Fernandes, M.S.; Sá Pinto, D.M.; Gaspar, A.R. Seasonal storage for space heating using solar DHW surplus. Renew. Energy 2024, 231. [Google Scholar] [CrossRef]
- Kupiec, K.; Pater, S. On the possibility of achieving high solar fractions for space heating in temperate climates. Sol. Energy 2025, 300, 113789. [Google Scholar] [CrossRef]
- Kupiec, K.; Król, B. Optimal Collector Tilt Angle to Maximize Solar Fraction in Residential Heating Systems: A Numerical Study for Temperate Climates. Sustain. 2025, 17. [Google Scholar] [CrossRef]
- Lugo, S.; Morales, L.I.; Best, R.; Gómez, V.H.; García-Valladares, O. Numerical simulation and experimental validation of an outdoor-swimming-pool solar heating system in warm climates. Sol. Energy 2019, 189, 45–56. [Google Scholar] [CrossRef]
- Tagliafico, L.A.; Scarpa, F.; Tagliafico, G.; Valsuani, F. An approach to energy saving assessment of solar assisted heat pumps for swimming pool water heating. Energy Build. 2012, 55, 833–840. [Google Scholar] [CrossRef]
- Chow, T.T.; Bai, Y.; Fong, K.F.; Lin, Z. Analysis of a solar assisted heat pump system for indoor swimming pool water and space heating. Appl. Energy 2012, 100, 309–317. [Google Scholar] [CrossRef]
- Ilgaz, R.; Yumrutaş, R. Heating performance of swimming pool incorporated solar assisted heat pump and underground thermal energy storage tank: A case study. Int. J. Energy Res. 2022, 46, 1008–1031. [Google Scholar] [CrossRef]
- Li, Y.; Nord, N.; Huang, G.; Li, X. Swimming pool heating technology: A state-of-the-art review. Build. Simul. 2021, 14, 421–440. [Google Scholar] [CrossRef]
- Zhao, J.; Bilbao, J.I.; Spooner, E.D.; Sproul, A.B. Experimental study of a solar pool heating system under lower flow and low pump speed conditions. Renew. Energy 2018, 119, 320–335. [Google Scholar] [CrossRef]
- Li, Y.; Nord, N.; Yin, H.; Pan, G. Impact of heat loss from storage tank with phase change material on the performance of a solar-assisted heat pump system. Renew. Energy 2025, 241, 122208. [Google Scholar] [CrossRef]
- Li, Y.; Liang, J.; Chen, W.; Wu, Z.; Yin, H. Optimal design of a solar-assisted heat pump system with PCM tank for swimming pool utilization. Renew. Energy 2025, 240, 122272. [Google Scholar] [CrossRef]
- Starke, A.R.; Cardemil, J.M.; Colle, S. Multi-objective optimization of a solar-assisted heat pump for swimming pool heating using genetic algorithm. Appl. Therm. Eng. 2018, 142, 118–126. [Google Scholar] [CrossRef]
- Gonçalves, R.S.; Palmero-Marrero, A.I.; Oliveira, A.C. Analysis of swimming pool solar heating using the utilizability method. Energy Reports 2020, 6, 717–724. [Google Scholar] [CrossRef]
- Faisal Ahmed, S.; Khalid, M.; Vaka, M.; Walvekar, R.; Numan, A.; Khaliq Rasheed, A.; Mujawar Mubarak, N. Recent progress in solar water heaters and solar collectors: A comprehensive review. Therm. Sci. Eng. Prog. 2021, 25, 100981. [Google Scholar] [CrossRef]
- Olczak, P.; Matuszewska, D.; Zabagło, J. The comparison of solar energy gaining effectiveness between flat plate collectors and evacuated tube collectors with heat pipe: Case study. Energies 2020, 13. [Google Scholar] [CrossRef]
- Braun, J.E.; Klein, S.A.; Mitchell, J.W. Seasonal storage of energy in solar heating. Sol. Energy 1981, 26, 403–411. [Google Scholar] [CrossRef]
- Chiasson, A.D. Geothermal Heat Pump and Heat Engine Systems: Theory And Practice; John Wiley & Sons, Ltd., 2016; ISBN 9781118961940.
- Goswami, D.Y. Principles of Solar Engineering; CRC Press, Taylor & Francis Group: Boca Raton, 2022; ISBN 9781003244387. [Google Scholar]
- Kalogirou, S.A. Solar Energy Engineering: Processes and Systems; Elsevier Inc, 2009; ISBN 9780123745019.
- European Commission, Photovoltaic Geographical Information System. Available online: https://re.jrc.ec.europa.eu/pvg_tools/en/ (accessed on 22 August 2025).
- Duffie, J.A.; Beckman, W.A. Solar Engineering of Thermal Processes; Fourth.; John Wiley & Sons, 2013; ISBN 978-0-470-87366-3.
- Perry, S.; Perry, R.H.; Green, D.W.; Maloney, J.O. Perry’s chemical engineers’ handbook; 2000; Vol. 38; ISBN 0070498415.



















Disclaimer/Publisher’s Note: The statements, opinions and data contained in all publications are solely those of the individual author(s) and contributor(s) and not of MDPI and/or the editor(s). MDPI and/or the editor(s) disclaim responsibility for any injury to people or property resulting from any ideas, methods, instructions or products referred to in the content. |
© 2025 by the authors. Licensee MDPI, Basel, Switzerland. This article is an open access article distributed under the terms and conditions of the Creative Commons Attribution (CC BY) license (http://creativecommons.org/licenses/by/4.0/).
