Submitted:
31 August 2025
Posted:
01 September 2025
You are already at the latest version
Abstract
Keywords:
1. Introduction
2. System Architecture and Digital Signal Processing Methods
2.1. Transmission Structure
2.2. DSP Methods of Transmitter and Receiver
2.3. Noise Configure and SKR Calculation
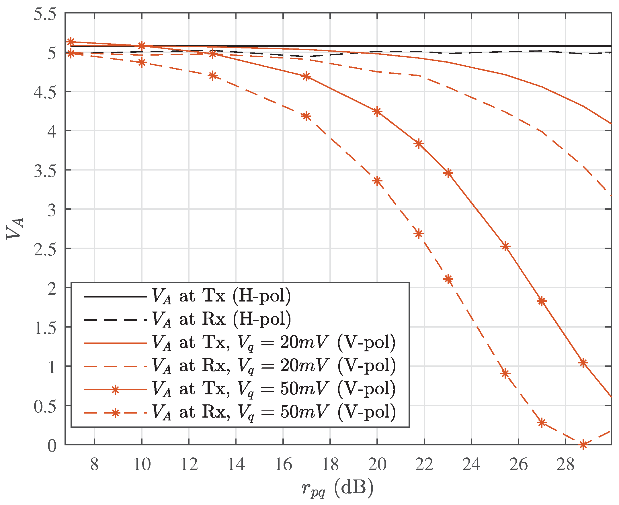
3. The Effects of FDM Pilot-Aided Scheme on Security Parameter Estimation
4. Strategy Optimization of TS-Aided Equalization
5. Discussion
- The calibration of in pilot-aided CVQKD systems is an important issue worthy of discussion, mainly because the method of calibrating in B2B is infeasible in commercial application .
- The GMCS is considered only in this work because the security proof of GMCS is more complete compared to that for DMCS. In future we will consider DMCS protocol as well.
- In this work, the finite-size effect is not taken into account for simplicity. However, we mainly consider the SKR difference of scheme A and scheme B, thus the SKR loss induced by finite-size effect can be counteracted.
6. Conclusions
Author Contributions
Funding
Institutional Review Board Statement
Informed Consent Statement
Data Availability Statement
Conflicts of Interest
References
- Bennett, C.H.; Brassard, G. Quantum cryptography: Public key distribution and coin tossing. Theoretical computer science 2014, 560, 7–11.
- Gisin, N.; Ribordy, G.; Tittel, W.; Zbinden, H. Quantum cryptography Rev. Mod, 2002.
- Sharma, P.; Agrawal, A.; Bhatia, V.; Prakash, S.; Mishra, A.K. Quantum key distribution secured optical networks: A survey. IEEE Open Journal of the Communications Society 2021, 2, 2049–2083.
- Wang, L.J.; Zou, K.H.; Sun, W.; Mao, Y.; Zhu, Y.X.; Yin, H.L.; Chen, Q.; Zhao, Y.; Zhang, F.; Chen, T.Y.; et al. Long-distance copropagation of quantum key distribution and terabit classical optical data channels. Physical Review A 2017, 95, 012301.
- Zhang, Y.; Bian, Y.; Li, Z.; Yu, S.; Guo, H. Continuous-variable quantum key distribution system: Past, present, and future. Applied Physics Reviews 2024, 11.
- Wang, T.; Huang, P.; Li, L.; Zhou, Y.; Zeng, G. High key rate continuous-variable quantum key distribution using telecom optical components. New Journal of Physics 2024, 26, 023002.
- Hajomer, A.A.; Bruynsteen, C.; Derkach, I.; Jain, N.; Bomhals, A.; Bastiaens, S.; Andersen, U.L.; Yin, X.; Gehring, T. Continuous-variable quantum key distribution at 10 gbaud using an integrated photonic-electronic receiver. Optica 2024, 11, 1197–1204.
- Roumestan, F. Advanced signal processing techniques for continuous variable quantum key distribution over optical fiber. PhD thesis, Sorbonne Université, 2022.
- Roumestan, F.; Ghazisaeidi, A.; Renaudier, J.; Vidarte, L.T.; Leverrier, A.; Diamanti, E.; Grangier, P. Shaped constellation continuous variable quantum key distribution: Concepts, methods and experimental validation. Journal of Lightwave Technology 2024.
- Ghorai, S.; Grangier, P.; Diamanti, E.; Leverrier, A. Asymptotic security of continuous-variable quantum key distribution with a discrete modulation. Physical Review X 2019, 9, 021059.
- Pan, Y.; Wang, H.; Shao, Y.; Pi, Y.; Li, Y.; Liu, B.; Huang, W.; Xu, B. Experimental demonstration of high-rate discrete-modulated continuous-variable quantum key distribution system. Optics Letters 2022, 47, 3307–3310.
- Marie, A.; Alléaume, R. Self-coherent phase reference sharing for continuous-variable quantum key distribution. Physical Review A 2017, 95, 012316.
- Wang, H.; Li, Y.; Pi, Y.; Pan, Y.; Shao, Y.; Ma, L.; Zhang, Y.; Yang, J.; Zhang, T.; Huang, W.; et al. Sub-Gbps key rate four-state continuous-variable quantum key distribution within metropolitan area. Communications Physics 2022, 5, 162.
- Wang, T.; Huang, P.; Zhou, Y.; Liu, W.; Ma, H.; Wang, S.; Zeng, G. High key rate continuous-variable quantum key distribution with a real local oscillator. Optics express 2018, 26, 2794–2806.
- Tan, Z.; Wang, T.; Xu, Y.; Liu, X.; Li, L.; Zhang, B.; Liu, Y.; Huang, P.; Zeng, G. Polarization Division Multiplexing CV-QKD with Pilot-Aided Polarization-State Sensing. Mathematics 2024, 12, 3599.
- Huang, D.; Huang, P.; Lin, D.; Wang, C.; Zeng, G. High-speed continuous-variable quantum key distribution without sending a local oscillator. Optics letters 2015, 40, 3695–3698.
- Tian, Y.; Zhang, Y.; Liu, S.; Wang, P.; Lu, Z.; Wang, X.; Li, Y. High-performance long-distance discrete-modulation continuous-variable quantum key distribution. Optics Letters 2023, 48, 2953–2956.
- Wang, T.; Huang, P.; Wang, S.; Zeng, G. Polarization-state tracking based on Kalman filter in continuous-variable quantum key distribution. Optics Express 2019, 27, 26689–26700.
- Zhang, S.; Wang, H.; Pan, Y.; Shao, Y.; Zhang, T.; Huang, W.; Li, Y.; Xu, B. A Novel Continuous-Variable Quantum Key Distribution Scheme Based on Multi-Dimensional Multiplexing Technology. Applied Sciences 2024, 14, 934.
- Zhao, J.; Liu, Y.; Xu, T. Advanced DSP for coherent optical fiber communication. Applied Sciences 2019, 9, 4192.
- Ren, S.; Yang, S.; Wonfor, A.; White, I.; Penty, R. Demonstration of high-speed and low-complexity continuous variable quantum key distribution system with local local oscillator. Scientific Reports 2021, 11, 9454.
- Jain, N.; Chin, H.M.; Mani, H.; Lupo, C.; Nikolic, D.S.; Kordts, A.; Pirandola, S.; Pedersen, T.B.; Kolb, M.; Ömer, B.; et al. Practical continuous-variable quantum key distribution with composable security. Nature communications 2022, 13, 4740.
- Ke, J.; He, Z.; Xin, C.; Yang, T.; Li, C. Low-complexity symbol-rate rx dsp for short-reach optical coherent transmission systems. In Proceedings of the Optical Fiber Communication Conference. Optica Publishing Group, 2021, pp. W6A–30.












| Blocklength N | 1e5 |
| Symbol rate | 2 GBaud |
| Roll-off factor | 0.2 |
| Up-convertion frequency | 1.5 GHz |
| Pilot frequency | 3.5 GHz |
| Frequency offset | 1 MHz |
| of MZM | 3 V |
| Modulation variance in SNU | 5 |
| Central frequency of lasers | 193.4 THz |
| Optical fiber loss coefficient | 0.2 dB/km |
| Bandwidth of receiver | 12 GHz |
| Quantum efficiency | 0.8 |
| Reconciliation efciency | 0.95 |
| Electronic noise variance ( in SNU) | 0.1 |
Disclaimer/Publisher’s Note: The statements, opinions and data contained in all publications are solely those of the individual author(s) and contributor(s) and not of MDPI and/or the editor(s). MDPI and/or the editor(s) disclaim responsibility for any injury to people or property resulting from any ideas, methods, instructions or products referred to in the content. |
© 2025 by the authors. Licensee MDPI, Basel, Switzerland. This article is an open access article distributed under the terms and conditions of the Creative Commons Attribution (CC BY) license (http://creativecommons.org/licenses/by/4.0/).