Submitted:
12 August 2025
Posted:
13 August 2025
You are already at the latest version
Abstract
Keywords:
1. Introduction
2. Experimental Details
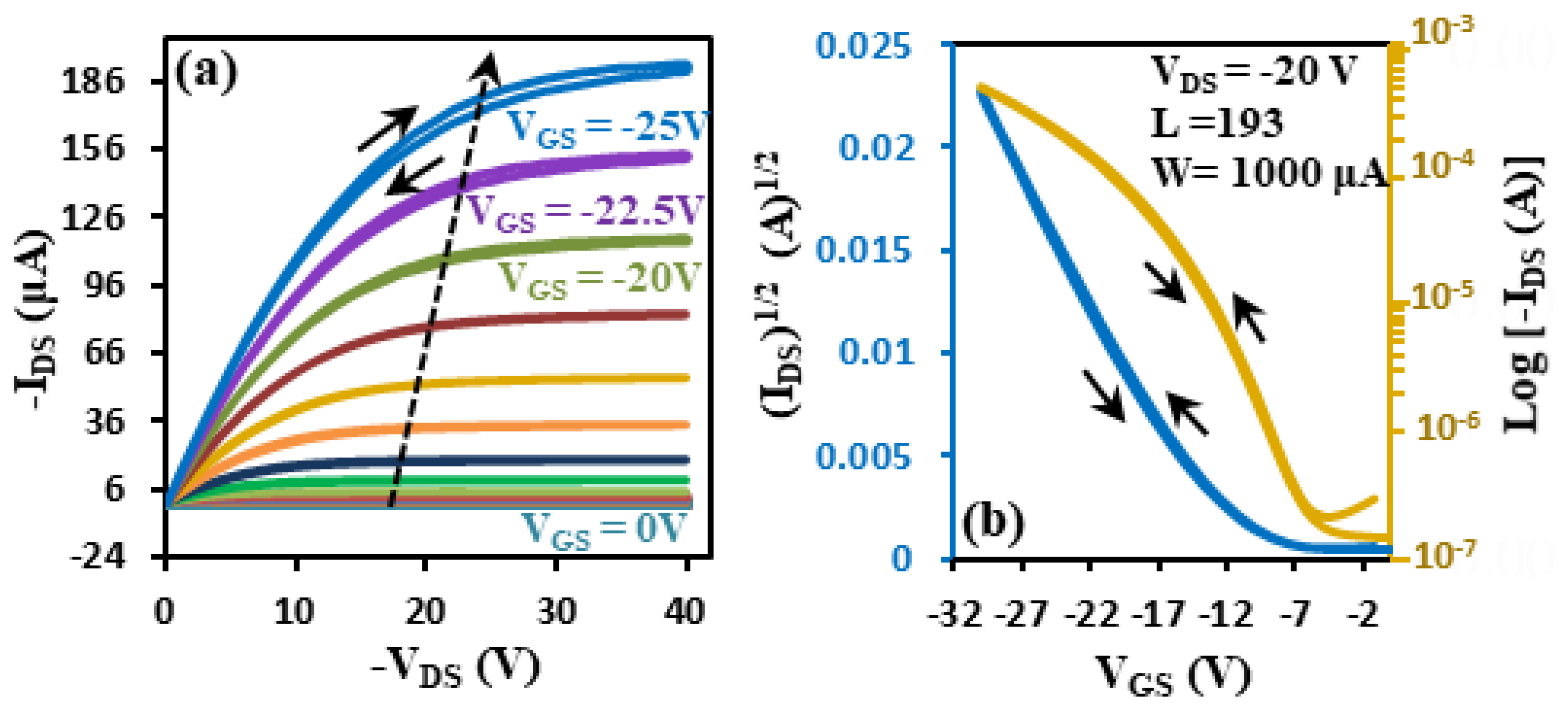
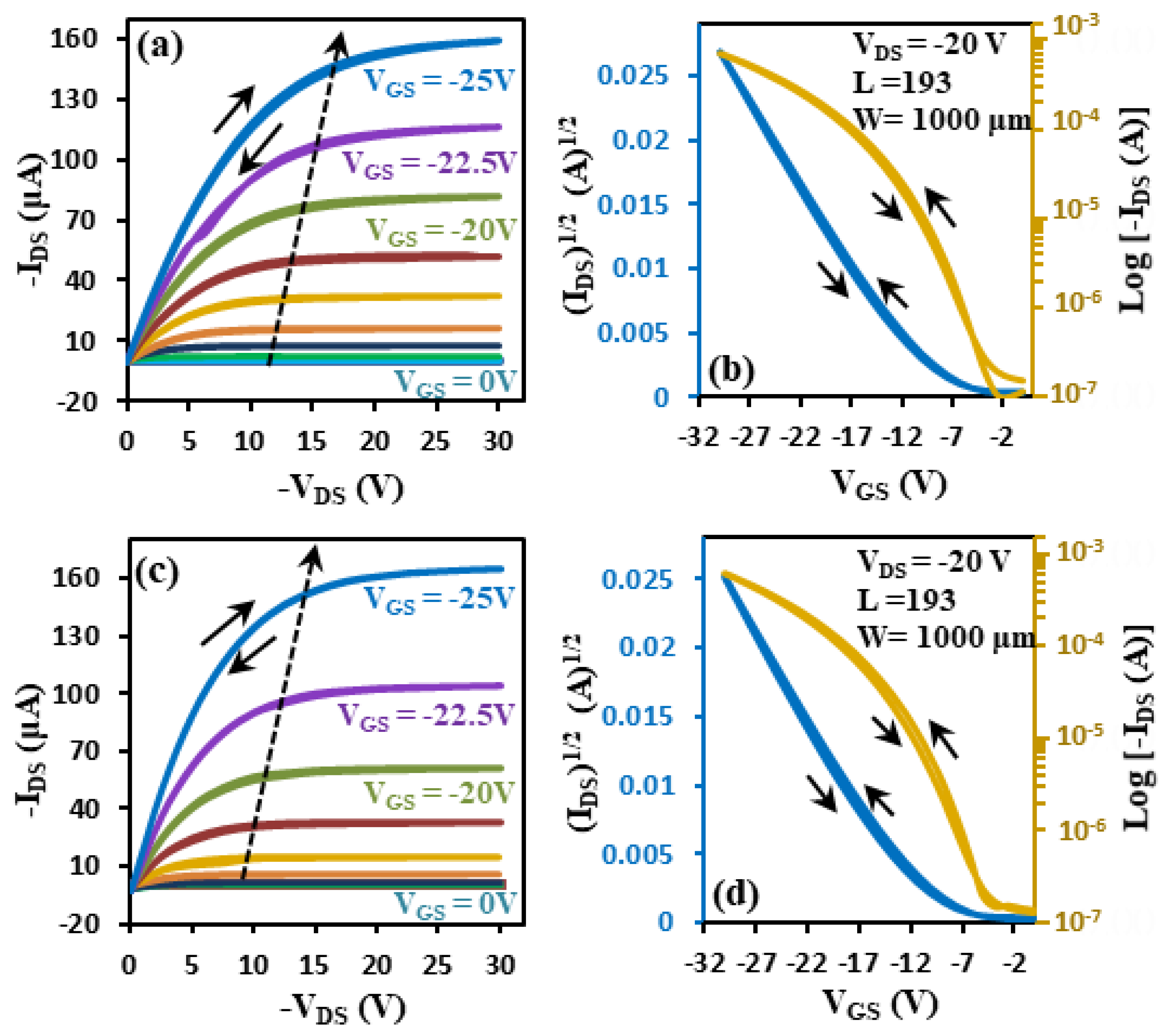
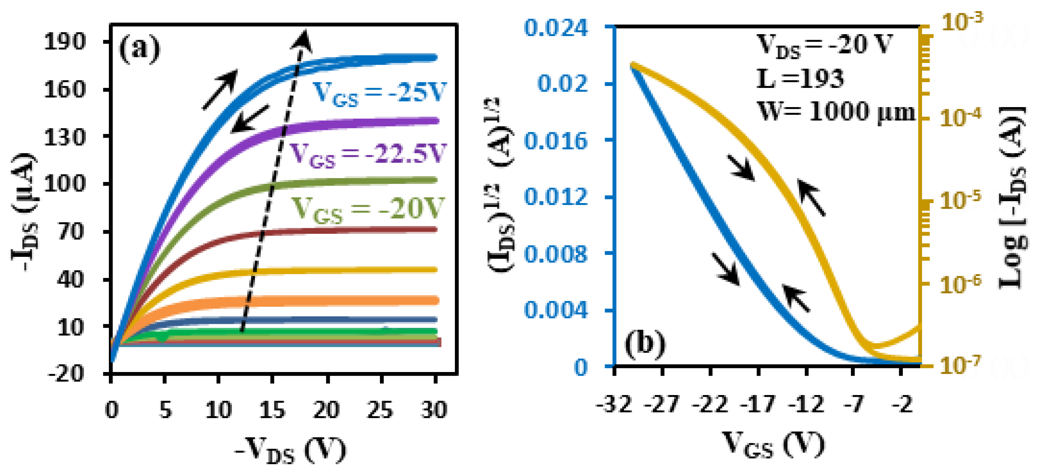
3. Results and Discussion
4. Conclusions
References
- Alex, C.; Jia, L.; Zhenan, B. Pursuing prosthetic electronic skin. Nat. Mater 2016, 15, 937–50. [Google Scholar]
- Takao, S.; Zhenan, B.; George, G. M. The rise of plastic bioelectronics. Nature 2016, 540, 379–385. [Google Scholar] [CrossRef]
- Haifeng, L.; Shenghua, L.; Zijian, Z.; Feng, Y. Organic Flexible Electronics. Small Method 2018, 2, 1800070. [Google Scholar]
- Mohamed, S.; Ahmed, H.; Zhenxing, W.; Mehrdad, S.; Daniel, N.; Renato, N. Graphene integrated circuits: new prospects towards receiver realization. Nanoscale 2018, 10, 93–99. [Google Scholar]
- Skotheim, T. A. pi-electron models of conjugated polymers: vibrational and nonlinear optical spectra, in Handbook of conducting polymers: CRC press Marcel Dekker, New York, 1997, 27.
- Samual, E. R.; Suchol, S.; Adam, D. P.; Danil, R.; Darren, J. L. Mechanical Properties of Organic Semiconductors for Stretchable, Highly Flexible, and Mechanically Robust Electronics. Chem. Rev 2017, 117, 6467–6499. [Google Scholar]
- Kenjiro, F.; Takao, S. Recent Progress in the Development of Printed Thin-Film Transistors and Circuits with High-Resolution Printing Technology. Adv. Mater 2017, 29, 1602736. [Google Scholar]
- Ikuo, T.; Shosuke, Y.; Kazumi, H.; Kenji, M.; Yoshiharu, K.; Kohei, O. Biodegradation of PET: current status and application aspects. ACS Catalysis 2019, 9, 4089–4105. [Google Scholar]
- Fu, Y.; Yuting, H.; Yaowen, L.; Yongfang, L. Large-area flexible organic solar cells. npj Flexible Electronics 2021, 5, 1. [Google Scholar] [CrossRef]
- Ja, H. K.; Seongjin, J.; Hyung, J. S.; Donghee, S.; Jaemin, K.; Dong, C. K.; Suji, C.; Jong-In, H.; Dae-Hyeong, K. Wearable Electrocardiogram Monitor Using Carbon Nanotube Electronics and Color-Tunable Organic Light-Emitting Diodes. ACS Nano 2017, 11, 10032–10041. [Google Scholar]
- Su, M.; Yawei, Q.; Ge, M.; Menglu, C.; Xi, T. Multi-Color Light-Emitting Diodes Coatings. Coatings 2023, 13, 182. [Google Scholar]
- Wei, G.; Hiroki, O.; Daisuke, K.; Kuniharu, T.; Ali, J. Flexible electronics toward wearable sensing. Accounts of chemical research 2019, 52, 523–533. [Google Scholar]
- Dayanand, K.; Umesh, C.; Lew, W. S. Tseung-Yuen, T. ZrN-Based Flexible Resistive Switching Memory. IEEE EDL 2020, 41, 705. [Google Scholar]
- Dan, X.; Hongjia, S.; Xiangli, Z.; Jinbin, W.; Nie, Z.; Hongxia, G.; Peitian, C. Flexible resistive switching device based on the TiO2 nanorod arrays for non-volatile memory application. J. Alloys and Compounds 2020, 822, 153552. [Google Scholar]
- Tsukuru, M.; Tomohito, S.; Michio, A.; Tsuyoshi, M. An organic FET with an aluminum oxide extended gate for pH sensing. Sensors and Materials 2019, 31, 99. [Google Scholar] [CrossRef]
- Haider, S. A. Flexible Field effect transistor construction techniques. AL-Qadisiyah J. Eng. Sci. 2021, 14, 112–116. [Google Scholar]
- William, M. Engineered films for display technologies. J. Mater. Chem. 2004, 14, 4–10. [Google Scholar]
- Cristine, B.; Xavier, D.; Etienne, S. Characterization of poly (ethylene terephthalate) used in commercial bottled water. IOP Conference Series Materials Science and Engineering, September 2009.
- Mohammad, G. F.; Kamarulazizi, I.; Mohammed, K. M. PET as a plastic substrate for the flexible optoelectronic applications. Optoelectron. Adv. Mater. 2011, 5, 879–882. [Google Scholar]
- Jae-Min, K.; Taewook, N.; Lim, S. J.; Y. G., Seol; Nae-Eung, L.; Bo, S. K.; Hyungjun, K. Atomic layer deposition ZnO: N flexible thin film transistors and the effects of bending on device properties. Appl. Phys. Lett. 2011, 98, 142113. [Google Scholar]
- Mingdong, Y.; Yuxiu, G.; Jialin, G.; Tao, Y.; Yuhua, C.; Quli, F.; Linghai, X.; Wei, H. The mechanical bending effect and mechanism of high performance and low-voltage flexible organic thin-film transistors with a cross-linked PVP dielectric layer. J. Mater. Chem. C. 2014, 2, 2998. [Google Scholar]
- Lee, K. H.; Lee, K.; Oh, M.; Choi, J.; Im, S.; Jang, S.; Kim, K. Flexible high mobility pentacene transistor with high-k/low-k double polymer dielectric layer operating at −5 V. Org. Electron. 2009, 10, 194. [Google Scholar] [CrossRef]
- Mark, E. R.; Nuria, Q.; Stefan, C. B.; Mannsfeld; Zhenan, B. Cross-Linked Polymer Gate Dielectric Films for Low-Voltage Organic Transistors. Chem. Mater. 2009, 21, 2292. [Google Scholar]
- Se, H. K.; Sang, Y. Y.; Kwonwoo, S.; Hayoung, J.; Jong, W.L.; Ki, P. H.; Chan, E. P. Low-operating-voltage pentacene field-effect transistor with a high-dielectric-constant polymeric gate dielectric. Appl. Phys. Lett. 2006, 89, 183516. [Google Scholar]
- Mingdong, Y.; Jialin, G.; Wen, L.; Linghai, X.; Quli, F.; Wei, H. High-mobility flexible pentacene-based organic field-effect transistors with PMMA/PVP double gate insulator layers and the investigation on their mechanical flexibility and thermal stability. RSC Adv. 2015, 5, 95273. [Google Scholar]
- Yonghwa, B.; Sooman, L.; Eun, J. Y.; Lae, H. K.; Haekyoung, K.; Seung, W. L.; Se, H. K. Fluorinated Polyimide Gate Dielectrics for the Advancing the Electrical Stability of Organic Field-Effect Transistors. ACS Appl. Mater. 2014, 6, 5209. [Google Scholar]
- Sundes, J. F.; Hassan, A.; Mohammed, M. Bias stress effect on high mobility-hysteresis free pentacene-based organic thin film transistors. Synthetic Metals 2014, 191, 53–58. [Google Scholar]
- Constance, R. Ambipolar and Light-emitting Organic Field-Effect Transistors. Cuvillier Verlag 2005, 167. [Google Scholar]
- Takehiko M. Molecular materials for organic field-effect transistor. in Molecular Materials, 1st Edition, Sanjay, M.; B. L. V. Prasad, Jordi, F.; Boca Raton, 2017, p. 30.
- Bonfiglio, A.; Mameli, F.; Sanna, O. A completely flexible organic transistor obtained by a one-mask photolithographic process. Appl. Phys. Lett. 2023, 82, 3550. [Google Scholar] [CrossRef]
- Tsuyoshi, S.; Ute, Z.; Hagen, K.; Takao, S. Flexible organic transistors and circuits with extreme bending stability. Nat. Mater. 2010, 9, 1015. [Google Scholar] [CrossRef]
- Piero, C.; Andrea, P.; Annalisa, B. Fully deformable organic thin-film transistors with moderate operation voltage. IEEE Trans. Electron Devices 2011, 58, 3416. [Google Scholar] [CrossRef]
- Martin, K.; Tsuyoshi, S.; Jonathan, R.; Tomoyuki, Y.; Kazunori, K.; Takeyoshi, T.; Michael, D.; Reinhard, S.; Ingrid, G.; Simona, B.; Siegfried, B.; Takao, S. An ultra-lightweight design for imperceptible plastic electronics. Natural 2013, 499, 458. [Google Scholar]
- Liangkun, L.; Dazhi, W.; Changchang, P.; Yanyan, C.; Yikang, L.; Pengfei, X.; Xiangji, C.; Chang, L.; Shiwen, L.; Liujia, S.; Yan, C.; Zhiyuan, Z.; Yunlong, G.; Junsheng, L.; Yunqi, L. High-performance flexible organic field effect transistors with print-based nanowires. Nature: Microsystems & Nanoengineering 2023, 9, 80. [Google Scholar]
- Sundes, F.; Mohammed, M. Fabrication and characterization of nonvolatile organic thin film memory transistors operating at low programming voltages. Europe. Phys. J. App. Phys. 2012, 60, 10201. [Google Scholar]
- Jae-Min, K.; Taewook, N.; Lim, S. J.; Seol, Y. G.; Lee, N.-E.; Doyoung, K.; Hyungjun, K. Atomic layer deposition ZnO: N flexible thin film transistors and the effects of bending on device properties. Appl. Phys. Lett. 2011, 98, 142113. [Google Scholar]
- Federico, F.; Luca, L.; Angelo, T. Bending device and anticlastic surface measurement of solids under large deformations and displacements. MRC 2019, 97, 52. [Google Scholar]
- Jun, Y.; Peipei, H.; Jin, L.; Lingyan, W.; Melissa, F. C.; Chuan-Jian, Z. Molecularly mediated thin film assembly of nanoparticles on flexible devices: electrical conductivity versus device strains in different gas/vapor environment. ACS Nano 2011, 5, 6516. [Google Scholar] [CrossRef] [PubMed]





Disclaimer/Publisher’s Note: The statements, opinions and data contained in all publications are solely those of the individual author(s) and contributor(s) and not of MDPI and/or the editor(s). MDPI and/or the editor(s) disclaim responsibility for any injury to people or property resulting from any ideas, methods, instructions or products referred to in the content. |
© 2025 by the authors. Licensee MDPI, Basel, Switzerland. This article is an open access article distributed under the terms and conditions of the Creative Commons Attribution (CC BY) license (http://creativecommons.org/licenses/by/4.0/).
