Submitted:
25 May 2023
Posted:
26 May 2023
You are already at the latest version
Abstract

Keywords:
1. Introduction
2. Materials and Methods
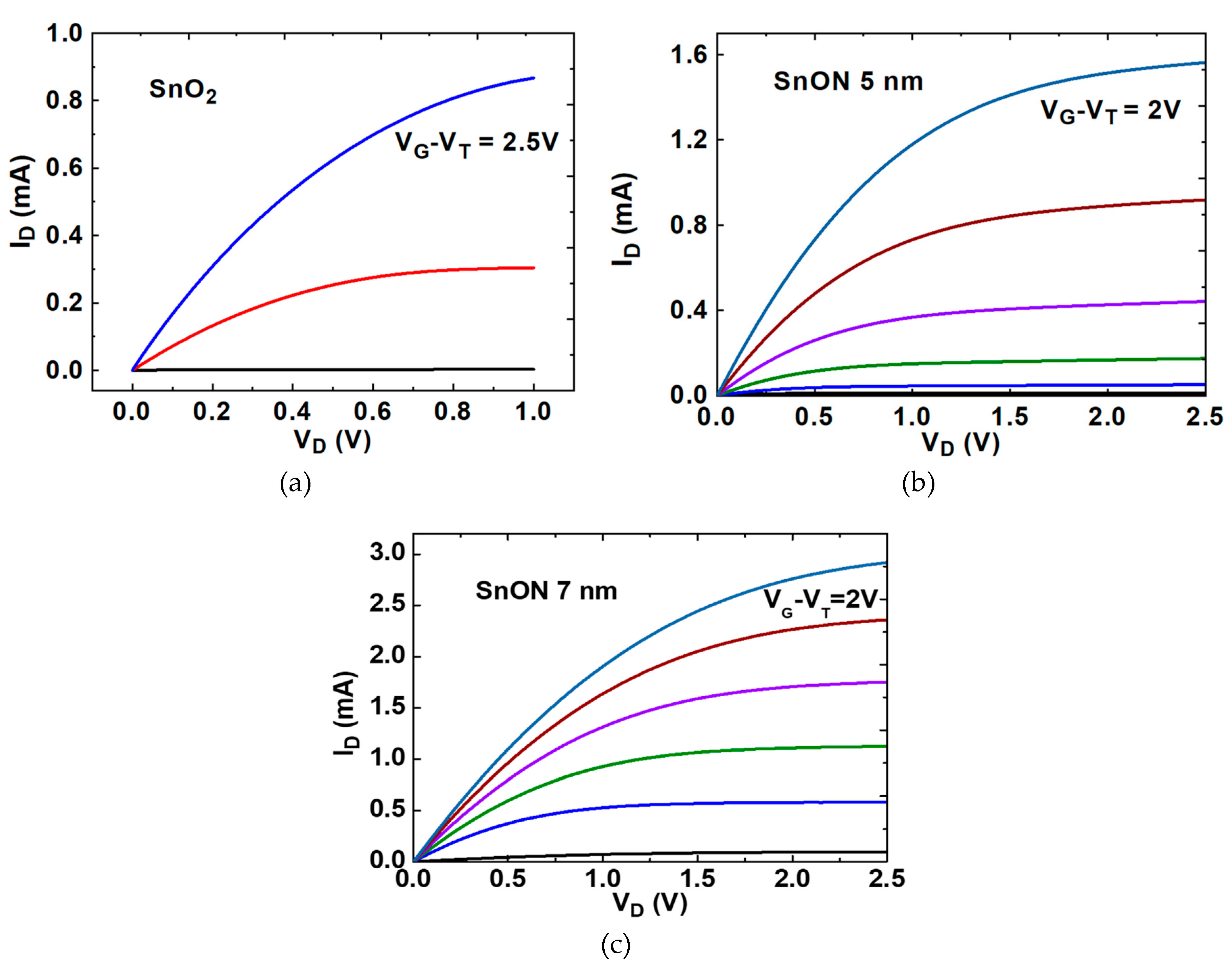
3. Results
4. Conclusions
Author Contributions
Funding
Data Availability Statement
Acknowledgments
Conflicts of Interest
References
- Loubet, N.; Hook, T.; Montanini, P.; Yeung, C.W.; Kanakasabapathy, S.; Guillom, M.; Yamashita, T.; Zhang, J.; Miao, X.; Wang, J.; Young, A. Stacked nanosheet gate-all-around transistor to enable scaling beyond FinFET. In IEEE Symposium on VLSI Technology, Kyoto, Japan; 2017; pp. 230–231.
- Jang, D.; Yakimets, D.; Eneman, G.; Schuddinck, P.; Bardon, M.G.; Raghavan, P.; Spessot, A.; Verkest, D.; Mocuta, A. Device exploration of nanosheet transistors for sub-7-nm technology node. IEEE Trans. Electron Dev. 2017, 64, 2707–2713. [Google Scholar] [CrossRef]
- Low, T.; Li, M.F.; Fan, W.J.; Ng, S.T.; Yeo, Y.C.; Zhu, C.; Chin, A.; Chan, L.; Kwong, D.L. Impact of surface roughness on silicon and germanium ultra-thin-body MOSFETs, In IEDM Technical Digest. IEEE International Electron Devices Meeting, 2004; San Francisco, CA, USA; pp. 151–154. [Google Scholar]
- Shih, C.W.; Chin, A.; Lu, C.F.; Yi, S.H. Extremely high mobility ultra-thin metal-oxide with ns2np2 configuration, In IEDM Technical Digest. IEEE International Electron Devices Meeting, Washington, DC, USA, 2015; pp. 145–148. [Google Scholar]
- Liu, Y.; Duan, X.; Huang, Y.; Duan, X. Two-dimensional transistors beyond graphene and TMDCs, Chem. Soc. Rev. 2018, 47, 6388–6409. [Google Scholar] [CrossRef] [PubMed]
- Kim, J.; Lee, J.S.; Han, J.W.; Meyyappan, M. Single-event transient in FinFETs and nanosheet FETs. IEEE Electron Device Lett. 2018, 39, 1840–1843. [Google Scholar] [CrossRef]
- Yu, D.S.; Chin, A.; Laio, C.C.; Lee, C.F.; Cheng, C.F.; Chen, W.J.; Zhu, C.; Li, M.-F.; McAlister, S.P.; Kwong, D.L. 3D GOI CMOSFETs with Novel IrO2(Hf) dual gates and high-κ dielectric on 1P6M-0.18μm-CMOS. In IEDM Technical Digest. IEEE International Electron Devices Meeting, San Francisco, CA, USA; 2004; pp. 181–184. [Google Scholar]
- Chin, A.; Chen, Y.D. Technologies Toward Three-Dimensional Brain-Mimicking IC Architecture. In EDTM Technical Digest. IEEE Electron Devices Technology & Manufacturing Conference, Singapore; 2019; pp. 472–474. [Google Scholar]
- Yen, T.J.; Chin, A.; Gritsenko, V. High-performance top-gate thin-film transistor with an ultra-thin channel layer. Nanomaterials 2020, 10, 2145. [Google Scholar] [CrossRef] [PubMed]
- Shih, C.W. ; Chin; A., Lu, C.F.; Su, W.F. Low-temperature processed tin oxide transistor with ultraviolet irradiation. IEEE Electron Device Lett. 2019, 40, 909–912. [Google Scholar] [CrossRef]
- Pooja, P.; Che, C.C.; Zeng, S.H.; Lee, Y.C.; Yen, T.J.; Chin, A. Outstanding High Field-Effect Mobility of 299 cm2V−1s−1 by Nitrogen-Doped SnO2 Nanosheet Thin-Film Transistor, Adv. Mater. Technol. 2023, 2201521. [Google Scholar]
- Bussolotti, F.; Yang, J.; Kawai, H.; Chee, J.Y.; Goh, K.E.J. Influence of many-body effects on hole quasiparticle dynamics in a WS2 monolayer, Phys. Rev. B 2021, 103, 045412. [Google Scholar] [CrossRef]
- Fischer, T.H.; Almlof, J. General methods for geometry and wave function optimization. The J. Phys. Chem. 1992, 96, 9768–9774. [Google Scholar] [CrossRef]
- Monkhorst, H.J.; Pack, J.D. Special points for Brillouin-zone integrations. Phys. Rev. B 1976, 13, 5188. [Google Scholar] [CrossRef]
- Shih, C.W.; Chin, A.; Lu, C.F.; Su, W.F. Remarkably high hole mobility metal-oxide thin-film transistors. Sci. Rep. 2016, 6, 19023. [Google Scholar] [CrossRef]
- X. Yu, C. X. Yu, C. Zhu, M. Yu, M.F. Li, Albert Chin, C.H. Tung, D. Gui, and D. L. Kwong, “Advanced MOSFETs using HfTaON/SiO2 Gate Dielectric and TaN Metal Gate with Excellent Performance for Advanced Low Standby Power Application,” IEEE International Electron Devices Meeting (IEDM) Tech. Dig. Washington DC, Dec. 2005; pp. 31–34. [Google Scholar]
- D. S. Yu, Albert Chin, C.H. Wu, M.-F. Li, C. Zhu, S.J. Wang, W.J. Yoo, B.F. Hung and S. P. McAlister, “Lanthanide and Ir-based Dual Metal-Gate/HfAlON CMOS with Large Work-Function Difference,” IEEE International Electron Devices Meeting (IEDM) Tech. Dig. Washington DC, Dec. 2005; pp. 649–652.
- C. H. Wu, B.F. Hung, Albert Chin, S.J. Wang, X.P. Wang, M.-F. Li, C. Zhu, Y. Jin, H.J. Tao, S.C. Chen, and M. S. Liang “High Temperature Stable [Ir3Si-TaN]/HfLaON CMOS with Large Work-Function Difference,”. IEEE International Electron Devices Meeting (IEDM) Tech. Dig., San Francisco, CA, Dec. 2006; pp. 617–620.
- C. F. Cheng, C.H. Wu, N.C. Su, S.J. Wang, S.P. McAlister and Albert Chin, “Very Low Vt [Ir-Hf]/HfLaO CMOS Using Novel Self-Aligned Low Temperature Shallow Junctions". In IEEE International Electron Devices Meeting (IEDM) Tech. Dig., Washington DC; Dec. 2007; pp. 333–336.
- Takagi, S.I.; Toriumi, A.; Iwase, M.; Tango, H. On the universality of inversion layer mobility in Si MOSFET's: Part I-effects of substrate impurity concentration. IEEE Trans. on Electron Dev. 1994, 41, 2357–2362. [Google Scholar] [CrossRef]
- Park, J.; Jeong, H.J.; Lee, H.M.; Nahm, H.H.; Park, J.S. The resonant interaction between anions or vacancies in ZnON semiconductors and their effects on thin film device properties. Sci. Rep. 2017, 7, 2111. [Google Scholar] [CrossRef] [PubMed]
- Rim, K.; Chan, K.; Shi, L.; Boyd, D.; Ott, J.; Klymko, N.; Cardone, F.; Tai, L.; Koester, S.; Cobb, M.; Canaperi, D. Fabrication and mobility characteristics of ultra-thin strained Si directly on insulator (SSDOI) MOSFETs. In IEDM Technical Digest. IEEE International Electron Devices Meeting, Washington, DC, USA, 2003; pp. 1–4. [Google Scholar]
- Baroni, S.; Resta, R. Ab initio calculation of the macroscopic dielectric constant in silicon. Phys. Rev. B 1986, 33, 7017. [Google Scholar] [CrossRef] [PubMed]
- Kunc, K.; Resta, R. External fields in the self-consistent theory of electronic states: a new method for direct evaluation of macroscopic and microscopic dielectric response. Phys. Rev.Lett. 1983, 51, 686. [Google Scholar] [CrossRef]
- Neidert, R.E.; Binari, S.C.; Weng, T. Dielectric constant of semi-insulating indium phosphide. Electronic. Lett. 1982, 18, 987–988. [Google Scholar] [CrossRef]
- Kane, M.J.; Uren, M.J.; Wallis, D.J.; Wright, P.J.; Soley, D.E.J.; Simons, A.J.; Martin, T. Determination of the dielectric constant of GaN in the kHz frequency range. Semicond. Sci. Technol. 2011, 26, 085006. [Google Scholar] [CrossRef]
- Moore, W.J.; Holm, R.T.; Yang, M.J.; Freitas Jr, J.A. Infrared dielectric constant of cubic SiC. J. Appl. Phys. 1995, 78, 7255–7258. [Google Scholar] [CrossRef]
- Youssef, A.M.; Yakout, S.M. Colossal dielectric constant, electric modulus and electrical conductivity of nanocrystalline SnO2: Role of Zr/Mn, Fe or Co dopants. J. Solid State Chem 2022, 308, 122902. [Google Scholar] [CrossRef]
- Yi, S.H.; Ruan, D.B.; Di, S.; Liu, X.; Wu, Y.H.; Chin, A. High performance metal-gate/high-k GaN MOSFET With good reliability for both logic and power applications. IEEE J. Electron Devices Soc. 2016, 4, 246–252. [Google Scholar] [CrossRef]
- Shih, C.W.; Chin, A. New material transistor with record-high field-effect mobility among wide-band-gap semiconductors. ACS Appl. Mater. Interfaces 2016, 8, 19187–19191. [Google Scholar] [CrossRef]
- Shan, W.; Walukiewicz, W.; Ager, J.W.; Yu, K.M.; Yuan, H.B.; Xin, H.P.; Cantwell, G.; Song, J.J. Nature of room-temperature photoluminescence in ZnO. Appl. Phys. Lett. 2005, 86, 191911. [Google Scholar] [CrossRef]
- Jarzebski, Z.M.; Morton, J.P. Physical properties of SnO2 materials: III. Optical properties. J. Electrochem. Soc. 1976, 123, 333C. [Google Scholar] [CrossRef]
- Ogino, T.; Aoki, M. Photoluminescenece in P-doped GaN. Jpn. J. App. Phys. 1979, 18, 1049. [Google Scholar] [CrossRef]
- Minamitani, E.; Arafune, R.; Frederiksen, T.; Suzuki, T.; Shahed, S.M.F.; Kobayashi, T.; Endo, N.; Fukidome, H.; Watanabe, S.; Komeda, T. Atomic-scale characterization of the interfacial phonon in graphene/SiC. Phys. Rev. B. 2017, 96, 155431. [Google Scholar] [CrossRef]






| Semiconductor Material |
EG (eV) | meff (mo) | Dielectric Const. κ | µeff (cm2/V-s) @5 nm |
|---|---|---|---|---|
| SnON (This work) |
~3.3 | ~0.29 | 123 | 325 |
| Si [5] | 1.12 | 1.08 | 11.7 | 120 |
| MoS2 [5] | 1.8 | ~0.5 | 4~8 (2~5 layers) | 184 |
| WS2 [5] | 1.4 | 0.33 | - | 234 |
| InGaAs [5] | 0.75 | 0.042 | 12.9 | 200 |
Disclaimer/Publisher’s Note: The statements, opinions and data contained in all publications are solely those of the individual author(s) and contributor(s) and not of MDPI and/or the editor(s). MDPI and/or the editor(s) disclaim responsibility for any injury to people or property resulting from any ideas, methods, instructions or products referred to in the content. |
© 2023 by the authors. Licensee MDPI, Basel, Switzerland. This article is an open access article distributed under the terms and conditions of the Creative Commons Attribution (CC BY) license (http://creativecommons.org/licenses/by/4.0/).