Submitted:
06 August 2025
Posted:
07 August 2025
You are already at the latest version
Abstract
Keywords:
1. Introduction
2. Materials and Methods
2.1. In Vitro Evaluation on Human Dermal Papilla Cells Growth
Cell Culture, Experimental Conditions and Proliferation Assay
2.2. Clinical Study
2.2.1. Trial Design and Ethics
2.2.2. Participants and Compliance with Treatment
2.2.3. Interventions and Randomization
2.2.4. Outcomes
2.2.5. Phototricogram: Hair Growth Assessment
2.2.6. Pull Test: Hair Shedding
2.2.7. Hair Brightness
2.2.8. Clinical Assessment by Expert Scoring
2.2.9. Product Tolerability and Safety
2.3. Statistical Analysis
2.3.1. In Vitro Data Analysis
2.3.2. Clinical Sample Size and Statistical Analysis
3. Results
3.1. In Vitro Study
3.2. Participant Characteristics, Tolerability, and Compliance with Treatment
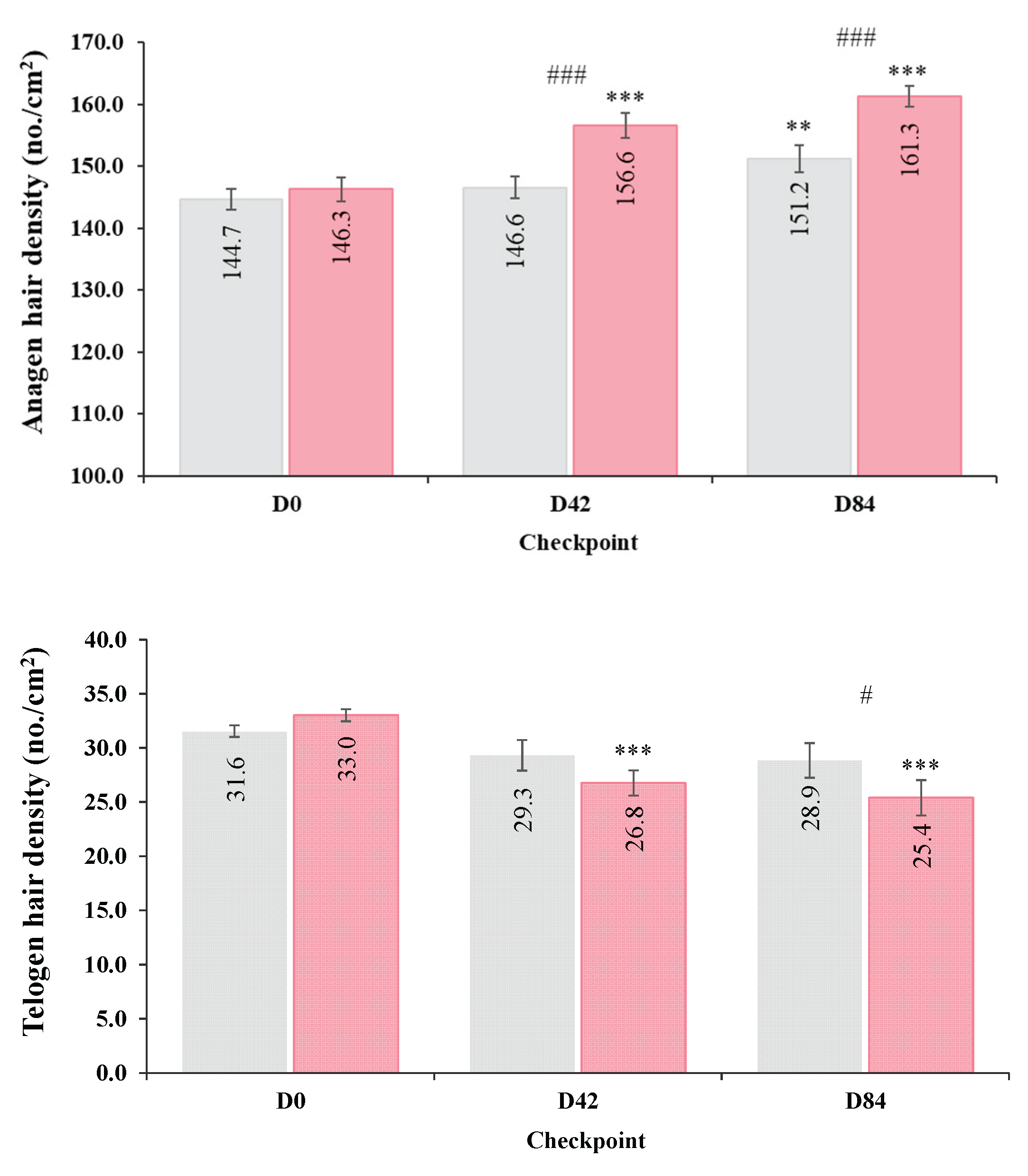
3.3. Phototricogram Parameters
| HI | PL | |||||
| D0 | D42 | D84 | D0 | D42 | D84 | |
| Total hair density (no./cm²) | 179.3±1.5 | 183.4±1.4*** (+4.1)## | 186.7±1.7*** (+7.4) | 176.3±1.6 | 175.9±1.7<break>(-0.4) | 180.0±1.7* (+3.7) |
| Anagen hair density (no./cm²) | 146.3±1.7 | 156.6±1.8*** (+10.3)### | 161.3±2.2*** (+15.0)### | 144.7±1.9 | 146.6±2.1<break>(+1.8) | 151.2±2.1** (+6.4) |
| Anagen hair proportion | 81.5%±0.4 | 85.4%±0.6*** (+3.9%)# | 86.4%±0.9*** (+4.9%)# | 82.0%±0.4 | 83.3%±0.8 (+1.3%) | 84.0%±0.9 (+2.0%) |
| Telogen hair density (no./cm²) | 33.0±0.6 | 26.8±1.2***<break>(-6.3) | 25.4±1.6***<break>(-7.6)# | 31.6±0.6 | 29.3±1.4 <break>(-2.2) | 28.9±1.6 <break>(-2.7) |
| Telogen hair proportion | 18.5%±0.4 | 14.2%±0.6*** <break>(-4.2%)# | 13.6%±0.9*** <break>(-4.9%)# | 18.0%±0.4 | 16.7%±0.8 <break>(-1.3%) | 16.0%±0.9 <break>(-2.0%) |
| Anagen/Telogen ration | 4.5±0.1 | 6.3±0.3*** <break>(+1.8)# | 7.2±0.5***<break>(+2.7)# | 4.6±0.1 | 5.5±0.4 <break>(+0.8) | 6.0±0.5** <break>(+1.3) |
| HPF (no.) | -3631.1±688.2 | -4428.3±981.0# | -1293.4±852.5 | -1562.4±915.0 | ||
| THA (no.) | +6002.1±752.3### | +8720.3±890.0### | +1067.0±818.8 | +3730.8±979.8 | ||

3.4. Hair Shedding Assessed by Pull Test
3.5. Hair Brightness
3.6. Hair Volume
4. Discussion
5. Conclusions
Author Contributions
Funding
Institutional Review Board Statement
Informed Consent Statement
Data Availability Statement
Acknowledgments
Conflicts of Interest
References
- Asghar, F.; Shamim, N.; Farooque, U.; Sheikh, H.; Aqeel, R. Telogen Effluvium: A Review of the Literature. Cureus 2020, 12, e8320. [CrossRef]
- Lin, X.; Zhu, L.; He, J. Morphogenesis, Growth Cycle and Molecular Regulation of Hair Follicles. Front. Cell Dev. Biol. 2022, 10, 899095. [CrossRef]
- Trüeb, R.M. The Impact of Oxidative Stress on Hair. Int. J. Cosmet. Sci. 2015, 37 Suppl 2, 25–30. [CrossRef]
- Harrison, S.; Bergfeld, W. Diffuse Hair Loss: Its Triggers and Management. Cleve. Clin. J. Med. 2009, 76, 361–367. [CrossRef]
- Hughes, E.C.; Syed, H.A.; Saleh, D. Telogen Effluvium. In StatPearls; StatPearls Publishing: Treasure Island (FL), 2025.
- Harrison, S.; Sinclair, R. Telogen Effluvium. Clin. Exp. Dermatol. 2002, 27, 389–385. [CrossRef]
- Jeon, J.J.; Kim, Y.H.; Kang, H.; Ha, M.C.; Jung, S.-W.; Son, H.; Kim, M.H.; Lee, W.-S.; Lee, S. Global Epidemiology of Telogen Effluvium after the COVID-19 Pandemic: A Systematic Review and Modeling Study. JAAD Int. 2025, 18, 24–26. [CrossRef]
- van der Donk, J.; Passchier, J.; Knegt-Junk, C.; van der Wegen-Keijser, M.H.; Nieboer, C.; Stolz, E.; Verhage, F. Psychological Characteristics of Women with Androgenetic Alopecia: A Controlled Study. Br. J. Dermatol. 1991, 125, 248–252. [CrossRef]
- Hunt, N.; McHale, S. The Psychological Impact of Alopecia. BMJ 2005, 331, 951–953. [CrossRef]
- Gupta, A.K.; Talukder, M.; Williams, G. Comparison of Oral Minoxidil, Finasteride, and Dutasteride for Treating Androgenetic Alopecia. J. Dermatol. Treat. 2022, 33, 2946–2962. [CrossRef]
- Ham, S.; Lee, Y.I.; Kim, I.A.; Suk, J.; Jung, I.; Jeong, J.-M.; Lee, J.H. Efficacy and Safety of Persimmon Leaf Formulated with Green Tea and Sophora Fruit Extracts (BLH308) on Hair Growth: A Randomized, Double-Blind, Placebo-Controlled Clinical Trial. Skin Res. Technol. Off. J. Int. Soc. Bioeng. Skin ISBS Int. Soc. Digit. Imaging Skin ISDIS Int. Soc. Skin Imaging ISSI 2023, 29, e13448. [CrossRef]
- Choi, J.Y.; Boo, M.Y.; Boo, Y.C. Can Plant Extracts Help Prevent Hair Loss or Promote Hair Growth? A Review Comparing Their Therapeutic Efficacies, Phytochemical Components, and Modulatory Targets. Mol. Basel Switz. 2024, 29, 2288. [CrossRef]
- Du, F.; Li, J.; Zhang, S.; Zeng, X.; Nie, J.; Li, Z. Oxidative Stress in Hair Follicle Development and Hair Growth: Signalling Pathways, Intervening Mechanisms and Potential of Natural Antioxidants. J. Cell. Mol. Med. 2024, 28, e18486. [CrossRef]
- Chakrawarti, L.; Agrawal, R.; Dang, S.; Gupta, S.; Gabrani, R. Therapeutic Effects of EGCG: A Patent Review. Expert Opin. Ther. Pat. 2016, 26, 907–916. [CrossRef]
- Kwon, O.S.; Han, J.H.; Yoo, H.G.; Chung, J.H.; Cho, K.H.; Eun, H.C.; Kim, K.H. Human Hair Growth Enhancement in vitro by Green Tea Epigallocatechin-3-Gallate (EGCG). Phytomedicine Int. J. Phytother. Phytopharm. 2007, 14, 551–555. [CrossRef]
- Yu, Y.; Zhao, B.; Li, J.; Yang, J.; Bao, Z.; Cai, J.; Chen, Y.; Wu, X. (-)-Epigallocatechin-3-Gallate Promotes the Dermal Papilla Cell Proliferation and Migration through the Induction of VEGFA. Biochim. Biophys. Acta Mol. Cell Res. 2025, 1872, 119902. [CrossRef]
- Wickett, R.R.; Kossmann, E.; Barel, A.; Demeester, N.; Clarys, P.; Vanden Berghe, D.; Calomme, M. Effect of Oral Intake of Choline-Stabilized Orthosilicic Acid on Hair Tensile Strength and Morphology in Women with Fine Hair. Arch. Dermatol. Res. 2007, 299, 499–505. [CrossRef]
- Alañón ME, Castle SM, Serra G, Lévèques A, Poquet L, Actis-Goretta L, Spencer JPE. Acute study of dose-dependent effects of (-)-epicatechin on vascular function in healthy male volunteers: A randomized controlled trial. Clin Nutr. 2020 Mar;39(3):746-754. Epub 2019 Apr 9. PMID: 31014775. [CrossRef]
- Adelman, M.J.; Bedford, L.M.; Potts, G.A. Clinical Efficacy of Popular Oral Hair Growth Supplement Ingredients. Int. J. Dermatol. 2021, 60, 1199–1210. [CrossRef]
- Barel, A.; Calomme, M.; Timchenko, A.; De Paepe, K.; Demeester, N.; Rogiers, V.; Clarys, P.; Vanden Berghe, D. Effect of Oral Intake of Choline-Stabilized Orthosilicic Acid on Skin, Nails and Hair in Women with Photodamaged Skin. Arch. Dermatol. Res. 2005, 297, 147–153. [CrossRef]
- Whanger, P.; Vendeland, S.; Park, Y.C.; Xia, Y. Metabolism of Subtoxic Levels of Selenium in Animals and Humans. Ann. Clin. Lab. Sci. 1996, 26, 99–113.
- Milani, M.; Colombo, F. Efficacy and Tolerability of an Oral Supplement Containing Amino Acids, Iron, Selenium, and Marine Hydrolyzed Collagen in Subjects with Hair Loss (Androgenetic Alopecia, AGA or FAGA or Telogen Effluvium). A Prospective, Randomized, 3-month, Controlled, Assessor-blinded Study. Skin Res. Technol. 2023, 29, e13381. [CrossRef]
- Arias, E.M.; Floriach, N.; Moreno-Arias, G.; Camps, A.; Arias, S.; Trüeb, R.M. Targeted Nutritional Supplementation for Telogen Effluvium: Multicenter Study on Efficacy of a Hydrolyzed Collagen, Vitamin-, and Mineral-Based Induction and Maintenance Treatment. Int. J. Trichology 2022, 14, 49–54. [CrossRef]
- Gassmueller, J.; Rowold, E.; Frase, T.; Hughes-Formella, B. Validation of TrichoScan Technology as a Fully-Automated Tool for Evaluation of Hair Growth Parameters. Eur. J. Dermatol. EJD 2009, 19, 224–231. [CrossRef]
- Nobile, V.; Dudonné, S.; Kern, C.; Cestone, E.; Garcia, C. Recovery Effects of Oral Supplementation with Polar Lipid-Rich Wheat Extracts on Acute Telogen Effluvium: A Randomized Double-Blind Placebo-Controlled Study. Clin. Cosmet. Investig. Dermatol. 2025, 18, 1239–1251. [CrossRef]
- Hoffmann, R. TrichoScan: A Novel Tool for the Analysis of Hair Growth in Vivo. J. Investig. Dermatol. Symp. Proc. 2003, 8, 109–115. [CrossRef]
- McDonald, K.A.; Shelley, A.J.; Colantonio, S.; Beecker, J. Hair Pull Test: Evidence-Based Update and Revision of Guidelines. J. Am. Acad. Dermatol. 2017, 76, 472–477. [CrossRef]
- Jiang, Y.; Xu, Z.; Qiu, Y.; Zheng, X. Comparative Study of Instrumental Measurement and Sensory Evaluation Methods for the Repairing Effect of Mildly Damaged Hair Bundles. Skin Res. Technol. 2023, 29, e13394. [CrossRef]
- Zanzottera, F.; Michelotti, A.; Nobile, V. Efficacy of a Nutritional Supplement, Standardized in Fatty Acids and Phytosterols, on Hair Loss and Hair Health in Both Women and Men. 2017.
- Hadshiew, I.M.; Foitzik, K.; Arck, P.C.; Paus, R. Burden of Hair Loss: Stress and the Underestimated Psychosocial Impact of Telogen Effluvium and Androgenetic Alopecia. J. Invest. Dermatol. 2004, 123, 455–457. [CrossRef]
- García-Navarro, A.; Vasallo-Morillas, M.I.; Navarro-Belmonte, R.; Vilanova, C.; Torrent, D.; Kilasoniya, A.; Moles-Ugeda, I.; Gallego-Herrera, E.; Ramírez-Boscá, A. Randomized Clinical Trial to Evaluate the Effect of Probiotic Intake on Androgenic Alopecia. Nutrients 2024, 16, 2900. [CrossRef]




| HI<break>(n = 33) | PL<break>(n = 31) | Units | p-value | |
|---|---|---|---|---|
| Age | 33.6 ± 1.8 | 36.5 ± 1.9 | Years | 0.589 |
| Hair type | ||||
| Normal | 57.6% | 57.6% | % | 0.580 |
| Oily | 24.2% | 12.1% | % | |
| Dry | 18.2% | 30.3% | % | |
| Phototricogram parameters | ||||
| Total hair density | 179.3 ± 1.5 | 176.3 ± 1.6 | no./cm² | 0.145 |
| Anagen hair density | 146.3 ± 1.7 | 144.7 ± 1.9 | no./cm² | 0.633 |
| Anagen hair proportion | 81.5 ± 0.4 | 82.0 ± 0.4 | % | 0.276 |
| Telogen hair density | 33.0 ± 0.6 | 31.6 ± 0.6 | no./cm² | 0.101 |
| Telogen hair proportion | 18.5 ± 0.4 | 18.0 ± 0.4 | % | 0.276 |
| Anagen/Telogen ratio | 4.5 ± 0.1 | 4.6 ± 0.1 | a.u. | 0.135 |
| Pull test | 13.6 ± 0.7 | 13.5 ± 0.7 | no. | 0.953 |
| Hair brightness | 3.2 ± 0.2 | 3.9± 0.2 | a.u. | 0.123 |
Disclaimer/Publisher’s Note: The statements, opinions and data contained in all publications are solely those of the individual author(s) and contributor(s) and not of MDPI and/or the editor(s). MDPI and/or the editor(s) disclaim responsibility for any injury to people or property resulting from any ideas, methods, instructions or products referred to in the content. |
© 2025 by the authors. Licensee MDPI, Basel, Switzerland. This article is an open access article distributed under the terms and conditions of the Creative Commons Attribution (CC BY) license (http://creativecommons.org/licenses/by/4.0/).