Submitted:
01 August 2025
Posted:
05 August 2025
You are already at the latest version
Abstract
Keywords:
1. Introduction
2. Materials and Methods
Patients
Inclusion and Exclusion Criteria
Outcomes
3. Results
3.1. Baseline Characteristics
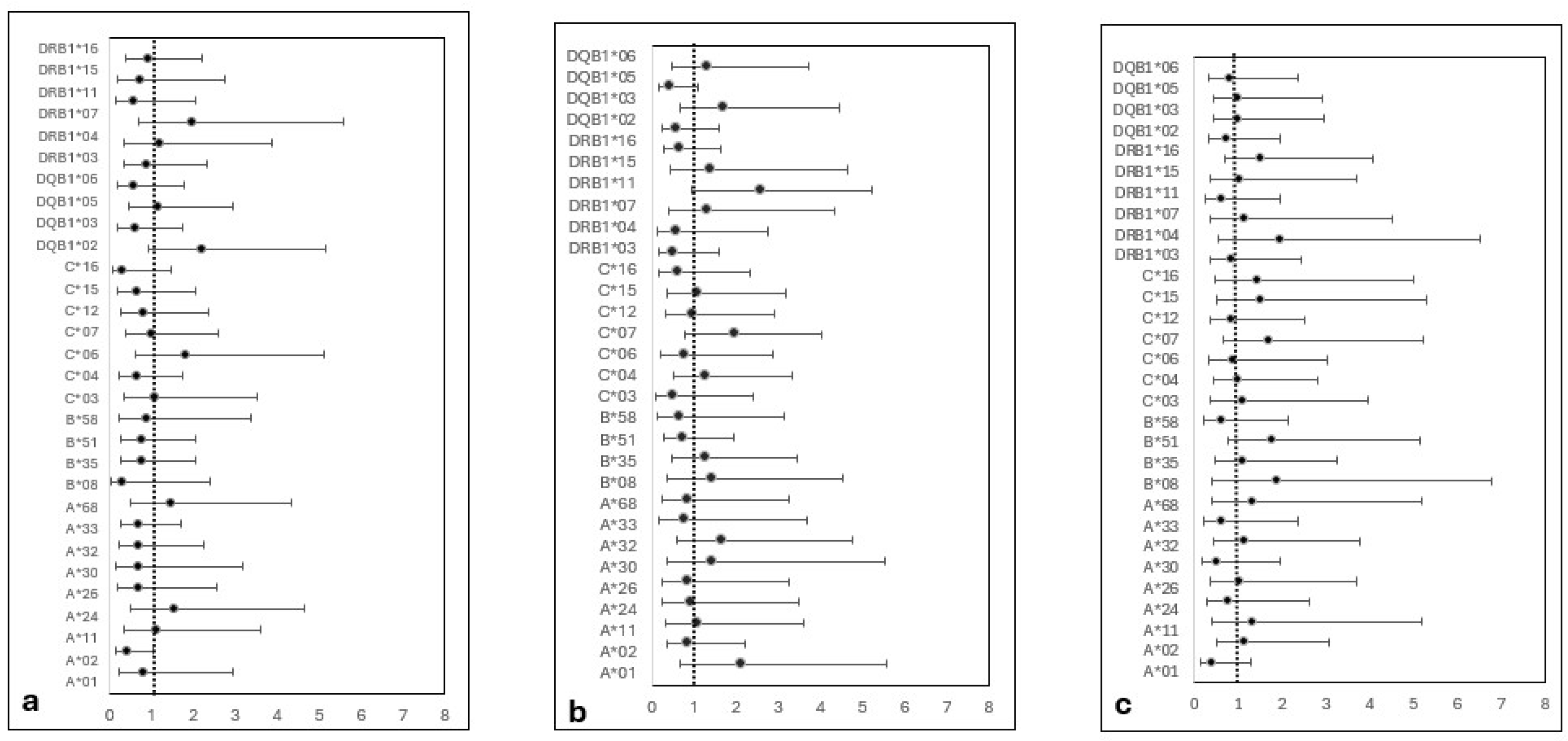
3.2. GVHD, Engraftment and Chimerism
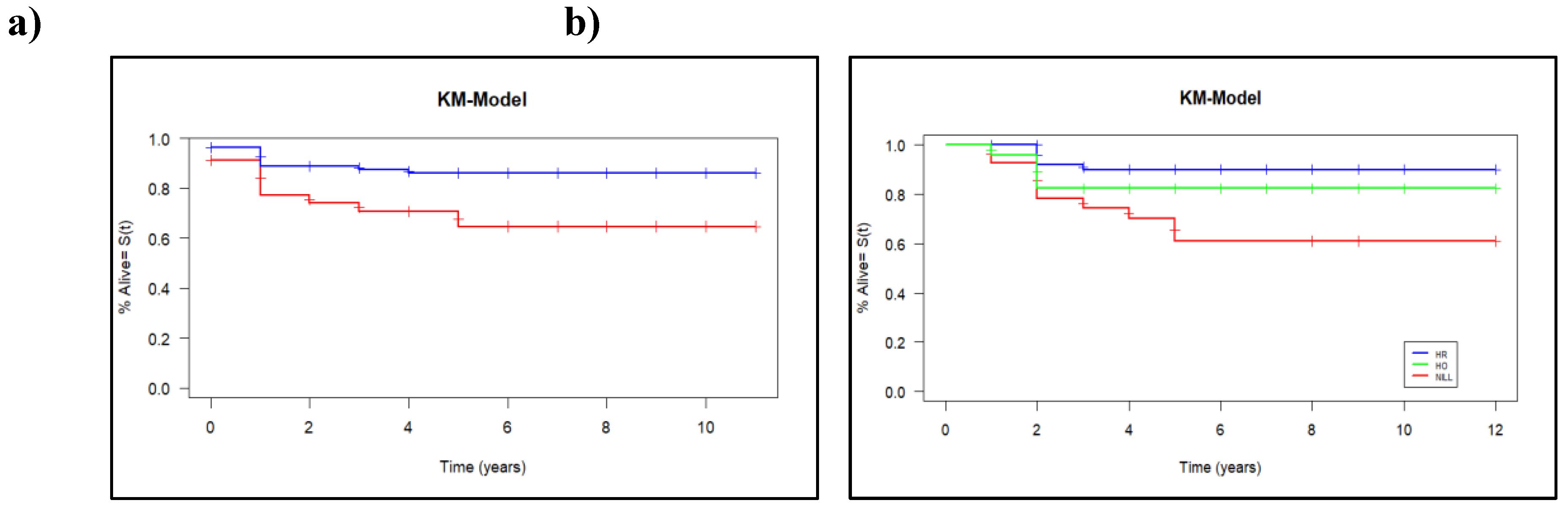
3.3. Overall Survival
4. Discussion
5. Conclusion
Ethical Approval
Supplementary Materials
Author Contributions
Funding
Institutional Review Board Statement
Informed Consent Statement
Data Availability Statement
Acknowledgments
Conflicts of Interest
Abbreviations
| Allo-HSCT | Allogenic Hematopoietic Stem Cell Transplantation |
| ISD | Identical Sibling Donor |
| HLA | Human Leukocyte Antigen |
| SQUH | Sultan Qaboos University Hospital |
| GVHD | Graft versus Host disease |
| cGVHD | Chronic Graft versus Host Disease |
| aGVHD | Acute Graft versus Host Disease |
| OS | Overall Survival |
| ATL | Adult T cell Leukemia/Lymphoma |
| CMV | Cytomegalo virus |
| WHO | World Health Organisation |
| SSO | Single strand oligonucleotide |
| CSA | Cyclosporin A |
| OR | Odd Ratio |
References
- Bertaina, A.; Andreani, M. Major Histocompatibility Complex and Hematopoietic Stem Cell Transplantation: Beyond the Classical HLA Polymorphism. Int J Mol Sci. 2018, 19, 2. [Google Scholar] [CrossRef] [PubMed]
- Níchonghaile, M. Donor Selection. 2018.
- Morishima, S.; Fukuda, T.; Doki, N.; Mori, T.; Onizuka, M.; Kawakita, T.; et al. Individual HLAs influence immunological events in allogeneic stem cell transplantation from HLA-identical sibling donors. Bone Marrow Transplant. 2021, 56, 646–54. [Google Scholar] [CrossRef]
- Cruz-Tapias, P.; Castiblanco, J.; Anaya, J.M. Chapter 10 Major histocompatibility complex: Antigen processing and presentation. In: Anaya JM, Shoenfeld Y, Rojas-Villarraga A, Levy RA, Cervera R, editors. Autoimmunity: From Bench to Bedside. 1st ed. 2013. p. 169–84.
- Shiina, T.; Kulski, J.K. HLA Genetics for the Human Diseases. Adv Exp Med Biol. 2024, 1444, 237–258. [Google Scholar]
- Trowsdale, J. The MHC, disease and selection. Immunol Lett. 2011, 137, 1–8. [Google Scholar] [CrossRef]
- Battiwalla, M.; Hahn, T.; Radovic, M.; Roy, H.; Wahab, A.; Duman, E.; et al. Human leukocyte antigen (HLA) DR15 is associated with reduced incidence of acute GVHD in HLA-matched allogeneic transplantation but does not impact chronic GVHD incidence. Blood. 2006, 107, 1970–3. [Google Scholar] [CrossRef] [PubMed]
- Davidson, J.A.; Tate, D.G.; Poulton, K.V.; Lucas, G.S.; Yin, J.L.; Liakopoulou, E.F.; et al. HLA-DR15, reduced relapse rate and improved survival after HLA identical sibling hemopoietic stem cell transplantation. Biol Blood Marrow Transplant. 2007, 13, 493–4. [Google Scholar] [CrossRef]
- Stern, M.; Passweg, J.; Tiercy, J.M.; Genitsch, A.; Meyer-Monard, S.; Heim, D.; et al. Human leukocyte antigen DR15 is associated with reduced relapse rate and improved survival after human leukocyte antigen-identical sibling hematopoietic stem cell transplantation. Biol Blood Marrow Transplant. 2006, 12, 1169–75. [Google Scholar] [CrossRef]
- Al-Khabori, M.; Al-Huneini, M. Hematopoietic stem cell transplantation in the Sultanate of Oman. Hematol Oncol Stem Cell Ther. 2017, 10, 305–7. [Google Scholar] [CrossRef]
- Toubai, T.; Sun, Y.; Reddy, P. GVHD pathophysiology: is acute different from chronic? Best Pract Res Clin Haematol. 2008, 21, 101–17. [Google Scholar] [CrossRef]
- Olivieri, A.; Mancini, G. Current Approaches for the Prevention and Treatment of Acute and Chronic GVHD. Cells. 2024, 13, 18. [Google Scholar] [CrossRef]
- Baron, F.; Sandmaier, B.M. Chimerism and outcomes after allogeneic hematopoietic cell transplantation following nonmyeloablative conditioning. Leukemia. 2006, 20, 1690–700. [Google Scholar] [CrossRef] [PubMed]
- Wolff, S.N. Second hematopoietic stem cell transplantation for the treatment of graft failure, graft rejection or relapse after allogeneic transplantation. Bone Marrow Transplant. 2002, 29, 545–52. [Google Scholar] [CrossRef] [PubMed]
- Teltschik, H.M.; Heinzelmann, F.; Gruhn, B.; Feuchtinger, T.; Schlegel, P.; Schumm, M.; et al. Treatment of graft failure with TNI-based reconditioning and haploidentical stem cells in paediatric patients. Br J Haematol. 2016, 175, 115–22. [Google Scholar] [CrossRef] [PubMed]
- Bodmer, J.G.; Marsh, S.G.; Albert, E.D.; Bodmer, W.F.; Bontrop, R.E.; Dupont, B.; et al. Nomenclature for factors of the HLA system, 1998. Tissue Antigens. 1999, 53, 407–46. [Google Scholar] [CrossRef]
- Al Hudhili, I.; Al Zadjali, F.; Al Khabori, M. HLA Alleles and Haplotypes Frequencies in Omani Population and Validation of Maximum Likelihood Estimation Predictive Algorithm. [Muscat]: Sultan Qaboos University; 2020. [Google Scholar]
- Battiwalla, M.; Wang, T.; Carreras, J.; Deeg, H.J.; Ayas, M.; Bajwa, R.P.S.; et al. HLA-matched sibling transplantation for severe aplastic anemia: impact of HLA DR15 antigen status on engraftment, graft-versus-host disease, and overall survival. Biol Blood Marrow Transplant. 2012, 18, 1401–6. [Google Scholar] [CrossRef]
- Justiz Vaillant, A.A.; Modi, P.; Mohammadi, O. Graft-Versus-Host Disease. 2024.
- Spierings, E. Minor histocompatibility antigens: past, present, and future. Tissue Antigens. 2014, 84, 374–60. [Google Scholar] [CrossRef]
- Laurin, D.; Spierings, E.; van der Veken, L.T.; Hamrouni, A.; Falkenburg, J.H.F.; Souillet, G.; et al. Minor histocompatibility antigen DDX3Y induces HLA-DQ5-restricted T cell responses with limited TCR-Vbeta usage both in vivo and in vitro. Biol Blood Marrow Transplant. 2006, 12, 1114–24. [Google Scholar] [CrossRef]
- Nilsson, J.B.; Kaabinejadian, S.; Yari, H.; Kester, M.G.D.; van Balen, P.; Hildebrand, W.H.; et al. Accurate prediction of HLA class II antigen presentation across all loci using tailored data acquisition and refined machine learning. Sci Adv. 2023, 9, eadj6367. [Google Scholar] [CrossRef]
- Thibodeau, J.; Moulefera, M.A.; Balthazard, R. On the structure-function of MHC class II molecules and how single amino acid polymorphisms could alter intracellular trafficking. Hum Immunol. 2019, 80, 15–31. [Google Scholar] [CrossRef]
- Fleury, S.; Thibodeau, J.; Croteau, G.; Labrecque, N.; Aronson, H.E.; Cantin, C.; et al. HLA-DR polymorphism affects the interaction with CD4. J Exp Med. 1995, 182, 733–41. [Google Scholar] [CrossRef]
- Dendrou, C.A.; Petersen, J.; Rossjohn, J.; Fugger, L. HLA variation and disease. Nat Rev Immunol. 2018, 18, 325–39. [Google Scholar] [CrossRef]
- Petersdorf, E.W.; Malkki, M.; O’hUigin, C.; Carrington, M.; Gooley, T.; Haagenson, M.D.; et al. High HLA-DP Expression and Graft-versus-Host Disease. N Engl J Med. 2015, 373, 599–609. [Google Scholar] [CrossRef]
- van den, E. lsen PJ. Expression regulation of major histocompatibility complex class I and class II encoding genes. Front Immunol. 2011, 2, 48. [Google Scholar]



| Patient variable | n | % | Patient Variable | n | % |
|---|---|---|---|---|---|
| Patient gender | Patient/Donor sex match | ||||
| Male | 93 | 61.0 | Yes | 69 | 45.0 |
| Female | 60 | 39.0 | No | 76 | 49.7 |
| Unknown | 8 | 5.2 | |||
| Age group | GVHD prophylaxis | ||||
| <18 | 58 | 37.9 | Cyclosporine-based | 99 | 64.7 |
| 18-60 | 95 | 62.1 | Tacrolimus-based | 38 | 24.8 |
| CSA & Tacro | 15 | 9.8 | |||
| Patient/Donor ABO match | Not found | 1 | 1.3 | ||
| Yes | 124 | 81.0 | Clinical Diagnosis | ||
| No | 22 | 14.4 | AML | 26 | 17.0 |
| not recorded | 7 | 4.6 | ALL | 17 | 11.1 |
| Patient CMV Status | MDS | 8 | 8.4 | ||
| Pos | 129 | 84.3 | Aplastic anemia | 13 | 5.2 |
| Neg | 5 | 3.3 | Thalassemia | 8 | 5.2 |
| Not reported | 19 | 12.4 | Sickle cell disease | 39 | 25.5 |
| Stem Cell Source | CGD | 7 | 4.6 | ||
| Bone Marrow | 43 | 28.1 | Others (malignant/ nonmalignant) | 35 (12/23) | 22.8 |
| Peripheral Blood | 105 | 68.6 | Status Jun 2023 | ||
| Both | 5 | 3.2 | Alive/ Censored | 126 | 81.8 |
| Dead | 27 | 18.2 | |||
| No | Parameter | Study Cohort | Published Data | References |
|---|---|---|---|---|
| 1 | Median Neutrophil Engraftment time | 14 days | 12–16 days | [19,20,21] |
| 2 | Median Platelet Engraftment time | 15 days | 14–17 days | [19,20,21] |
| 3 | Complete Chimerism rate | 84.1% (malignant) 68.4% (nonmalignant) |
80–90% (malignant) 50–60% (nonmalignant) |
[22,23] |
| 4 | Acute GVHD rate | 16% | 20–35% | [24] |
| 5 | Chronic GVHD rate | 15% | 20–50% | [25] |
| 6 | 5-Year Overall Survival | 73% malignant 88.9% nonmalignant |
56–75% (malignant) 80-90% (nonmalignant) |
[26,27,28] |
Disclaimer/Publisher’s Note: The statements, opinions and data contained in all publications are solely those of the individual author(s) and contributor(s) and not of MDPI and/or the editor(s). MDPI and/or the editor(s) disclaim responsibility for any injury to people or property resulting from any ideas, methods, instructions or products referred to in the content. |
© 2025 by the authors. Licensee MDPI, Basel, Switzerland. This article is an open access article distributed under the terms and conditions of the Creative Commons Attribution (CC BY) license (http://creativecommons.org/licenses/by/4.0/).