Submitted:
25 July 2025
Posted:
29 July 2025
You are already at the latest version
Abstract
Keywords:
1. Introduction
2. Theory and Problems
2.1. Atmospheric Phase Screen with Zernike Polynomials Method
2.2. Evaluation of The Generated Phase Screens
can
be applied to compute the total terms of Zernike polynomials used in
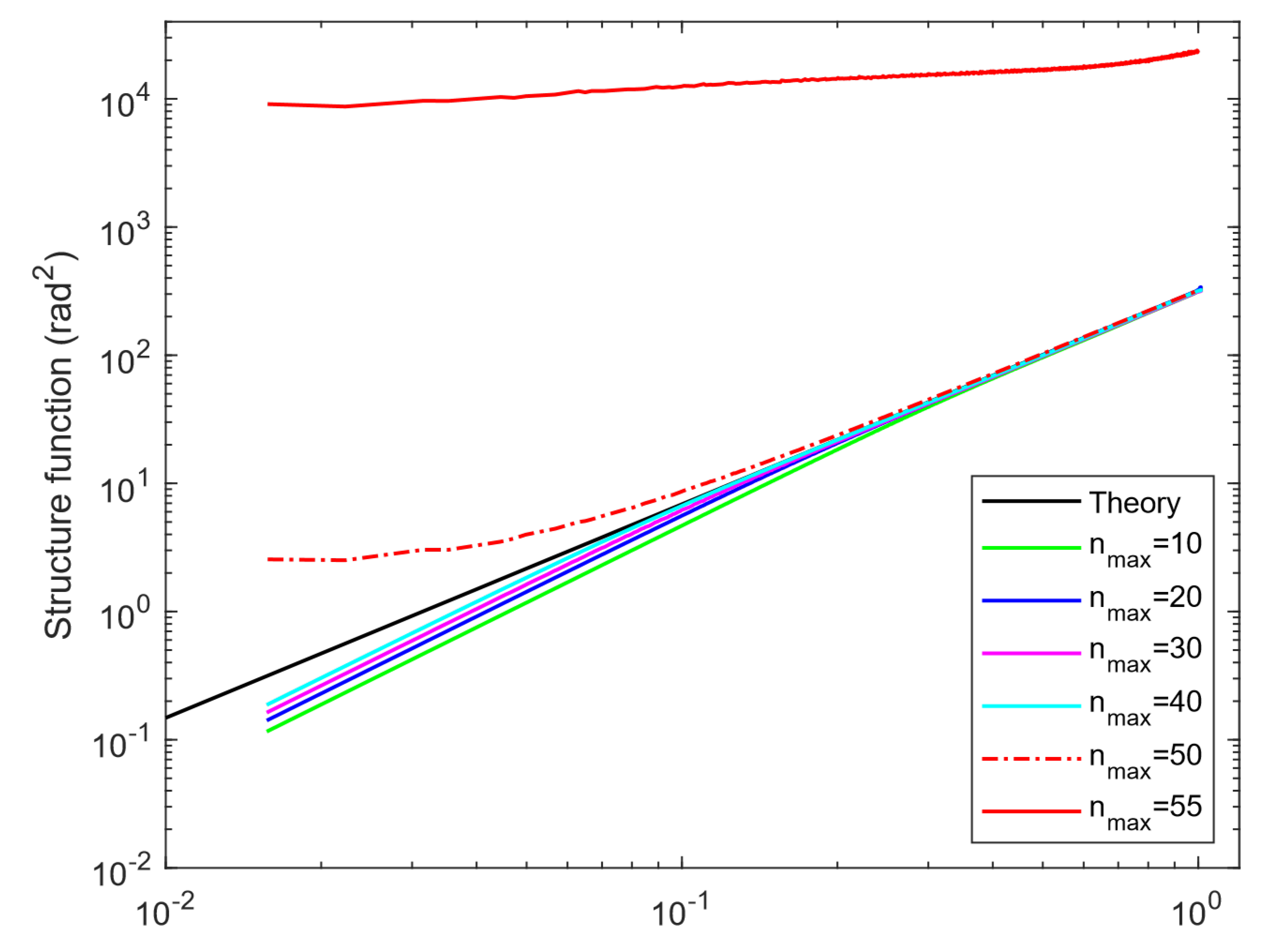
phase screen generation. The theoretical curve(black curve) was plotted from equation(12). As observed in Figure 1, ignoring the red color curves for a moment, the low frequency part of the experimental and theoretical values fit well, while the high frequency part of the experimental values is insufficient. However, as the number of terms of the Zernike polynomial increases (nmax from 10 up to 40), the high frequency components of experimental values approach the theoretical value curve. Roddier[10] pointed out that the result simulated by a few hundred terms of Zernike polynomials is satisfactory, of course, it is enough for long-range imaging scenarios. However, it will probably be necessary to use thousands of terms of polynomial to estimate the blurring effect induced by high-order aberrations when large aperture and astronomical imaging are taken into account. Besides, the experimental values of the red curves (dash-dot line for nmax = 50, solid line for nmax = 55) significantly deviate from the theoretical curve producing an abnormal phenomenon, which is due to the numerical instability in the calculation of high-order Zernike polynomials as detailed in the next section.2.3. Challenges in Computational Efficiency and Numerical Stability
3. Recursive Methods of Zernike Radial Polynomials
3.1. Barmak’s Method
3.3. Prata’s Method
3.4. Kintner’s Method
4. Performance and Discussion
4.1. Computational Efficiency of Phase Screen Generation with Different Recursive Methods
4.2. Numerical Stability of Different Recursive Methods
4.3. Discussion
5. Conclusions
Funding
Acknowledgements
Conflicts of Interest
References
- Robert, K. Tyson. Principles of Adaptive Optics(Chinese version), pages 21–22. National Defense Industry Press, Beijing, China, 3-rd edition, 2017.
- G. I. Taylor. The Spectrum of Turbulence. Proceedings of the Royal Society of London. Series A Mathematical and Physical Sciences, 164(919):476–490, 1938.
- Peng Jia, Dongmei Cai, Dong Wang, and Alastair Basden. Simulation of atmospheric turbulence phase screen for large telescope and optical interferometer. Monthly Notices of the Royal Astronomical Society, 2015, 447, 3467–3474. [CrossRef]
- Sandrine Thomas. A simple turbulence simulator for adaptive optics. In SPIE Astronomical Telescopes + Instrumentation, page 766, USA, October 2004.
- Peng Jia, Weihua Wang, Runyu Ning, and Xiaolei Xue. Digital twin of atmospheric turbulence phase screens based on deep neural networks. Optics Express, 2022, 30, 21362. [CrossRef] [PubMed]
- Qi-Wei Xu, Pei-Pei Wang, Zhen-Jia Zeng, Ze-Bin Huang, Xin-Xing Zhou, Jun-Min Liu, Ying Li, ShuQing Chen, and Dian-Yuan Fan. Extracting atmospheric turbulence phase using deep convolutional neural network. Acta Physica Sinica, 2020, 69, 014209.
- S. M. Zhao, J. Leach, L. Y. Gong, J. Ding, and B. Y. Zheng. Aberration corrections for free-space optical communications in atmosphere turbulence using orbital angular momentum states. Optics Express, 2012, 20, 452. [CrossRef] [PubMed]
- Benjamin, L. McGlamery. Conputer simulation studies of compensation of turbulence degraded images. Image Processing, pages 225–233, 1976.
- Huili Zhai, Bulan Wang, Jiankun Zhang, and Anhong Dang. Fractal phase screen generation algorithm for atmospheric turbulence. Applied Optics, 2015, 54, 4023.
- Nicolas A. Roddier. Atmospheric wavefront simulation using Zernike polynomials. Optical Engineering, 1990, 29, 1174. [CrossRef]
- Marcel Carbillet and Armando Riccardi. Numerical modeling of atmospherically perturbed phase screens: New solutions for classical fast Fourier transform and Zernike methods. Applied Optics, 49(31):G47, November 2010.
- Nicholas Chimitt and Stanley H. Chan. Simulating Anisoplanatic Turbulence by Sampling Intermodal and Spatially Correlated Zernike Coefficients. In 2020 IEEE INTERNATIONAL CONFERENCE ON COMPUTATIONAL PHOTOGRAPHY (ICCP), number arXiv:2004.11210. arXiv, June APR 24-26, 2020.
- Christopher, C. Wilcox. Performance of a flexible optical aberration generator. Optical Engineering, 50(11):116601, November 2011.
- Esdras Anzuola and Szymon Gladysz. Modeling dynamic atmospheric turbulence using temporal spectra and Karhunen–Loève decomposition. Optical Engineering, 56(07):1, March 2017.
- G. W. Forbes. Robust and fast computation for the polynomials of optics. Optics Express, 18(13):13851, June 2010.
- Kuo Niu and Chao Tian. Zernike polynomials and their applications. Journal of Optics, 24(12):123001, December 2022.
- Robert, J. Noll. Zernike polynomials and atmospheric turbulence. Journal of the Optical Society of America, 66(3):207, March 1976.
- Mohammed Sadeq Al-Rawi. Numerical Stability Quality-Factor for Orthogonal Polynomials: Zernike Radial Polynomials Case Study. In Image Analysis and Recognition, volume 7950, pages 676–686. June 2013.
- Chee-Way Chong, P. Raveendran, and R. Mukundan. A comparative analysis of algorithms for fast computation of Zernike moments. Pattern Recognition, 2003, 36, 731–742. [CrossRef]
- Barmak Honarvar Shakibaei and Raveendran Paramesran. Recursive formula to compute Zernike radial polynomials. Optics Letters, 2013, 38, 2487. [CrossRef] [PubMed]
- Aluizio Prata and W. V. T. Rusch. Algorithm for computation of Zernike polynomials expansion coefficients. Applied Optics, 1989, 28, 749. [CrossRef] [PubMed]
- Eric, C. Kintner. On the Mathematical Properties of the Zernike Polynomials. Optica Acta: International Journal of Optics, 23(8):679–680, August 1976.
- G.A. Papakostas, Y.S. G.A. Papakostas, Y.S. Boutalis, C.N. Papaodysseus, and D.K. Fragoulis. Numerical error analysis in Zernike moments computation. Image and Vision Computing, 24(9):960–969, September 2006.
- G.A. Papakostas, Y.S. Boutalis, C.N. Papaodysseus, and D.K. Fragoulis. Numerical stability of fast computation algorithms of Zernike moments. Applied Mathematics and Computation, 2008, 195, 326–345. [CrossRef]
- Jason, D. Schmidt. Numerical Simulation of Optical Wave Propagation with examples in MATLAB, pages 76–77. SPIE PRESS, Bellingham, Washington, USA, 2010.
- Cressida M. Harding, Rachel A. Johnston, and Richard G. Lane. Fast simulation of a kolmogorov phase screen. Applied Optics, 1999, 38, 2161. [CrossRef] [PubMed]




| nmax | Barmak’s | q-recursive | Prata’s | Kintner’s |
| method | method | method | method | |
| (a) 64 × 64 resolution 20 |
0.0188 | 0.0287 | 0.0142 | 0.0295 |
| 40 | 0.0959 | 0.1469 | 0.0883 | 0.1559 |
| 60 | 0.3556 | 0.4786 | 0.3474 | 0.5001 |
| 80 | 0.9323 | 1.1018 | 0.9153 | 1.1492 |
| 100 | 2.0232 | 2.2256 | 1.9924 | 2.3105 |
| (b) 128 × 128 resolution 20 |
0.0881 | 0.0902 | 0.0757 | 0.0980 |
| 40 | 0.3095 | 0.3356 | 0.2916 | 0.3723 |
| 60 | 0.7716 | 0.8674 | 0.7956 | 0.9589 |
| 80 | 1.9233 | 2.0885 | 2.0042 | 2.2449 |
| 100 | 4.1382 | 4.3408 | 4.2708 | 4.6017 |
| (c) 264 × 264 resolution 20 |
0.2909 | 0.2907 | 0.2858 | 0.3028 |
| 40 | 1.1555 | 1.1232 | 1.0904 | 1.1513 |
| 60 | 2.8843 | 2.7611 | 2.7011 | 2.8290 |
| 80 | 5.5887 | 5.3755 | 5.2905 | 5.4948 |
| 100 | 9.8839 | 9.5431 | 9.4223 | 9.7540 |
| (d) 512 × 512 resolution 20 |
1.6054 | 1.6578 | 1.5208 | 1.5549 |
| 40 | 6.5728 | 6.1043 | 5.5739 | 5.5705 |
| 60 | 15.6108 | 13.6742 | 12.7198 | 12.6816 |
| 80 | 28.6644 | 24.4980 | 22.9985 | 22.8596 |
| 100 | 51.4420 | 44.4752 | 42.0310 | 41.8682 |
Disclaimer/Publisher’s Note: The statements, opinions and data contained in all publications are solely those of the individual author(s) and contributor(s) and not of MDPI and/or the editor(s). MDPI and/or the editor(s) disclaim responsibility for any injury to people or property resulting from any ideas, methods, instructions or products referred to in the content. |
© 2025 by the authors. Licensee MDPI, Basel, Switzerland. This article is an open access article distributed under the terms and conditions of the Creative Commons Attribution (CC BY) license (http://creativecommons.org/licenses/by/4.0/).