Submitted:
28 July 2025
Posted:
29 July 2025
You are already at the latest version
Abstract
Keywords:
1. Introduction
2. Burner and Simulation Setups
3. Numerical Combustion Model
3.1. Transport Equation and Chemical Model
3.2. Radiation Model
3.3. Diffusion Combustion Flame
- On the flame surface, fuel and air should mix in a proper ratio. Chemical reactions occur only on the flame surface, and they are instantaneous.
- b. The flows of fuel and air are one-dimensional with uniform velocity. The diffusion of the reactants only takes place along the radial directions.
- c. The mole number does not change in the combustion reactions. The pressure is the same throughout the whole process.
- d. The diffusion of fuel and oxygen in inert gases is regarded as the diffusion of two components. Their diffusion coefficients are equal.
4. Results and Discussion
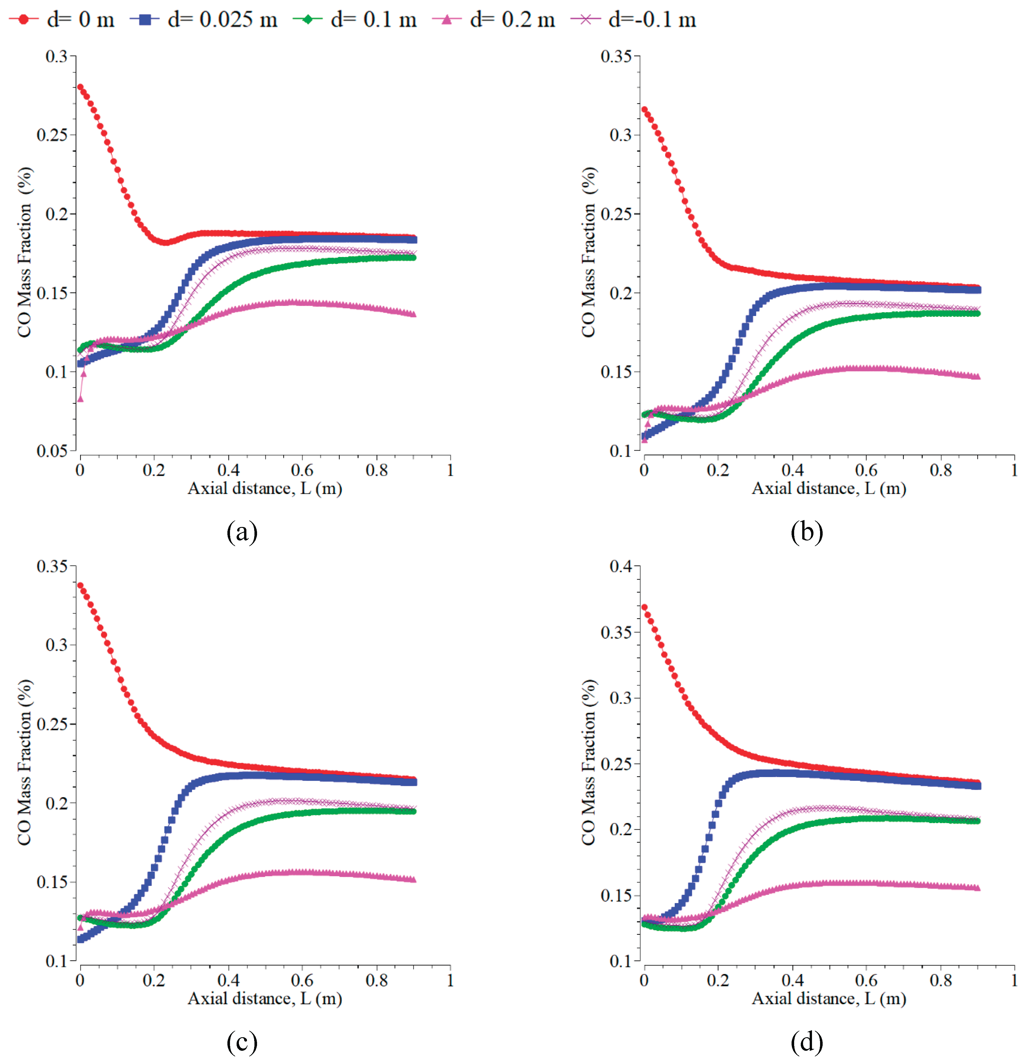
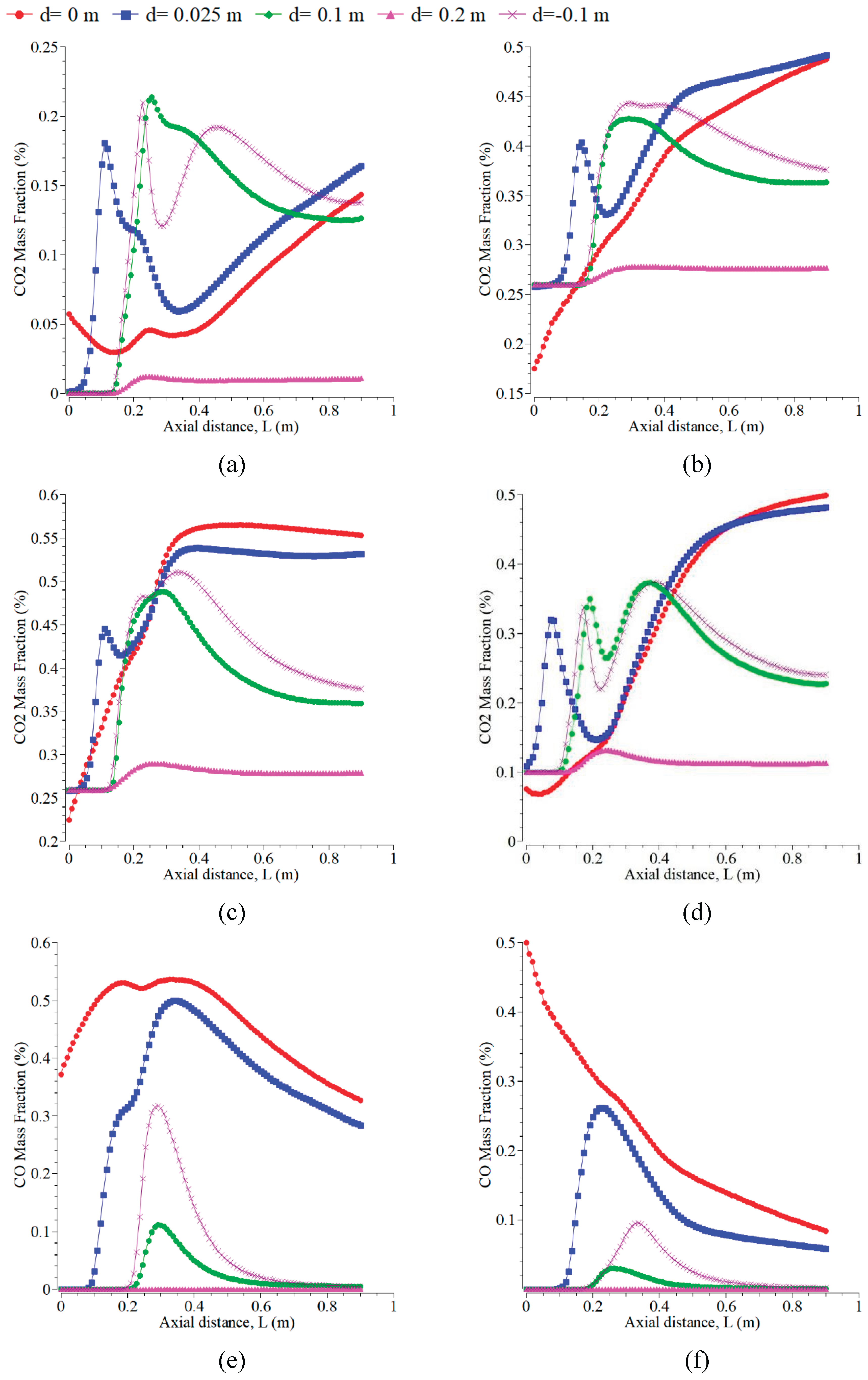
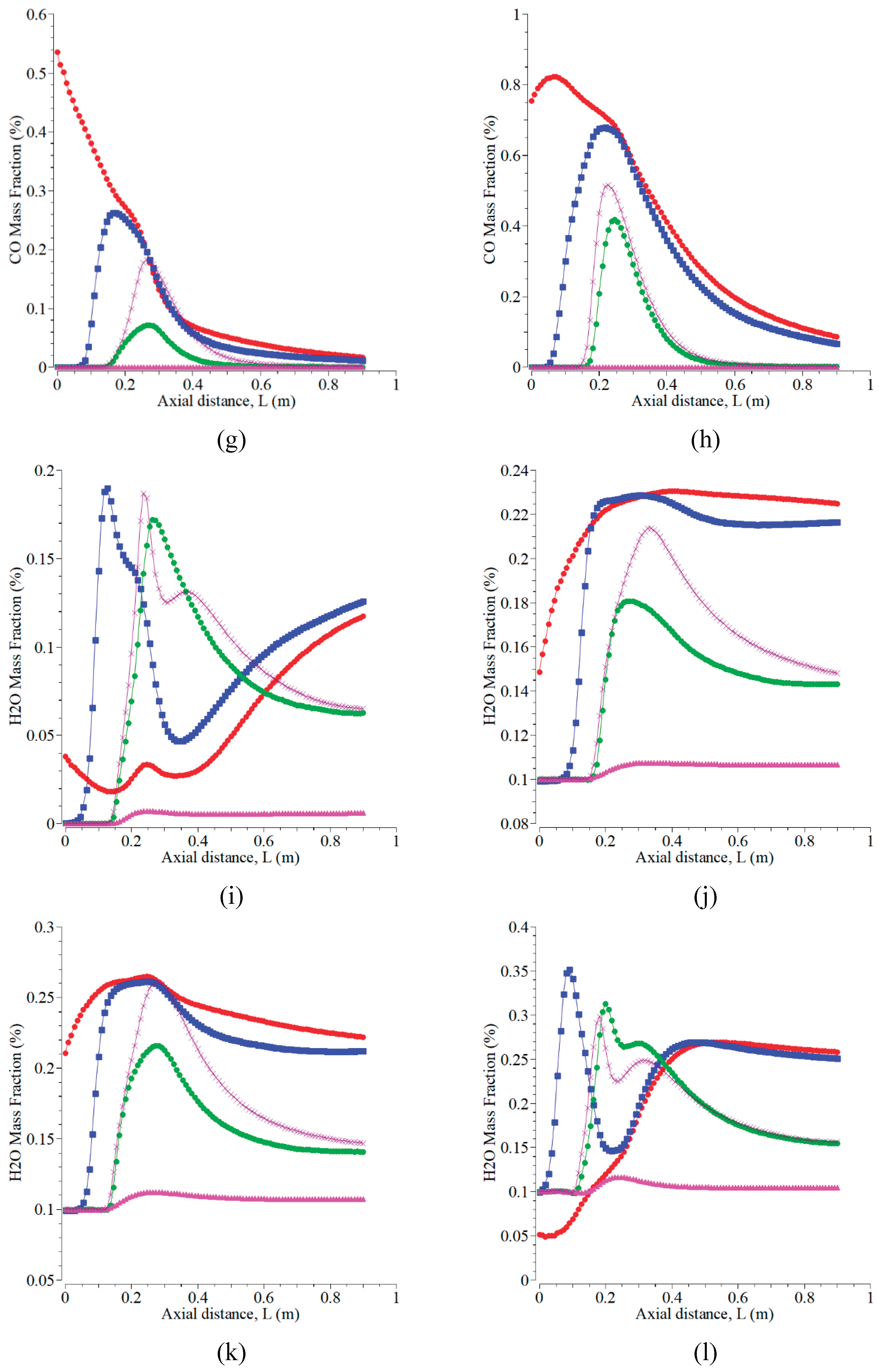
4.1. Influence of the Velocity Magnitude of Air and Fuel Inlets
4.2. Influence of Inlet Temperature
4.3. Influence of Oxygen Mass Fraction
5. Conclusions
Author Contributions
Funding
Data Availability Statement
Conflicts of Interest
References
- Saini, R.; Prakash, S.; De, A.; Yadav, R. Investigation of NOx in piloted stabilized methane-air diffusion flames using finite-rate and infinitely-fast chemistry based combustion models. Therm. Sci. Eng. Prog. 2018, 5, 144–157. [Google Scholar] [CrossRef]
- Andreini, A.; Facchini, B.; Innocenti, A.; Cerutti, M. Numerical Analysis of a Low NOx Partially Premixed Burner for Industrial Gas Turbine Applications. Energy Procedia 2014, 45, 1382–1391. [Google Scholar] [CrossRef]
- Greifenstein, J.H.M. , Dreizler, B.B.A.: Experimental Investigation of Global Combustion Characteristics in an Effusion Cooled Single Sector Model Gas Turbine Combustor. Flow Turbul. Combust. 1025. [Google Scholar]
- Law, W.P.; Gimbun, J. Scale-adaptive simulation on the reactive turbulent flow in a partial combustion lance: Assessment of thermal insulators. Appl. Therm. Eng. 2016, 105, 887–893. [Google Scholar] [CrossRef]
- De Giorgi, M.G.; Sciolti, A.; Capilongo, S.; Ficarella, A. Experimental and Numerical Investigations on the Effect of Different Air-Fuel Mixing Strategies on the Performance of a Lean Liquid Fueled Swirled Combustor. Energy Procedia 2016, 101, 925–932. [Google Scholar] [CrossRef]
- Hartl, S.; Messig, D.; Fuest, F.; Hasse, C. Flame Structure Analysis and Flamelet/Progress Variable Modelling of DME/Air Flames with Different Degrees of Premixing. Flow, Turbul. Combust. 2018, 102, 757–773. [Google Scholar] [CrossRef]
- Senoner, L.H.J.M. , Cuenot, A.B.B.: Large-Eddy Simulation of Kerosene Spray Ignition in a Simplified Aeronautic Combustor. Flow Turbul. Combust. 2018. [Google Scholar]
- Lewandowski, M.T.; Ertesvåg, I.S. Analysis of the Eddy Dissipation Concept formulation for MILD combustion modelling. Fuel 2018, 224, 687–700. [Google Scholar] [CrossRef]
- Sarath, C.; Sreejith, M.; Reji, R. Flow Field Predictions of Bluff Body Introduced Micro Combustor. Procedia Technol. 2016, 24, 420–427. [Google Scholar] [CrossRef]
- Anh, N. , Doan, K., Swaminathan, N.: Autoignition and flame propagation in non-premixed MILD combustion. Combust. 2019. [Google Scholar]
- Chanphavong, L.; Al-Attab, K.; Zainal, Z.A. Flameless Combustion Characteristics of Producer Gas Premixed Charge in a Cyclone Combustor. Flow, Turbul. Combust. 2019, 103, 731–750. [Google Scholar] [CrossRef]
- Honhar, P.; Hu, Y.; Gutheil, E. Analysis of Mixing Models for use in Simulations of Turbulent Spray Combustion. Flow, Turbul. Combust. 2017, 99, 511–530. [Google Scholar] [CrossRef]
- Wang, H. , Pant, T., Zhang, P.: LES / PDF Modeling of Turbulent Premixed Flames with Locally Enhanced Mixing by Reaction. Flow Turbul. Combust. 2018. [Google Scholar]
- Anand, V.; Jodele, J.; Knight, E.; Prisell, E.; Lyrsell, O.; Gutmark, E. Dependence of Pressure, Combustion and Frequency Characteristics on Valved Pulsejet Combustor Geometries. Flow, Turbul. Combust. 2017, 100, 829–848. [Google Scholar] [CrossRef]
- Fabiola, G. , Tay, K., Tachie, M.F.: Effects of Nozzle Geometry on Turbulent Characteristics and Structure of Surface Attaching Jets. Flow Turbul. Combust. 2019. [Google Scholar]
- Chrigui, M.; Moesl, K.; Ahmadi, W.; Sadiki, A.; Janicka, J. Partially premixed prevalorized kerosene spray combustion in turbulent flow. Exp. Therm. Fluid Sci. 2009, 34, 308–315. [Google Scholar] [CrossRef]
- Moureau, G.L.V. , Chauvet, S.D.N.: Modeling of Conjugate Heat Transfer in a Kerosene/Air Spray. Flow Turbul. Combust. 2018. [Google Scholar]
- Koren, C.; Vicquelin, R.; Gicquel, O. Multiphysics Simulation Combining Large-Eddy Simulation, Wall Heat Conduction and Radiative Energy Transfer to Predict Wall Temperature Induced by a Confined Premixed Swirling Flame. Flow, Turbul. Combust. 2018, 101, 77–102. [Google Scholar] [CrossRef]
- Zhang, K.; Ghobadian, A.; Nouri, J. Comparative study of non-premixed and partially-premixed combustion simulations in a realistic Tay model combustor. Appl. Therm. Eng. 2017, 110, 910–920. [Google Scholar] [CrossRef]
- Chen, J.; Liu, B.; Yan, L.; Xu, D. Computational fluid dynamics modeling of the combustion and emissions characteristics in high-temperature catalytic micro-combustors. Appl. Therm. Eng. 2018, 141, 711–723. [Google Scholar] [CrossRef]
- Turkeli-Ramadan, Z.; Sharma, R.N.; Raine, R.R. Two-dimensional simulation of premixed laminar flame at microscale. Chem. Eng. Sci. 2015, 138, 414–431. [Google Scholar] [CrossRef]
- Sadiki, A.; Agrebi, S.; Chrigui, M.; Doost, A.; Knappstein, R.; Di Mare, F.; Janicka, J.; Massmeyer, A.; Zabrodiec, D.; Hees, J.; et al. Analyzing the effects of turbulence and multiphase treatments on oxy-coal combustion process predictions using LES and RANS. Chem. Eng. Sci. 2017, 166, 283–302. [Google Scholar] [CrossRef]
- Enagi, I.I.; Al-Attab, K.; Zainal, Z. Combustion chamber design and performance for micro gas turbine application. Fuel Process. Technol. 2017, 166, 258–268. [Google Scholar] [CrossRef]
- Andreini, A.; Bertini, D.; Facchini, B.; Puggelli, S. Large-Eddy Simulation of a Turbulent Spray Flame Using the Flamelet Generated Manifold Approach. Energy Procedia 2015, 82, 395–401. [Google Scholar] [CrossRef]
- Rajpara, P.; Shah, R.; Banerjee, J. Effect of hydrogen addition on combustion and emission characteristics of methane fuelled upward swirl can combustor. Int. J. Hydrogen Energy 2018, 43, 17505–17519. [Google Scholar] [CrossRef]
- Karyeyen, S. Combustion characteristics of a non-premixed methane flame in a generated burner under distributed combustion conditions: A numerical study. Fuel 2018, 230, 163–171. [Google Scholar] [CrossRef]
- Pashchenko, D. Comparative analysis of hydrogen/air combustion CFD-modeling for 3D and 2D computational domain of micro-cylindrical combustor. Int. J. Hydrogen Energy 2017, 42, 29545–29556. [Google Scholar] [CrossRef]
- Afshar, A. : Evaluation of liquid fuel spray models for hybrid RANS/LES and DLES prediction of turbulent reactive flows. 2014. [Google Scholar]
- Fachbereich Maschinenbau, V. , Kumar Goud Pantangi aus Nalgonda, P., Berichterstatter, I., Amsini Sadiki Mitberichterstatter, H., Dinkelacker Mitberichterstatter, F., Johannes Janicka, D.I.: Large Eddy Simulation of Mixing and Combustion in Combustion Systems under Non-adiabatic Conditions. Ph. 2015. [Google Scholar]
- ANSYS Fluent Tutorial Guide, www.ansys.
- Abubakar, Z.; Shakeel, M.R.; Mokheimer, E.M. Experimental and numerical analysis of non-premixed oxy-combustion of hydrogen-enriched propane in a swirl stabilized combustor. Energy 2018, 165, 1401–1414. [Google Scholar] [CrossRef]
- Gao, Y. , Chow, W.K.: A Brief Review on Combustion Modeling. Int. Journ. Architectural Sci. 2005; 6. [Google Scholar]
- Zimmermann, I. : Modeling and Numerical Simulation of Partially Premixed Flames. Ph. 2009. [Google Scholar]
- Guo, F.; Wang, C.; Zhang, A.; Li, M. Study on kerosene spray combustion and self-extinguishing behaviors under limited ventilation. Fuel 2019, 255. [Google Scholar] [CrossRef]
- Örs, I.; Sarıkoç, S.; Atabani, A.; Ünalan, S.; Akansu, S. The effects on performance, combustion and emission characteristics of DICI engine fuelled with TiO2 nanoparticles addition in diesel/biodiesel/n-butanol blends. Fuel 2018, 234, 177–188. [Google Scholar] [CrossRef]
- Arshad, S. , Adhiraj, E.G., Suresh, D., Oevermann, M.: Subgrid Reaction-Diffusion Closure for Large Eddy Simulations Using the Linear-Eddy Model. Flow Turbul. Combust. 2019. [Google Scholar]
- Masjudin; Chang, W. -C. Combustion performance of the premixed and diffusion burners with used lubricating oil and used cooking oil as fuel. Mod. Phys. Lett. B 2019, 33. [Google Scholar] [CrossRef]
- Michel, O.C.J. : A Two-Dimensional Tabulated Flamelet Combustion Model for Furnace Applications. Flow Turbul. Combust. 2016; 97. [Google Scholar]
- Bayındır, H. , Is, M.Z.: Evaluation of combustion, performance and emission indicators of canola oil-kerosene blends in a power generator diesel engine. Appl. Therm. Eng. 2017. [Google Scholar]
- Krieger, G.; Campos, A.; Takehara, M.; da Cunha, F.A.; Veras, C.G. Numerical simulation of oxy-fuel combustion for gas turbine applications. Appl. Therm. Eng. 2015, 78, 471–481. [Google Scholar] [CrossRef]
- Ma, L. , Xu, H., Wang, X., Fang, Q., Zhang, C., Chen, G.: A novel flame-anchorage micro-combustor : Effects of flame holder shape and height on premixed CH4/air flame blow-off limit. Appl. Therm. Eng. 1138. [Google Scholar]
- Zhu, S.; Pozarlik, A.; Roekaerts, D.; Rodrigues, H.C.; van der Meer, T. Numerical investigation towards HiTAC conditions in laboratory-scale ethanol spray combustion. Fuel 2018, 211, 375–389. [Google Scholar] [CrossRef]
- Wang, W.; Zuo, Z.; Liu, J. Numerical study of the premixed propane/air flame characteristics in a partially filled micro porous combustor. Energy 2019, 167, 902–911. [Google Scholar] [CrossRef]
- Baukal Jr, C.E. : Industrial Combustion Pollution and Control. Marcel Dekker Ink., New York U.S. 2004. [Google Scholar]
- Way, T.W. : Industrial Gas Burner. ( 2017.
- Bagheri, G.; Hosseini, S.E.; Wahid, M.A. Effects of bluff body shape on the flame stability in premixed micro-combustion of hydrogen–air mixture. Appl. Therm. Eng. 2014, 67, 266–272. [Google Scholar] [CrossRef]
- Heinrich, A.; Ganter, S.; Kuenne, G.; Jainski, C.; Dreizler, A.; Janicka, J. 3D Numerical Simulation of a Laminar Experimental SWQ Burner with Tabulated Chemistry. Flow, Turbul. Combust. 2017, 100, 535–559. [Google Scholar] [CrossRef]
- Flagan, R.C. , Seinfeld, J.H.: Fundamentals of Air Pollution Engineering. 1988. [Google Scholar]
- Choudhary, K.D. , Nayyar, A., Dasgupta, M.S.: Effect of compression ratio on combustion and emission characteristics of C.I. The engine operated with acetylene in conjunction with diesel fuel. 2018. [Google Scholar]
- Zhao, W.; Qiu, P.; Liu, L.; Shen, W.; Lyu, Y. Combustion and NOx emission characteristics of dual-stage lean premixed flame. Appl. Therm. Eng. 2019, 160. [Google Scholar] [CrossRef]
- Noel, D. , Kushnoore, S., Kamitkar, N., Satishkumar, M.: Experimental Studies of Compression Ignition Diesel Engine Using CNG and Pongamia Biodiesel in a Dual Fuel Mode. Americ. Journ. Mech. Indutr. Eng. 2016; 1. [Google Scholar]
- F. Draught: Buner Handbook. 2001.













| Boundary conditions | Parameters | Values |
| Inlet air | ||
| Momentum | Velocity (m/s) | 0.5 |
| Hydraulic diameter (m) | 0.03 | |
| Turbulent intensity (%) | 10 | |
| Thermal | Temperature (K) | 300 |
| Species | Oxygen (mass fraction) | 0.21 |
| Inlet fuel | ||
| Momentum | Velocities (m/s) | 0.01, 0.03, 0.05, 0.075, 0.1, 0.3, 1, 5 and 10 |
| Hydraulic diameter (m) | 0.02 | |
| Turbulent intensity (%) | 10 | |
| Thermal | Temperature (K) | 300 |
| Species | Kerosene (mass fraction) | 1 |
| Walls | Wall slip | 0 |
| Material | Steel | |
| Thermal condition | Mixed | |
| Heat transfer convection (W/m2.K) | 0 | |
| Outlet pressure | Gauge pressure | 0 |
| Hydraulic diameter (m) | 0.5 | |
| Turbulent intensity (%) | 10 |
| Models | Parameters |
| Viscous model | K-e Standard |
| Radiation model | P1 |
| Combustion model | Diffusion combustion flame |
| Mixture properties | Kerosene (C12H23)-air |
| Turbulence chemistry interaction | Eddy dissipation model (EDM) |
| Reaction | Volumetric |
| NOx | Thermal and prompt NOx |
Disclaimer/Publisher’s Note: The statements, opinions and data contained in all publications are solely those of the individual author(s) and contributor(s) and not of MDPI and/or the editor(s). MDPI and/or the editor(s) disclaim responsibility for any injury to people or property resulting from any ideas, methods, instructions or products referred to in the content. |
© 2025 by the authors. Licensee MDPI, Basel, Switzerland. This article is an open access article distributed under the terms and conditions of the Creative Commons Attribution (CC BY) license (https://creativecommons.org/licenses/by/4.0/).