Submitted:
22 July 2025
Posted:
23 July 2025
You are already at the latest version
Abstract
Keywords:
1. Introduction
2. Fundamental Physical Property Analysis
2.1. Properties of Supercritical Fluids

2.2. Pseudo-Critical Point
2.3. Solubility of Acidic Gases
3. Acidic Gas Annular Flow Model
4. Model Solution
4.1. Solution Process
4.2. Model Validation
5. Calculation Example
5.1. Basic Parameters
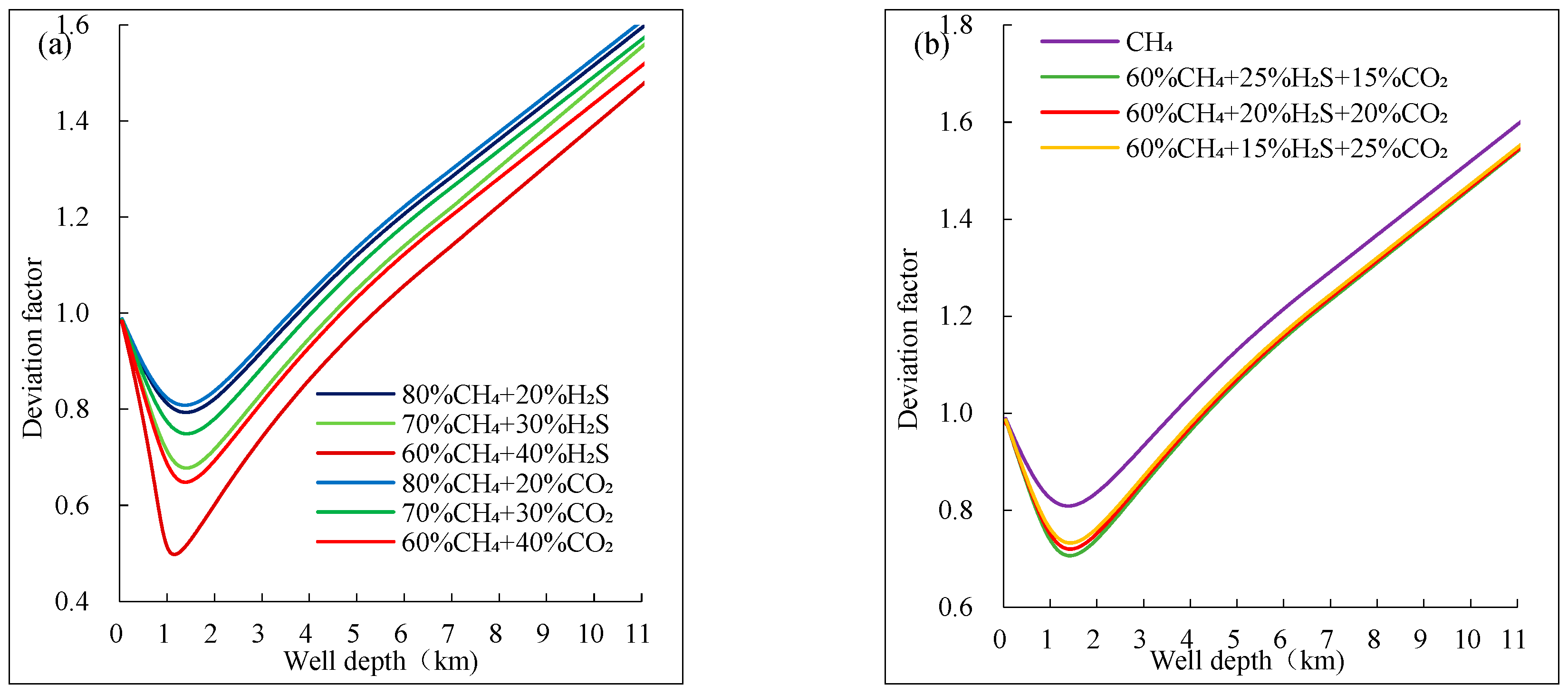
5.2. Study on the Variation of Acidic Gas Properties with Well Depth
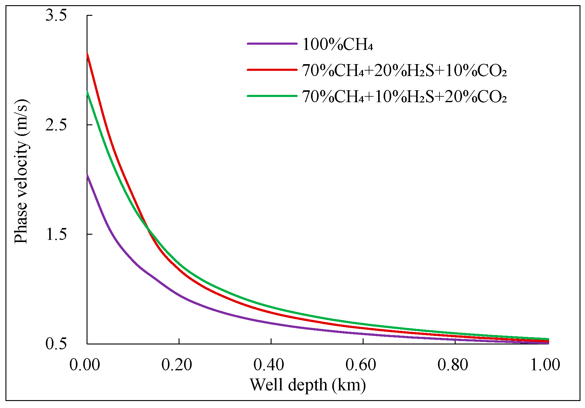
5.3. Migration Pattern of Acidic Gas in the Annular Space
6. Conclusions
Nomenclatures
| Symbols | |
| A | Annular cross-sectional area (m2) |
| C0 | Gas distribution coefficient (dimensionless) |
| Cg(T) | The sound velocity of the gas, depending on temperature T (m/s) |
| Cm | Bubble tail velocity (m/s) |
| Eg | Free gas volume fraction (dimensionless) |
| El | Liquid phase volume fraction (dimensionless) |
| Fr | Annular friction (MPa) |
| g | Acceleration of gravity (m/s2) |
| hg | The distance of the bubble head to the top of the riser (m) |
| Mg | Gas mass (kg) |
| mi | Molar concentration of gas i in liquid phase (mol/kg) |
| P | Absolute pressure (MPa) |
| Pc | Gas critical pressure (MPa) |
| Pb | the applied back-pressure (MPa) |
| Pg | the pressure in the gas bubble (assumed uniform) (MPa) |
| Ppr | Quasi critical pressure of gas (MPa) |
| Q0 | The flowrate into the bottom of the riser (m3/s) |
| qg | Gas quality produced per unit depth of reservoir per unit time (kg/(m·s)) |
| R | Molar constant of gas (MPa·1/mol·K) |
| Rls | Solubility of gas in drilling fluid (m3/m3) |
| T | Absolute temperature (K) |
| Tc | Gas critical temperature (K) |
| Tpr | Quasi critical temperature of gas (K) |
| vg | Free gas upward velocity (m/s) |
| vl | Liquid phase reflux velocity (m/s) |
| vrg | Gas-phase drift velocity (m/s) |
| vsg | Gas phase apparent velocity (m/s) |
| vsl | Liquid phase apparent velocity (m/s) |
| v0∞ | Bubble ascent limit speed (m/s) |
| yi | Molar fraction of gas phase (dimensionless) |
| Z | deviation factor (dimensionless) |
| Greek Letters | |
| γ | Activity coefficient (dimensionless) |
| μil(0) | Chemical potential of gas i in liquid phase (dimensionless) |
| μiv(0) | Chemical potential of gas i in the gas phase (dimensionless) |
| ρl | Liquid density (kg/m3) |
| ρg | Free air density (kg/m3) |
| ρpr | Pseudo critical density (kg/m3) |
| ρgs | Gas density under standard conditions (kg/m3) |
| σ | Gas-liquid surface tension (N/m) |
| φi | Fugacity coefficient (dimensionless) |
Funding
Informed Consent Statement
Conflicts of Interest
Research Involving Human Participants and/or Animals
Appendix A. Acidic Gas Annular Flow Model

| Gas Mass Inflow at the Lower Surface | |
| Gas Mass Generated by Formation within the Differential Element | |
| Gas Mass Released from Drilling Fluid within the Differential Element | |
| Free Gas Mass Outflow at the Upper Surface | |
| Total Change within the Differential Element |
| Flow Pattern | Identification Criterion | Friction Calculation |
| Single-phase Flow | Influx gas completely dissolved | |
| Bubble Flow | ||
| Slug Flow | ||
| Churn Flow | ||
| Annular Flow |
| Pressure | The calculation formulas |
| Initial Conditions | Boundary Conditions |
Appendix B. Derivation of Governing Equations for Model Solution
- (1)
- Single-Phase Gas Blowout Model
- (2)
- Grid Division.
- (3)
- The difference equation
- (4)
- Boundary conditions
| Dispersion of initial conditions | boundary conditions |
References
- Aarsnes, U.J., Hauge, E. and Godhavn, J.-M., 2016. Mathematical Modeling of Gas in Riser, SPE Deepwater Drilling and Completions Conference.
- Al-Kayiem, H.H., Osei, H., Hashim, F.M. and Hamza, J.E., 2019. Flow structures and their impact on single and dual inlets hydrocyclone performance for oil–water separation. Journal of Petroleum Exploration and Production Technology, Vol.9(No.4): 2943-2952. [CrossRef]
- Al-Safran, E., Ghasemi, M. and Al-Ruhaimani, F., 2020. High-Viscosity Liquid/Gas Flow Pattern Transitions in Upward Vertical Pipe Flow. SPE Journal, Vol.25(No.3): 1155-1173. [CrossRef]
- Alegría, L.M. et al., 2012. Friction Factor Correlation for Viscoplastic Fluid Flows through Eccentric Elliptical Annular Pipe, IADC/SPE Asia Pacific Drilling Technology Conference and Exhibition.
- Baojiang, S., Rongrong, S. and Zhiyuan, W., 2012. Overflow behaviors of natural gas kick well with high content of H2S gas. Journal of China University of Petroleum(Edition of Natural Science), 36(01): 73-79.
- Baojiang, S. et al., 2020. Application and prospect of the wellbore four-phase flow theory in the field of deepwater drilling and completion engineering and testing. Natural Gas INdustry, 40(12): 95-105.
- Chengzao, J., Lin, J. and Wen, Z., 2025. Tight oil and gas in Whole Petroleum System: accumulation mechanism. enrichment regularity,and resource prospect. Acta Petrolei Sinica, 46(01): 1-16+47.
- Dou, L. et al., 2012. Study on the well control safety during formation high-sulfur gas invasion.
- Faluomi, V., Bonizzi, M. and Ghetti, L., 2017. Development and Validation of a Multiphase Flow Simulator. (TEA Sistemi SpA) (TEA Sistemi SpA) (TEA Sistemi SpA) (TEA Sistemi SpA).
- Feng, G., Changqing, J. and Hong, L., 2023. Key technologies for safe and efficient development and long-term stable production of the Luojiazhai high-sulfur gas field in the Sichuan Basin. Natural Gas Industry, 43(09): 85-92.
- Ferroudji, H. et al., 2021. Study of Ostwald-de Waele fluid flow in an elliptical annulus using the slot model and the CFD approach. Journal of Dispersion Science and Technology, 42(9): 1395-1407. [CrossRef]
- Guo, G. et al., 2025. A review of Wellhead pressure reduction methods in hydraulic fracturing. Journal of Petroleum Exploration and Production Technology, 15(6): 106. [CrossRef]
- Hao, T. et al., 2022. Design method and application of accurate adjustment scheme for water injection wells around adjustment wells. Journal of Petroleum Exploration and Production Technology, Vol.12(No.3): 743-752. [CrossRef]
- Hasan, A.R. and Kabir, C.S., 1988. Predicting Multiphase Flow Behavior in a Deviated Well. (U. of North Dakota);(Schlumberger Well Services), Vol.3(No.4): 474-482. [CrossRef]
- Hasan, A.R. and Kabir, C.S., 1992. 2-PHASE FLOW IN VERTICAL AND INCLINED ANNULI. Department of Chemical Engineering, University of North Dakota, Grand Forks, ND 58202, United States;Chevron Oil Field Research Co., La Habra, CA 90633, United States, Vol.18(No.2): 279-293. [CrossRef]
- Hua, J. et al., 2022. Process and model of hydrocarbon accumulation spanning major tectonic phases of Sinian Dengying Formation in the Sichuan Basin. Natural Gas Industry, 42(05): 11-23.
- Jiangfei, L. et al., 2016. Pipeline transport containing impurity CO2. Science and technology Guide, 34(02): 173-177.
- Kiran, R., Salehi, S., Mokhtari, M. and Kumar, A., 2019. Effect of Irregular Shape and Wellbore Breakout on Fluid Dynamics and Wellbore Stability, 53rd U.S. Rock Mechanics/Geomechanics Symposium.
- Krishna, S. et al., 2020. Explicit flow velocity modelling of yield power-law fluid in concentric annulus to predict surge and swab pressure gradient for petroleum drilling applications(Article). State Key Laboratory of Petroleum Resources and Prospecting, China University of Petroleum, Beijing, 102249, China; College of Geosciences, China University of Petroleum, Beijing, 102249, China; Strategic Res, Vol.195: 107743. [CrossRef]
- Qian, L. et al., 2023. The characteristics of solid sulfur deposition in high sulfur gas reservoir. Fault-Block Oil & Gas Field, 30(06): 999-1006.
- Shaomu, W. et al., 2024. Key technological innovation and successful practice in safe and highly-efficient development of ultra-high sulfur monoblock gas fields in the Sichuan Basin. Natural Gas Industry, 44(11): 37-49.
- Shihui, S., Wen, X., Jinyu, F. and Haiyan, T., 2019. An Analysis on Flow Characteristics of Foam Drilling under Formation Fluid Intrusion Conditions. CHINA'S MANGANESE INDUSTRY, 37(06): 42-47.
- Sun, B. et al., 2018. Multiphase flow behavior for acid-gas mixture and drilling fluid flow in vertical wellbore. State Key Laboratory of Petroleum Resources and Prospecting, China University of Petroleum, Beijing, 102249, China; College of Geosciences, China University of Petroleum, Beijing, 102249, China; Strategic Res, Vol.165(No.0): 388-396. [CrossRef]
- Tang, M., He, L., Kong, L., He, S. and Zhang, T., 2022a. Simplified modeling of laminar helical flow in eccentric annulus with YPL fluid. Energy Sources Part a-Recovery Utilization and Environmental Effects, 44(1): 2061-2074. [CrossRef]
- Tang, M. et al., 2022b. Gravity displacement gas kick law in fractured carbonate formation. Journal of Petroleum Exploration and Production Technology, Vol.12(No.11): 3165-3181. [CrossRef]
- Wang, F. et al., 2024. Upper limit estimate to wellhead flowing pressure and applicable gas production for a downhole throttling technique in high-pressure–high-temperature gas wells. Journal of Petroleum Exploration and Production Technology, 14(6): 1443-1454.
- Wang, Z., Sun, B. and Sun, X., 2016. Calculation of Temperature in Fracture for Carbon Dioxide Fracturing. SPE JOURNAL, Vol.21(No.5): 1491-1500. [CrossRef]
- Weiner et al., 2017. Annular phase behavior analysis during marine natural gas hydrate reservoir drilling. Acta Petrolei Sinica, 38(06): 710-720.
- Wezehwa, Jin, Z. and Tinghu, W., 2018. Safety planning analysis of natural gas Wells containing hydrogen sulfide. China Petroleum and chemical standards and quality, 38(07): 83-84.
- WICHERT, E. and AZIZ, K., 1972. CALCULATE Z S FOR SOUR GASES. Hydrocarbon Processing, Vol.51(No.5): 119.
- Xiangrui, C., Yunpeng, W., Zhihua, H. and Qiaohui, F., 2023. Solubility models of CH4, CO2 and noble gases and their geological applications. Natural Gas Geoscience, 34(04): 707-718.
- Xin, L., Shiming, H., year, S.s., Yong, S. and Lanfeng, Y., 2016. Transient flow simulation of gas-liquid two-phase flow in wellbore based on AUSMV algorithm. World scientific and technological research and development, 38(06): 1170-1176.
- Xinming, W. et al., 2018. Resistance characteristics of supercritical CO2 in a circular tube. CIESC Journal, 69(12): 5024-5033.
- Xinyu, G. et al., 2024. Prediction and Application of Pore Pressure for Carbonate Reservoirs in Zhongjiang–Penglai of China, SPE Caspian Technical Conference and Exhibition.
- Yuanyuan, M., 2019. Raman spectroscopy of H2S dissolution process in H2S-H2O-nacl system. Master Thesis.
- Yuyu, X. et al., Geochemical characteristics of bitumen in ancient oil and gas reservoirs in the north-northwest margin of Sichuan Basin are indicative of lead-zinc deposit enrichment. Bulletin of Mineralogy, Petrology and Geochemistry: 1-17.
- Zaidin, M.F., Kantaatmadja, B.P. and Chapoy, A., 2019. Experimental Study to Estimate CO2 Solubility in a High Pressure High Temperature HPHT Reservoir Carbonate Aquifer.
- Zainith, P. and Mishra, N.K., 2021. A Comparative Study on Thermal-Hydraulic Performance of Different Non-Newtonian Nanofluids Through an Elliptical Annulus. Journal of Thermal Science and Engineering Applications, 13(5). [CrossRef]
- Zhou, H., Fan, H., Wang, H., Niu, X. and Wang, G., 2018. A Novel Multiphase Hydrodynamic Model for Kick Control in Real Time While Managed Pressure Drilling, SPE/IADC Middle East Drilling Technology Conference and Exhibition.









| Well Number. | Time | Depth (m) |
Formation | Ejected Medium | H₂S Content (g/m3) |
CO₂ Content (g/m3) | Casualties (people) |
| Luojia 16H | 2003.12 | 4050 | Feixianguan Formation | Gas | 151.0 | -- | 243 |
| Tazhong823 | 2005.12 | 5550 | Ordovician | Oil and Gas | 22.0 | -- | |
| Luojia 2 | 2006.03 | 3404 | Feixianguan Formation | Gas | 125.5 | 106.88 | |
| Zhonggu70 | 2018.03 | 7413 | Yingshan Formation | Oil and Gas | 4000 | -- | |
| Tazhong 726-2X | 2018.12 | 5594 | Ordovician | Gas | 500-4800 | -- |
| Fluid types | Density(kg/m3) | Viscosity(Pa·s) | Diffusion coefficient(m2/s) | hermal conductivity(W/m·k) |
| Gas | 1 | 1~3×10-5 | 5~200×10-6 | 5~30×10-3 |
| Supercritical fluid | 200~700 | 2~10×10-4 | 0.01~1×10-6 | 30~70×10-3 |
| Liquid | 1000 | 1~10×10-2 | 0.4~3×10-9 | 70~250×10-3 |
| Gas Composition | Pseudo-Critical Temperature (°C) | Pseudo-Critical Pressure (MPa) | |
| Binary Mixture | -15.47 | 2.14 | |
| -51.16 | 2.90 | ||
| -78.56 | 4.66 | ||
| -44.84 | 5.51 | ||
| -67.51 | 4.96 | ||
| -82.87 | 4.59 | ||
| Ternary Mixture | -57.32 | 5.12 | |
| -60.31 | 5.08 | ||
| -63.19 | 5.01 | ||
| Parameters | Values | Parameters | Values |
| Relative density of H₂S | 1.189 kg/m3 | Drilling fluid replacement | 0.012 m³/s |
| Relative density of CO₂ | 1.535 kg/m3 | Formation temperature gradient | 0.03 ℃/m |
| Relative density of natural gas | 0.717 kg/m3 | Surface temperature | 20 ℃ |
| Viscosity of drilling fluid | 0.04 Pa·s | Surface pressure | 0.1 MPa |
| Density of drilling fluid | 1510 kg/m3 | Kick flow rate | 0.5 m³/s |
| Formation pressure gradient | 0.012 MPa/m |
Disclaimer/Publisher’s Note: The statements, opinions and data contained in all publications are solely those of the individual author(s) and contributor(s) and not of MDPI and/or the editor(s). MDPI and/or the editor(s) disclaim responsibility for any injury to people or property resulting from any ideas, methods, instructions or products referred to in the content. |
© 2025 by the authors. Licensee MDPI, Basel, Switzerland. This article is an open access article distributed under the terms and conditions of the Creative Commons Attribution (CC BY) license (http://creativecommons.org/licenses/by/4.0/).