Submitted:
14 July 2025
Posted:
16 July 2025
You are already at the latest version
Abstract
Keywords:
1. Introduction
2. The Half Logistic New Weibull Pareto Distribution
2.1. Sub-Models
- When , we obtain the new Half Logistic Weibull (HLW) distribution with cdf and pdf given respectively byandfor ,
- When , we obtain the Half Logistic Exponential (HLE) distribution introduced by [21] with cdf and pdf given respectively byandfor .
- When and , we obtain the Half Logistic Rayleigh (HLR) distribution introduced by [22] with cdf and pdf given respectively asandfor .
- When , we obtain the Half Logistic Pareto (HLP) distribution, introduced by [23] with cdf and pdf given respectively asandfor .
3. Expansion of the Density Function
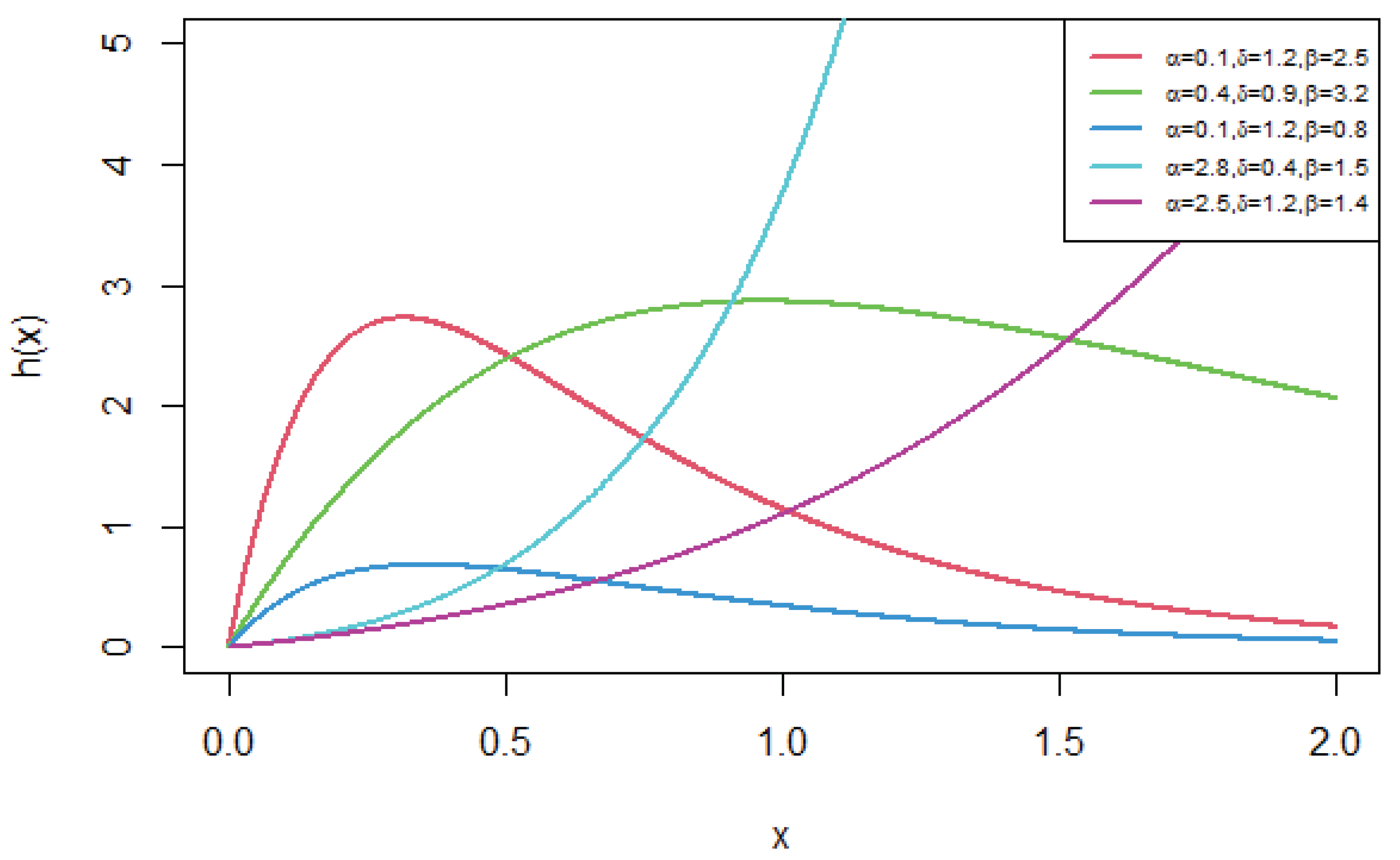
4. Survival, Reverse Hazard and Hazard Functions
5. Quantile Function
6. Moments and Moment Generating Function
6.1. Moments and Related Measures



- When we fix the value of , skewness and kurtosis of the HLNWP distribution increase as the parameters and increase.
- When we fix the value of , skewness and kurtosis of the HLNWP distribution decrease as the parameters and increase.
- When we fix the value of , skewness and kurtosis of the HLNWP distribution decrease as the parameters and increase.
6.2. Probability Weighted Moments
7. Distribution of Order Statistics
7.1. Rényi Entropy
8. Maximum Likelihood Estimation
8.1. Fisher Information Matrix
9. Simulation Study
9.1. Generation Algorithm
- 1.
- Generate Uniform (), .
- 2.
-
Set
9.2. Monte Carlo Simulation Study
- (a)
- Average bias of the MLE of the parameter
- (b)
- Root mean squared error (RMSE) of the MLE of the parameter
- (c)
- Coverage probability (CP) of 95% confidence intervals of the parameter , i.e., the percentage of intervals that contain the true value of parameter .
- (d)
- Average width (AW) of 95% confidence intervals of the parameter .
10. Applications
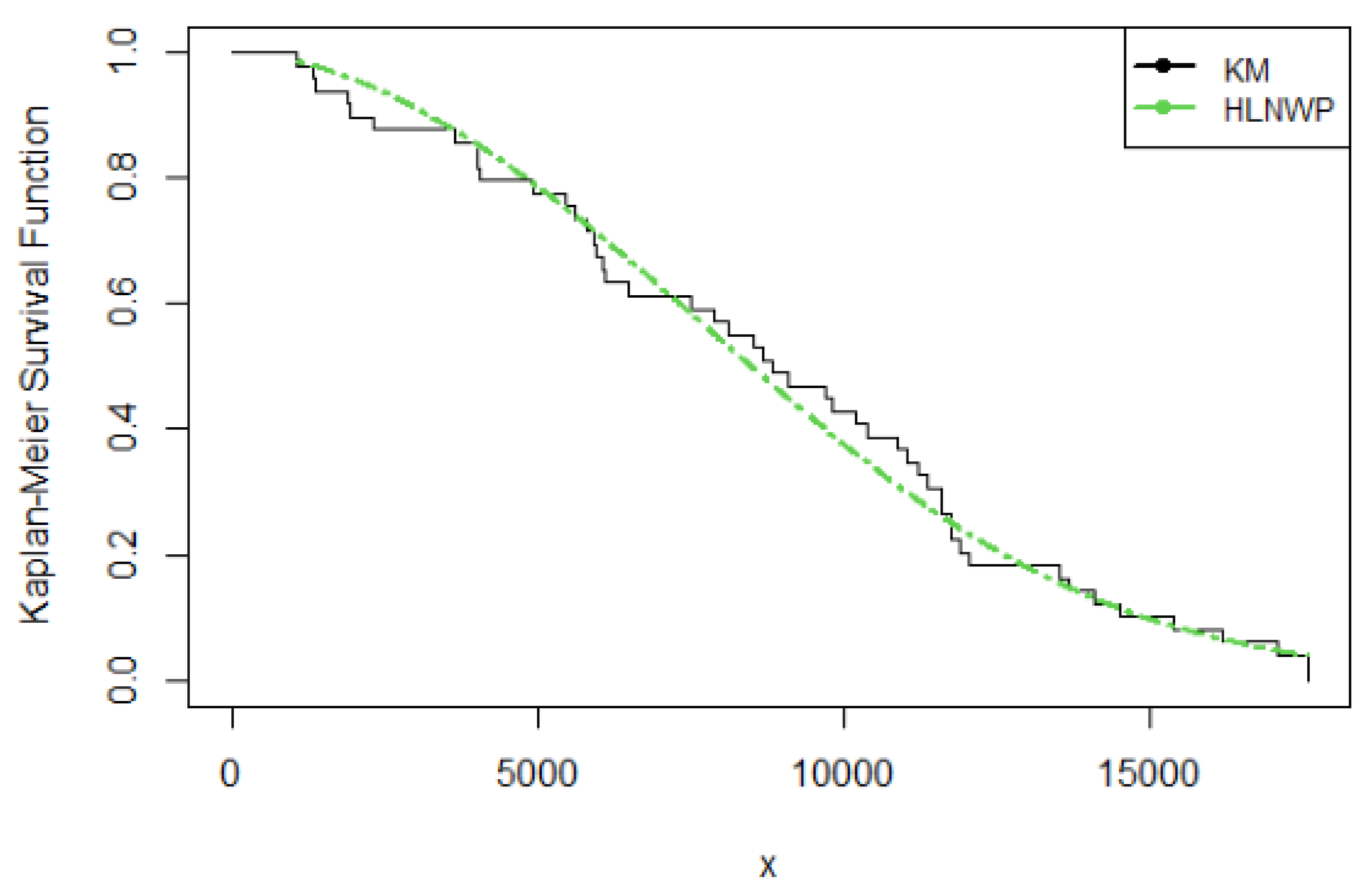
11. Covid-19 New Jersey Data
12. Kevlar70 Data
13. Conclusions
Acknowledgments
References
- Tong, C. Statistical inference enables bad science; statistical thinking enables good science. The American Statistician 2019, 73, 246–261.
- Balakrishnan, N. Order statistics from the half logistic distribution. Journal of statistical computation and simulation 1985, 20, 287–309.
- Gupta, R.; Kundu, D. Generalized exponential distributions. Australian & New Zealand Journal of Statistics 1999, 41, 173–188.
- Balakrishnan, N.; Kundu, D. A review of beta-generated distributions. Brazilian Journal of Probability and Statistics 2009, 23, 280–319.
- Cordeiro, G.M.; Alizadeh, M.; Ortega, E.M. The exponentiated half-logistic family of distributions: Properties and applications. Journal of Probability and Statistics 2014, 2014.
- Kundu, D.; Raqab, M.Z. A new class of Kumaraswamy-G family of distributions. Journal of King Saud University-Science 2016, 28, 190–199.
- Vayansky, I.; Kumar, S.A. A review of topic modeling methods. Information Systems 2020, 94, 101582.
- Das, S. On the use of half logistic distribution in rainfall data analysis. Journal of Hydrologic Engineering 2020, 25, 04020100.
- Javadi, H.; Malekmohammadi, B.; Ahmadi, M. Flood frequency analysis using the half logistic distribution. Water Resources Management 2019, 33, 1637–1650.
- Saravanan, S.; Srinivasan, S.; Anand, R. The half logistic distribution as an alternative to the log-normal distribution for water flow modeling. Journal of Hydrology 2020, 583, 124624.
- Nasiru, S.; Luguterah, A. The new weibull-pareto distribution. Pakistan Journal of Statistics and Operation Research 2015, pp. 103–114.
- Balakrishnan, N.; Lu, J. The Weibull-Pareto distribution for modeling wind speed data. Journal of Applied Statistics 2019, 46, 1361–1374.
- Qiu, X.; Wu, Y.; Ren, W. Weibull-Pareto distribution based on the failure time modeling of electronic devices. Journal of Applied Statistics 2021, pp. 1–20.
- Wei, J.; Chen, W.; Li, L.; Wang, J.; Yang, W.; Wu, X.; Zeng, G. Modeling survival time of COVID-19 patients using the Weibull-Pareto distribution. Journal of Clinical Medicine 2021, 10, 871.
- Balakrishnan, N. Exponentiated half logistic-generalized G family of distributions: properties and applications. Journal of Statistical Distributions and Applications 2018, 5, 1–24.
- Wang, D.; Zhang, Y.; Zhu, J.; He, Y. A Weibull-Pareto distribution model for extreme precipitation events in the Yangtze River Basin. Hydrological Sciences Journal 2019, 64, 611–622.
- Khan, M.S.; Rathore, V.S.; Chan, F.T. Estimating Value-at-Risk using Weibull-Pareto distribution: A new approach. Economic Modelling 2019, 82, 267–279.
- Navarro-Estupi n’an, J.; Mora-Rubio, V.; C’elleri, R. Extreme rainfall modeling in the Andean region using the Weibull-Pareto distribution. Water Resources Management 2019, 33, 3471–3486.
- Singh, R.K. Generalized half logistic generalized G family of distributions with application. Heliyon 2019, 5, e02599.
- Sharma, M. A new exponentiated half logistic generalized G family of distributions with applications. Journal of Statistical Theory and Practice 2020, 14, 1–17.
- Nadarajah, S.; Ahsanullah, M. A Half-Logistic Exponential Distribution. Communications in Statistics-Theory and Methods 2011, 40, 4025–4036.
- Al-Babtain, A.A. A new extended Rayleigh distribution. Journal of King Saud University-Science 2020, 32, 2576–2581.
- Nadarajah, S.; Ahsanullah, M. The half-logistic Pareto distribution and its applications. Journal of Probability and Statistics 2013, 2013.
- Birolini, A. Reliability Engineering: Theory and Practice; Springer International Publishing, 2015.
- Greenwood, J.A.; Landwehr, J.M.; Matalas, N.C.; Wallis, J.R. Probability weighted moments: definition and relation to parameters of several distributions expressable in inverse form. Water resources research 1979, 15, 1049–1054.
- Rényi, A. On measures of entropy and information. In Proceedings of the Proceedings of the Fourth Berkeley Symposium on Mathematical Statistics and Probability, Volume 1: Contributions to the Theory of Statistics. University of California Press, 1961, Vol. 4, pp. 547–562.
- Wenhao, G. Marshall-Olkin extended log-logistic distribution and its application in minification processes. Applied Mathematical Sciences 2013, 7, 3947–3961.
- Pakungwati, R.; Widyaningsih, Y.; Lestari, D. Marshall-Olkin extended inverse Weibull distribution and its application. In Proceedings of the Journal of physics: conference series. IOP Publishing, 2018, Vol. 1108, p. 012114.
- Akaike, H. A new look at the statistical model identification. IEEE transactions on automatic control 1974, 19, 716–723.
- Hurvich, C.M.; Tsai, C.L. Regression and time series model selection in small samples. Biometrika 1989, 76, 297–307.
- Schwarz, G. Estimating the dimension of a model. The annals of statistics 1978, pp. 461–464.
- Cramer, H. On the composition of elementary errors. Skand. Aktuarietidskr 1928, 11, 13–74.
- Anderson, T.W.; Darling, D.A. Asymptotic theory of certain “goodness-of-fit” criteria based on stochastic processes. The Annals of Mathematical Statistics 1952, 23, 193–212.
- Smirnov, N. Table for estimating the goodness of fit of empirical distributions. The Annals of Mathematical Statistics 1948, 19, 279–281.
- Muhammad, M.; Liu, L.; Abba, B.; Muhammad, I.; Bouchane, M.; Zhang, H.; Musa, S. A New Extension of the Topp–Leone-Family of Models with Applications to Real Data. Journal of Data Science 2021, 19, 747–769.
- Aggarwala, R.; Cook, R.D. Modeling the tensile strength of Kevlar fibers. Technometrics 2000, 42, 180–189.














| () | () | () | () | () | |
| p-quantile | (0.2,1.5,0.5) | (2.6,0.6,1.1) | (1,1.1,1.2) | (1.5,0.4,2.1) | (0.5,0.9,1) |
| 0.1 | 0.5011 | 0.0154 | 0.2787 | 0.0137 | 0.3626 |
| 0.2 | 0.8009 | 0.0497 | 0.5282 | 0.0798 | 0.7923 |
| 0.3 | 1.0619 | 0.1006 | 0.7760 | 0.2298 | 1.2678 |
| 0.4 | 1.3091 | 0.1698 | 1.0322 | 0.5036 | 1.7969 |
| 0.5 | 1.5566 | 0.2617 | 1.3071 | 0.9641 | 2.3981 |
| 0.6 | 1.8177 | 0.3857 | 1.6149 | 1.7244 | 3.1052 |
| 0.7 | 2.1107 | 0.5603 | 1.9799 | 3.0199 | 3.9834 |
| 0.8 | 2.4710 | 0.8309 | 2.4546 | 5.4535 | 5.1801 |
| 0.9 | 3.0035 | 1.3534 | 3.2029 | 11.3370 | 7.1712 |
| () | () | () | () | () | |
| (0.2,1.5,0.5) | (2.6,0.6,1.1) | (1,1.1,1.2) | (1.5,0.4,2.1) | (0.5,0.9,1) | |
| 0.1637 | 0.2312 | 0.1980 | 0.1320 | 0.1147 | |
| 0.1162 | 0.1220 | 0.1320 | 0.0744 | 0.0747 | |
| 0.0899 | 0.0806 | 0.0987 | 0.0516 | 0.0553 | |
| 0.0733 | 0.0596 | 0.0787 | 0.0394 | 0.0439 | |
| 0.0618 | 0.0471 | 0.0654 | 0.0319 | 0.0364 | |
| SD | 0.2989 | 0.2618 | 0.3046 | 0.2387 | 0.2480 |
| CV | 1.8257 | 1.1323 | 1.5386 | 1.8085 | 2.1620 |
| CS | 1.5582 | 1.1547 | 1.2678 | 1.9656 | 2.1376 |
| CK | 3.8732 | 3.3202 | 3.1341 | 5.8733 | 6.3114 |
| I(=2.0, =2.5) | II(=0.5, =0.5) | |||||||||
| Parameter | n | Average Bias | RMSE | CP | AW | Average Bias | RMSE | CP | AW | |
| 25 | 0.04520 | 0.44965 | 0.9000 | 1.37242 | -0.02316 | 0.16337 | 0.9000 | 0.55275 | ||
| 50 | 0.04644 | 0.27205 | 0.9300 | 0.95906 | 0.00392 | 0.10158 | 0.9300 | 0.40736 | ||
| 100 | 0.04348 | 0.19837 | 0.9600 | 0.67701 | 0.00109 | 0.08169 | 0.9100 | 0.28715 | ||
| 200 | 0.01244 | 0.11401 | 0.9800 | 0.46829 | 0.00372 | 0.05405 | 0.9400 | 0.20401 | ||
| 400 | 0.00997 | 0.09441 | 0.9200 | 0.33075 | 0.00499 | 0.03912 | 0.9400 | 0.14466 | ||
| 800 | 0.00208 | 0.05984 | 0.9500 | 0.23260 | -0.00012 | 0.02664 | 0.9200 | 0.10174 | ||
| 25 | 0.19469 | 0.55050 | 0.9200 | 1.75557 | 0.03894 | 0.11010 | 0.9200 | 0.35111 | ||
| 50 | 0.05059 | 0.30160 | 0.9700 | 1.16858 | 0.01012 | 0.06032 | 0.9700 | 0.23372 | ||
| 100 | 0.05991 | 0.23210 | 0.9400 | 0.82731 | 0.01198 | 0.04642 | 0.9400 | 0.16546 | ||
| 200 | 0.00522 | 0.14750 | 0.9400 | 0.57269 | 0.00104 | 0.02950 | 0.9400 | 0.11454 | ||
| 400 | -0.00561 | 0.10749 | 0.9700 | 0.40284 | -0.00112 | 0.02150 | 0.9700 | 0.08057 | ||
| 800 | -0.00015 | 0.07587 | 0.9200 | 0.28574 | 0.00042 | 0.01517 | 0.9200 | 0.05715 | ||
| III(=1.5,=0.5) | IV(=0.5,=1.5) | |||||||||
| Parameter | n | Average Bias | RMSE | CP | AW | Average Bias | RMSE | CP | AW | |
| 25 | 0.05737 | 0.32195 | 0.9000 | 1.08578 | -0.02315 | 0.16336 | 0.9000 | 0.55275 | ||
| 50 | 0.03005 | 0.19909 | 0.9400 | 0.75401 | 0.00391 | 0.10157 | 0.9300 | 0.40736 | ||
| 100 | 0.00353 | 0.15119 | 0.9100 | 0.52561 | 0.00109 | 0.08168 | 0.9100 | 0.28714 | ||
| 200 | -0.00749 | 0.10306 | 0.9400 | 0.36909 | 0.00372 | 0.05404 | 0.9400 | 0.20401 | ||
| 400 | 0.00003 | 0.06515 | 0.9600 | 0.26159 | 0.00499 | 0.03911 | 0.9400 | 0.14466 | ||
| 800 | 0.00003 | 0.04562 | 0.9600 | 0.18544 | -0.00012 | 0.02664 | 0.9200 | 0.10174 | ||
| 25 | 0.02705 | 0.08536 | 0.9800 | 0.34295 | 0.11681 | 0.33029 | 0.9200 | 1.05334 | ||
| 50 | 0.01475 | 0.07108 | 0.9300 | 0.23578 | 0.03035 | 0.18096 | 0.9700 | 0.70115 | ||
| 100 | 0.00859 | 0.04892 | 0.9500 | 0.16482 | 0.03594 | 0.13926 | 0.9400 | 0.49638 | ||
| 200 | 0.00201 | 0.02800 | 0.9500 | 0.11461 | 0.00313 | 0.08849 | 0.9400 | 0.34361 | ||
| 400 | 0.00428 | 0.01892 | 0.9800 | 0.08156 | -0.00336 | 0.06449 | 0.9700 | 0.24171 | ||
| 800 | 0.00046 | 0.01302 | 0.9600 | 0.05714 | 0.00125 | 0.04552 | 0.9200 | 0.17144 | ||
| 1 | 1 | 1 | 5 | 4 | 3 | 4 | 1 | 10 | 6 | 11 | 14 | 17 | 12 | 25 | 12 | 14 | 35 |
| 41 | 44 | 30 | 24 | 28 | 33 | 54 | 64 | 61 | 25 | 46 | 44 | 53 | 55 | 80 | 86 | 89 | 105 |
| 28 | 48 | 73 | 120 | 103 | 71 | 91 | 32 | 58 | 85 | 75 | 89 | 80 | 75 | 24 | 71 | 92 | 74 |
| 81 | 91 | 64 | 26 | 61 | 97 | 104 | 55 | 79 | 32 | 103 | 86 | 106 | 69 | 71 | 31 | 19 | 43 |
| 102 | 89 | 80 | 82 | 97 | 74 | 27 | 47 | 72 | 61 | 63 | 72 | 66 | 29 | 23 | 95 | 97 | 71 |
| 47 | 72 | 27 | 30 | 85 | 79 | 74 | 65 | 67 | 24 | 48 | 69 | 96 | 79 | 64 | 33 | 32 | 42 |
| 104 | 82 | 98 | 63 | 29 | 19 | 75 | 118 | 150 | 137 | 102 | 73 | 26 | 46 | 138 | 125 | 127 | 121 |
| 91 | 12 | 57 | 119 | 155 | 156 | 134 | 90 | 27 | 92 | 169 | 175 | 113 | 191 | 136 | 38 | 108 | 196 |
| 169 | 148 | 188 | 103 | 67 | 87 | 182 | 160 | 186 | 151 | 75 | 19 | 98 | 179 | 164 | 134 | 166 | 146 |
| 18 | 104 | 149 | 142 | 140 | 144 | 67 | 35 | 80 | 144 | 157 | 167 | 152 | 65 | 22 | 33 | 72 | 154 |
| 99 | 172 | 71 | 52 | 75 | 152 | 105 | 90 | 99 | 73 | 31 | 53 | 123 | 117 | 88 | 132 | 51 | 21 |
| 34 | 150 | 107 |
| Estimates | |||
| Distribution | |||
| HLNWP | 2.8384 | 0.0142 | 1.3532 |
| () | () | () | |
| HLW | 1 | 0.0035 | 1.3532 |
| (-) | (0.0013) | (0.0813) | |
| HLE | 1 | 0.0182 | 1 |
| (-) | (0.0010) | (-) | |
| HLR | 1 | 2 | |
| (-) | () | (-) | |
| HLP | 54.9957 | 1 | 1 |
| (3.1493) | (-) | (-) | |
| NWP | 5.8136 | 0.0147 | 1.5620 |
| () | () | () | |
| MOLL | 21.8981 | 2.0480 | 9.6746 |
| (0.9138) | (0.1227) | (1.0099) | |
| MOEIW | 2.0477 | ||
| () | () | (1.4130) | |
| Statistics | ||||||||
| Distribution | AIC | CAIC | BIC | W* | A* | SS | KS-Pvalue | |
| HLNWP | 2101.3750 | 2107.3750 | 2107.4970 | 2117.2850 | 0.1414 | 0.9068 | 0.1270 | 0.3534 |
| HLW | 2101.3750 | 2105.3750 | 2105.4350 | 2111.9810 | 0.1415 | 0.9069 | 0.1269 | 0.3529 |
| HLE | 2123.7920 | 2125.7920 | 2125.8120 | 2129.0960 | 0.2442 | 1.5016 | 1.0221 | |
| HLR | 2151.4250 | 2153.4250 | 2153.4450 | 2156.7280 | 0.0873 | 0.5916 | 1.4159 | |
| HLP | 2123.7920 | 2125.7920 | 2125.8120 | 2129.0960 | 0.2442 | 1.5016 | 1.0222 | |
| NWP | 2107.1740 | 2113.1750 | 2113.2960 | 2123.0840 | 0.2186 | 1.3386 | 0.2062 | 0.1308 |
| MOLL | 2159.5680 | 2165.5680 | 2165.6900 | 2175.4780 | 0.8486 | 4.9632 | 0.4778 | 0.0343 |
| MOEIW | 2159.5690 | 2165.5690 | 2165.6910 | 2175.4790 | 0.8508 | 4.9762 | 0.4817 | 0.0318 |
| 1051 | 1337 | 1389 | 1921 | 1942 | 2322 | 3629 | 4006 | 4012 | 4063 | 4921 | 5445 | 5620 | 5817 |
| 5905 | 5956 | 6068 | 6121 | 6473 | 7501 | 7886 | 8108 | 8546 | 8666 | 8831 | 9106 | 9711 | 9806 |
| 10205 | 10396 | 10861 | 11026 | 11214 | 11362 | 11604 | 11608 | 11745 | 11762 | 11895 | 12044 | 13520 | 13670 |
| 14110 | 14496 | 15395 | 16179 | 17092 | 17568 | 17568 |
| Estimates | |||
| Distribution | |||
| HLNWP | 22.8770 | 1.7523 | |
| () | () | () | |
| HLW | 1 | 1.7523 | |
| (-) | () | () | |
| HLE | 1 | 1 | |
| (-) | () | (-) | |
| HLR | 1 | 2 | |
| (-) | () | (-) | |
| HLP | 6059.5500 | 1 | 1 |
| (693.0200) | (-) | (-) | |
| NWP | 0.5284 | 0.0052 | 0.5459 |
| (2.0061) | (0.0135) | (0.0912) | |
| MOLL | 631.4893 | 2.6196 | 770.5876 |
| (189.9811) | (0.3166) | (59.4308) | |
| MOEIW | 438.5400 | 2.6086 | 0.0013 |
| () | () | () | |
| Statistics | ||||||||
| Distribution | AIC | CAIC | BIC | W* | A* | SS | KS-Pvalue | |
| HLNWP | 960.6601 | 966.6601 | 967.1934 | 972.3356 | 0.0564 | 0.3719 | 0.0569 | 0.9371 |
| HLW | 960.6601 | 964.6996 | 964.9605 | 968.4833 | 0.0562 | 0.3706 | 0.0695 | 0.8539 |
| HLE | 977.4480 | 979.4480 | 979.5331 | 981.3398 | 0.1062 | 0.6906 | 0.5654 | 0.0449 |
| HLR | 979.2739 | 981.2730 | 981.3581 | 983.1648 | 0.0477 | 0.3148 | 0.9104 | 0.0049 |
| HLP | 977.4480 | 979.4480 | 979.5331 | 981.3398 | 0.1062 | 0.6906 | 0.5654 | 0.0449 |
| NWP | 1035.0300 | 1041.0300 | 1041.5630 | 1046.7050 | 0.1917 | 1.2372 | 2.0615 | |
| MOLL | 974.0705 | 980.0705 | 980.6038 | 985.7459 | 0.2216 | 1.4137 | 0.1353 | 0.5642 |
| MOEIW | 974.0160 | 980.0160 | 980.5493 | 985.6914 | 0.2267 | 1.4430 | 0.1366 | 0.5573 |
Disclaimer/Publisher’s Note: The statements, opinions and data contained in all publications are solely those of the individual author(s) and contributor(s) and not of MDPI and/or the editor(s). MDPI and/or the editor(s) disclaim responsibility for any injury to people or property resulting from any ideas, methods, instructions or products referred to in the content. |
© 2025 by the authors. Licensee MDPI, Basel, Switzerland. This article is an open access article distributed under the terms and conditions of the Creative Commons Attribution (CC BY) license (http://creativecommons.org/licenses/by/4.0/).