Submitted:
14 July 2025
Posted:
15 July 2025
You are already at the latest version
Abstract

Keywords:
1. Introduction
2. Materials and Methods
2.1. Cell Line, Virus and Compounds
2.2. In Vitro Cell-Based Antiviral Assay for Cow-Urine Distillate (CUD)
2.3. Gas Chromatography-Mass Spectrometry (GC-MS) Analysis of CUD
2.4. Structure-Based Virtual Screening Targeting CHIKV nsP2Pro
2.5. Screening Compounds Inhibiting the Proteolytic Activity of CHIKV nsP2Pro via FRET Assay
2.6. In Vitro Antiviral Assay of Compounds Selected After In Silico Studies:
2.7. Combinatorial Antiviral Assay: Assessment of Synergistic Effect
3. Results
3.1. Assessment of Antiviral Activity of CUD
3.2. Identification of Metabolites in CUD
3.3. In Silico Binding Study of Identified Compounds from CUD
3.4. Inhibition of the Proteolytic Activity of nsP2Pro:
3.5. Assessment of Antiviral Activity of Identified Metabolites:
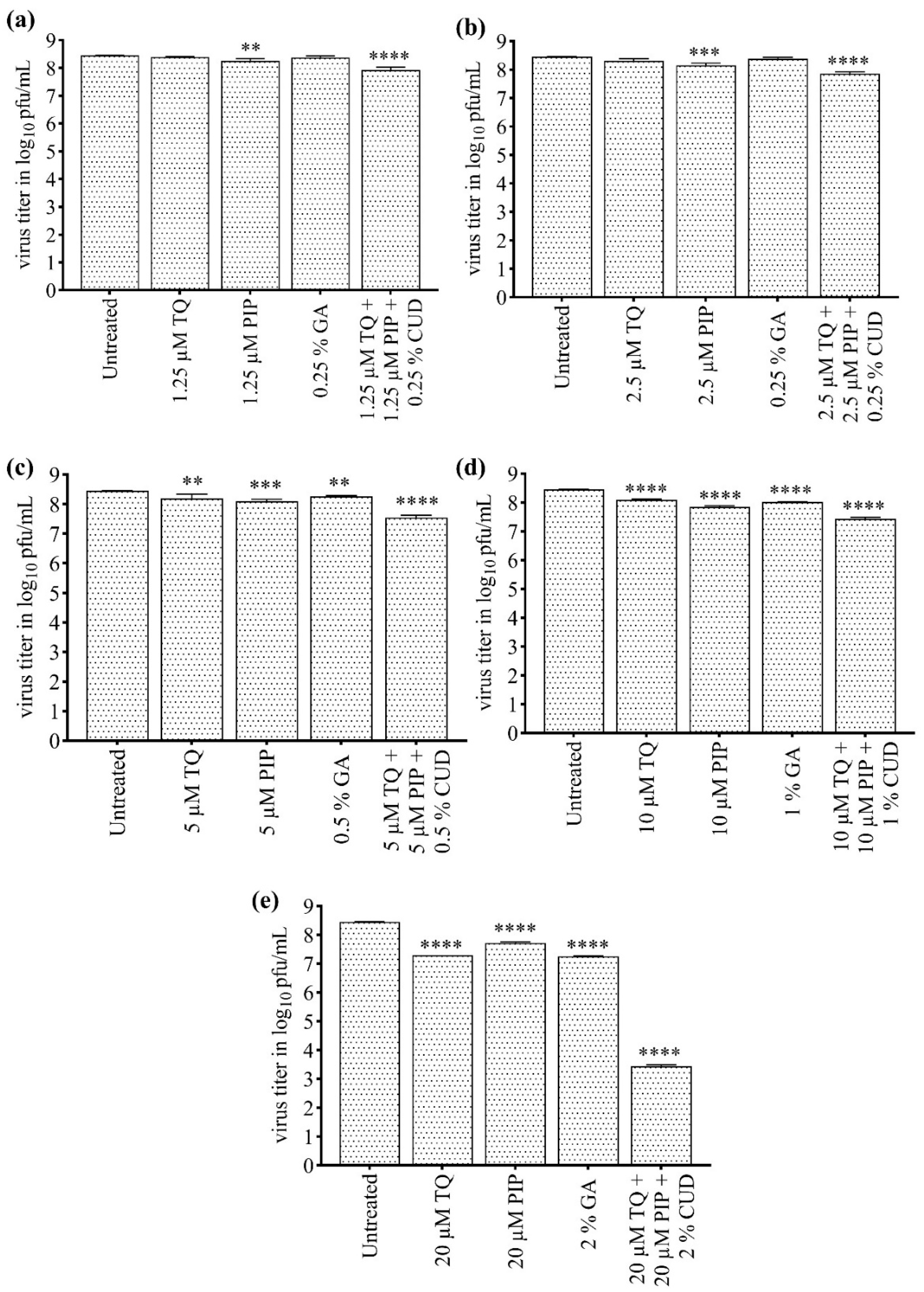
3.6. Synergistic Effect of TQ and PIP in Combination with CUD
4. Discussion
Supplementary Material
Author Contributions
Funding
Institutional Review Board Statement
Acknowledgement
Conflict of Interest
Declaration of Generative AI
References
- Vega-Rúa, A., Zouache, K., Girod, R., Failloux, A.-B., Lourenço-de-Oliveira, R.: High Level of Vector Competence of Aedes aegypti and Aedes albopictus from Ten American Countries as a Crucial Factor in the Spread of Chikungunya Virus. J Virol. 88, 6294–6306 (2014). [CrossRef]
- Weaver, S.C., Lecuit, M.: Chikungunya Virus and the Global Spread of a Mosquito-Borne Disease. New England Journal of Medicine. 372, 1231–1239 (2015). [CrossRef]
- Bergren, N.A., Auguste, A.J., Forrester, N.L., Negi, S.S., Braun, W.A., Weaver, S.C.: Western Equine Encephalitis Virus: Evolutionary Analysis of a Declining Alphavirus Based on Complete Genome Sequences. J Virol. 88, 9260–9267 (2014). [CrossRef]
- Strauss, E.G., Rice, C.M., Strauss, J.H.: Complete nucleotide sequence of the genomic RNA of Sindbis virus. Virology. 133, 92–110 (1984). [CrossRef]
- Tomar, S., Hardy, R.W., Smith, J.L., Kuhn, R.J.: Catalytic Core of Alphavirus Nonstructural Protein nsP4 Possesses Terminal Adenylyltransferase Activity. J Virol. 80, 9962–9969 (2006). [CrossRef]
- Helenius, A., Kartenbeck, J., Simons, K., Fries, E.: On the entry of semliki forest virus into BHK-21 cells. J Cell Biol. 84, 404–420 (1980). [CrossRef]
- Kaur, R., Neetu, Mudgal, R., Jose, J., Kumar, P., Tomar, S.: Glycan-dependent chikungunya viral infection divulged by antiviral activity of NAG specific chi-like lectin. Virology. 526, 91–98 (2019). [CrossRef]
- Strass, J.H., Strauss, E.G., Kuhn, R.J.: Budding of alphaviruses. Trends Microbiol. 3, 346–350 (1995). [CrossRef]
- Aggarwal, M., Kaur, R., Saha, A., Mudgal, R., Yadav, R., Dash, P.K., Parida, M., Kumar, P., Tomar, S.: Evaluation of antiviral activity of piperazine against Chikungunya virus targeting hydrophobic pocket of alphavirus capsid protein. Antiviral Res. 146, 102–111 (2017). [CrossRef]
- Sharma, R., Fatma, B., Saha, A., Bajpai, S., Sistla, S., Dash, P.K., Parida, M., Kumar, P., Tomar, S.: Inhibition of chikungunya virus by picolinate that targets viral capsid protein. Virology. 498, 265–276 (2016). [CrossRef]
- Kumar, R., Nehul, S., Singh, A., Tomar, S.: Identification and evaluation of antiviral potential of thymoquinone, a natural compound targeting Chikungunya virus capsid protein. Virology. 561, 36–46 (2021). [CrossRef]
- Mudgal, R., Mahajan, S., Tomar, S.: Inhibition of Chikungunya virus by an adenosine analog targeting the SAM-dependent nsP1 methyltransferase. FEBS Lett. 594, 678–694 (2020). [CrossRef]
- Puranik, N. V., Rani, R., Singh, V.A., Tomar, S., Puntambekar, H.M., Srivastava, P.: Evaluation of the Antiviral Potential of Halogenated Dihydrorugosaflavonoids and Molecular Modeling with nsP3 Protein of Chikungunya Virus (CHIKV). ACS Omega. 4, 20335–20345 (2019). [CrossRef]
- Bajaj, K.K., Chavhan, V., Raut, N.A., Gurav, S.: Panchgavya: A precious gift to humankind. J Ayurveda Integr Med. 13, 100525 (2022). [CrossRef]
- Pant, L., Thapa, S., Dahal, B., Khadka, R., Biradar, M.S.: In Silico and In Vitro Studies of Antibacterial Activity of Cow Urine Distillate (CUD). Evidence-Based Complementary and Alternative Medicine. 2024, 1–10 (2024). [CrossRef]
- Hirapara, H., Ghori, V., Anovadiya, A., Tripathi, C.: Evaluation of wound healing activity of cow urine ark in diabetic Wistar albino rats. J Intercult Ethnopharmacol. 5, 434 (2016). [CrossRef]
- Khanuja, S.P.S., Kumar, S., Shasany, A.K., Arya, J.S., Darokar, M.P., Singh, M., Dawle, S.H.: U.S. Patent No. 6,410,059, (2002).
- Randhawa, G.K., Sharma, R.: Chemotherapeutic potential of cow urine: A review. J Intercult Ethnopharmacol. 4, 180–6 (2015). [CrossRef]
- Hoh, J.M., Dhanashree, B.: Antifungal effect of cow’s urine distillate on Candida species. J Ayurveda Integr Med. 8, 233–237 (2017). [CrossRef]
- Ravi, H., Dhar, P., Awasthi, A., Verma, S., Bharadwaj, M., Chahota, R.: In vitro Evaluation of Antiviral Efficacy of Himachali Pahari Cattle Urine against Canine Parvovirus. Indian J Anim Res. (2025). [CrossRef]
- Nautiyal, V., Dubey, R.C.: FT-IR and GC-MS analyses of potential bioactive compounds of cow urine and its antibacterial activity. Saudi J Biol Sci. 28, 2432–2437 (2021). [CrossRef]
- Chen, Y., Li, Z., Pan, P., Lao, Z., Xu, J., Li, Z., Zhan, S., Liu, X., Wu, Y., Wang, W., Li, G.: Cinnamic acid inhibits Zika virus by inhibiting RdRp activity. Antiviral Res. 192, 105117 (2021). [CrossRef]
- Solanki, N., Patel, H., Patel, M., Patel, Y., Shukla, P., Kakadiya, J., Maheshwari, R., Chauhan, P.: Alleviating Potential of Zingiber officinale and Cow Urine Distillate Co-administered with Levetiracetam in Epileptic Rats: A Pharmacokinetic and Pharmacodynamics Approach. Journal of Natural Remedies. 677–685 (2023). [CrossRef]
- Kumar, R., Nehul, S., Singh, A., Tomar, S.: Identification and evaluation of antiviral potential of thymoquinone, a natural compound targeting Chikungunya virus capsid protein. Virology. 561, 36–46 (2021). [CrossRef]
- Pareek, A., Kumar, R., Mudgal, R., Neetu, N., Sharma, M., Kumar, P., Tomar, S.: Alphavirus antivirals targeting RNA-dependent RNA polymerase domain of nsP4 divulged using surface plasmon resonance. FEBS J. 289, 4901–4924 (2022). [CrossRef]
- Kumar, S., Singhal, V., Roshan, R., Sharma, A., Rembhotkar, G.W., Ghosh, B.: Piperine inhibits TNF-α induced adhesion of neutrophils to endothelial monolayer through suppression of NF-κB and IκB kinase activation. Eur J Pharmacol. 575, 177–186 (2007). [CrossRef]
- Jiang, Z.-Y., Liu, W.-F., Zhang, X.-M., Luo, J., Ma, Y.-B., Chen, J.-J.: Anti-HBV active constituents from Piper longum. Bioorg Med Chem Lett. 23, 2123–2127 (2013). [CrossRef]
- Neiderud, C.-J.: How urbanization affects the epidemiology of emerging infectious diseases. Infect Ecol Epidemiol. 5, 27060 (2015). [CrossRef]
- Singh, H., Mudgal, R., Narwal, M., Kaur, R., Singh, V.A., Malik, A., Chaudhary, M., Tomar, S.: Chikungunya virus inhibition by peptidomimetic inhibitors targeting virus-specific cysteine protease. Biochimie. 149, 51–61 (2018). [CrossRef]
- Saha, A., Acharya, B.N., Priya, R., Tripathi, N.K., Shrivastava, A., Rao, M.K., Kesari, P., Narwal, M., Tomar, S., Bhagyawant, S.S., Parida, M., Dash, P.K.: Development of nsP2 protease based cell free high throughput screening assay for evaluation of inhibitors against emerging Chikungunya virus. Sci Rep. 8, 10831 (2018). [CrossRef]
- Lim, E., Lee, W., Madzokere, E., Herrero, L.: Mosquitoes as Suitable Vectors for Alphaviruses. Viruses. 10, 84 (2018). [CrossRef]
- Tomar, S., Mahajan, S., Kumar, R.: Advances in structure-assisted antiviral discovery for animal viral diseases. In: Genomics and Biotechnological Advances in Veterinary, Poultry, and Fisheries. pp. 435–468. Elsevier (2020).
- Singh, V.A., Kumar, C.S., Khare, B., Kuhn, R.J., Banerjee, M., Tomar, S.: Surface decorated reporter-tagged chikungunya virus-like particles for clinical diagnostics and identification of virus entry inhibitors. Virology. 578, 92–102 (2023). [CrossRef]
- Handa, T., Saha, A., Narayanan, A., Ronzier, E., Kumar, P., Singla, J., Tomar, S.: Structural Virology: The Key Determinants in Development of Antiviral Therapeutics. Viruses. 17, 417 (2025). [CrossRef]
- Puranik, N. V., Rani, R., Singh, V.A., Tomar, S., Puntambekar, H.M., Srivastava, P.: Evaluation of the Antiviral Potential of Halogenated Dihydrorugosaflavonoids and Molecular Modeling with nsP3 Protein of Chikungunya Virus (CHIKV). ACS Omega. 4, 20335–20345 (2019). [CrossRef]
- Bhutkar, M., Kumar, A., Rani, R., Singh, V., Saha, A., Pathak, A., Kothiala, A., Mahajan, S., Waghmode, B., Verma, S., Kumar, R., Mudgal, R., Sircar, D., Kumar, P., Tomar, S.: Structure-based identification of herbacetin and caffeic acid phenethyl ester as inhibitors of S-adenosylmethionine-dependent viral methyltransferase. FEBS Lett. 599, 1531–1555 (2025). [CrossRef]
- Kumar, S., Singhal, V., Roshan, R., Sharma, A., Rembhotkar, G.W., Ghosh, B.: Piperine inhibits TNF-α induced adhesion of neutrophils to endothelial monolayer through suppression of NF-κB and IκB kinase activation. Eur J Pharmacol. 575, 177–186 (2007). [CrossRef]





| S. No | Metabolite | Derivative | NIST ID | Retention Time | Qualification Ions |
|---|---|---|---|---|---|
| 1. | Lactic Acid | 2 TMS | 78865 | 7.562 | 234,219 |
| 2. | Benzoic Acid | 1 TMS | 64182 | 11.236 | 194,179 |
| 3. | Benzoic acid, 4 ethoxy, ethyl ester |
2 TMS | 107721 | 15.229 | 194,175 |
| 4. | 1,3,5Benzetriol | 3 TMS | 79582 | 15.573 | 342,327 |
| 5. | Phloroglucinol | 2 TMS | 118676 | 16.58 | 270,255 |
| 6 | Palmitic Acid | 1 TMS | 333711 | 20.824 | 328,313 |
| 7 | Oleic Acid | 1 TMS | 30824 | 22.477 | 355,339 |
| 8 | Stearic Acid | 1 TMS | 333710 | 22.635 | 356,341 |
| 9 | Hippuric acid | 2 TMS | 333154 | 25.91 | 323,208 |
| 10 | Prostaglandin A1 | 2 TMS | 395599 | 27.77 | 480,409 |
| 11. | Medroxy progesterone | 3 TMS | 55071 | 27.81 | 560, 487 |
| Ligand | Binding Affinity | Hydrogen bond | Hydrophobic Bond |
|---|---|---|---|
| Benzoic Acid | -4.5 |
1(Tyr512) | Cys478, Trp479, Ala511, Tyr544, Ala547, His548, Trp549, Met707 |
| Benzoic acid, 4 ethoxy, ethyl ester |
-5.1 |
1(Trp549) | Ala511, Tyr512, Ser513, Tyr544, Ala547, Met703 |
| Hippuric Acid | -5.6 |
3(Tyr512) | Cys478, Trp479, Ala511, Ser513, Tyr544, Ala547, Trp549 |
| Lactic Acid | -3.6 |
3(Tyr512), 1(Trp549) | Cys478, Trp479, Ala511, Tyr544, Ala547 |
| Oleic Acid | -4.5 |
0 | Asn476, Cys478, Ala511, Tyr512, Ser513, Ala547, Tyr544, Trp549, Ala670, Gln706, Met707 |
| Palmitic Acid | -4.5 |
1(Ala547) | Asn476, Cys478, Ala511, Tyr512, Ser513, Tyr544, His548, Trp549, Met707 |
| Stearic Acid | -4.6 |
0 | Asn476, Cys478, Ala511, Tyr512, Ser513, Tyr544,Ala547, Trp549, Met707 |
| p-Aminohippuric acid | -4.5 | 0 | Cys478 , Ala511, Met707, Tyr512, Asn476, Ala547, Trp549, Tyr544 |
Disclaimer/Publisher’s Note: The statements, opinions and data contained in all publications are solely those of the individual author(s) and contributor(s) and not of MDPI and/or the editor(s). MDPI and/or the editor(s) disclaim responsibility for any injury to people or property resulting from any ideas, methods, instructions or products referred to in the content. |
© 2025 by the authors. Licensee MDPI, Basel, Switzerland. This article is an open access article distributed under the terms and conditions of the Creative Commons Attribution (CC BY) license (http://creativecommons.org/licenses/by/4.0/).